Эта тема показывает, как ограничить решение ОДУ быть неотрицательной. Внушительная неотрицательность не всегда тривиальна, но иногда это необходимо из-за физической интерпретации уравнений или из-за природы решения. Необходимо только наложить это ограничение на решение при необходимости, такой как в случаях, где интегрирование перестало работать без него, или где решение было бы неподходящим.
Если определенные компоненты решения должны быть неотрицательными, то используйте odeset, чтобы установить опцию NonNegative для индексов этих компонентов. Эта опция не доступна для ode23s, ode15i, или для неявных решателей (ode15s, ode23t, ode23tb) применился к проблемам с большой матрицей.
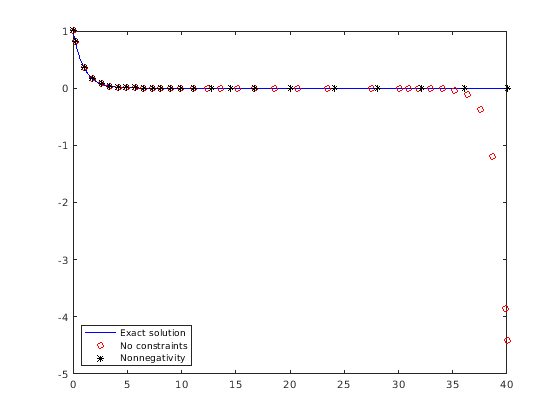
Рассмотрите задачу с начальными значениями

решенный на интервале
с начальным условием
. Решение этого ОДУ затухает, чтобы обнулить. Если решатель производит отрицательное значение решения, то он начинает отслеживать решение ОДУ через это значение, и вычисление в конечном счете перестало работать, когда расчетное решение отличается к
. Используя NonNegative опция предотвращает этот отказ интегрирования.
Сравните аналитическое решение
с решением ОДУ с помощью ode45 без дополнительных опций, и одной с набором опции NonNegative.
ode = @(t,y) -abs(y); % Standard solution with |ode45| options1 = odeset('Refine',1); [t0,y0] = ode45(ode,[0 40],1,options1); % Solution with nonnegative constraint options2 = odeset(options1,'NonNegative',1); [t1,y1] = ode45(ode,[0 40],1,options2); % Analytic solution t = linspace(0,40,1000); y = exp(-t);
Постройте график этих трех решений для сравнения. Внушительная неотрицательность крайне важна, чтобы помешать решению повернуть прочь к
.
plot(t,y,'b-',t0,y0,'ro',t1,y1,'k*'); legend('Exact solution','No constraints','Nonnegativity', ... 'Location','SouthWest')

Другим примером проблемы, которая требует неотрицательного решения, является проблема колена, закодированная в файле в качестве примера kneeode. Уравнение

решенный на интервале
с начальным условием
. Параметр
обычно берется, чтобы удовлетворить
, и эта проблема использование
. Решение этого ОДУ приближается
для
и
для
. Однако вычисление числового решения с допусками по умолчанию показывает, что решение следует
за изоклиной для целого интервала интегрирования. Внушительные ограничения неотрицательности приводят к правильному решению.
Решите проблему колена с и без ограничений неотрицательности.
epsilon = 1e-6; y0 = 1; xspan = [0 2]; odefcn = @(x,y,epsilon) ((1-x)*y - y^2)/epsilon; % Solve without imposing constraints [x1,y1] = ode15s(@(x,y) odefcn(x,y,epsilon), xspan, y0); % Impose a nonnegativity constraint options = odeset('NonNegative',1); [x2,y2] = ode15s(@(x,y) odefcn(x,y,epsilon), xspan, y0, options);
Постройте график решений для сравнения.
plot(x1,y1,'ro',x2,y2,'b*') axis([0,2,-1,1]) title('The "knee problem"') legend('No constraints','Non-negativity') xlabel('x') ylabel('y')

[1] Шемпин, L.F., S. Томпсон, J.A. Кирженка и Бирн G.D., "Неотрицательные решения ОДУ", Прикладная математика и Издание 170, 2005 Вычисления, стр 556-569.