Этот пример показывает, как вставить многоканальные аналитические точки в обобщенную модель в пространстве состояний системы управления MIMO.
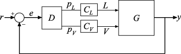
Рассмотрите следующий 2D вход, систему 2D элемента управления выводом.

Объект G имеет два входных параметров и два выходных параметров. Поэтому строка, отмеченная y в блок-схеме, представляет два сигнала, y(1) и y(2). Точно так же r и e каждый представляет два сигнала.
Предположим, что вы хотите создать настраивающиеся требования или ответы извлечения, которые требуют введения или измерения сигналов в местоположениях L и V. Для этого создайте блок AnalysisPoint и включайте его в модель с обратной связью системы управления как показано на следующем рисунке.

Чтобы создать модель этой системы, сначала создайте числовые модели LTI и блоки системы управления, которые представляют элементы контроллера и объект. D является настраиваемым блоком усиления, и C_L и C_V являются настраиваемыми контроллерами PI. Предположим, что модель объекта управления следующая:
s = tf('s'); G = [87.8 -86.4 ; 108.2 -109.6]/(75*s+1); D = tunableGain('Decoupler',eye(2)); C_L = tunablePID('C_L','pi'); C_V = tunablePID('C_V','pi');
Создайте блок AnalysisPoint, который связывает вместе каналы V и L.
AP_1 = AnalysisPoint('AP_1',2)AP_1 = Multi-channel analysis point at locations: AP_1(1) AP_1(2) Type "ss(AP_1)" to see the current value and "get(AP_1)" to see all properties.
Для удобства переименуйте каналы, чтобы совпадать с соответствующими сигналами.
AP_1.Location = {'L';'V'}AP_1 = Multi-channel analysis point at locations: L V Type "ss(AP_1)" to see the current value and "get(AP_1)" to see all properties.
Следующая схема иллюстрирует входные имена, выходные имена и названия канала (местоположения) в блоке AP_1.

Имена ввода и вывода блока AnalysisPoint отличны от названий канала. Используйте названия канала, чтобы относиться к местоположениям аналитической точки при извлечении ответов или определении целей проекта по настройке. Можно использовать имена ввода и вывода AP_1.u и AP_1.y, например, при соединении блоков с помощью команды connect.
Можно теперь создать модель с обратной связью системы управления. Во-первых, соедините весь объект и блоки контроллера наряду с первым блоком AnalysisPoint.
GC = G*AP_1*append(C_L,C_V)*D;
Затем закройте обратную связь. Вспомните, что GC имеет два ввода и вывода.
CL = feedback(GC,eye(2));
Можно теперь использовать аналитические точки для анализа или настройки. Например, извлеките передаточную функцию с обратной связью SISO от 'L' до первого вывода. Присвойте имя к выводу, таким образом, можно сослаться на него в аналитических функциях. Программное обеспечение автоматически расширяет присвоенное имя 'y' до выходных сигналов с векторным знаком {y(1),y(2)}.
CL.OutputName = 'y'; TLy1 = getIOTransfer(CL,'L','y(1)'); bodeplot(TLy1);
