Этот пример показывает, как использовать команду anfis для нелинейной идентификации динамической системы.
Этот пример требует System Identification Toolbox™, когда сравнение сделано между нелинейным ANFIS и линейной моделью ARX.
Выйдите, если System Identification Toolbox не доступен.
if ~fuzzychecktoolboxinstalled('ident') errordlg('DRYDEMO needs the System Identification Toolbox.'); return; end
Набор данных для ANFIS и моделирования ARX был получен от преподавателя PT 326 Процесса названной Обратной связи лабораторного устройства, как описано в Главе 17 книги профессора Леннарта Лджанга "System Identification, Теория для Пользователя", Prentice Hall, 1987. Устройство функционирует как фен: воздух вентилируется через трубу и нагревается во входном отверстии. Температура воздуха измеряется термопарой при выходе. Вход u (k) является напряжением по сетке проводов резистора, чтобы нагреть входящий воздух; вывод y (k) является температурой воздуха выхода.
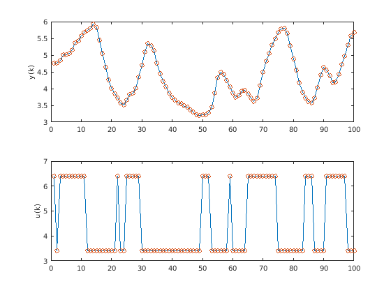
Вот результаты теста.
load drydemodata data_n = length(y2); output = y2; input = [[0; y2(1:data_n-1)] ... [0; 0; y2(1:data_n-2)] ... [0; 0; 0; y2(1:data_n-3)] ... [0; 0; 0; 0; y2(1:data_n-4)] ... [0; u2(1:data_n-1)] ... [0; 0; u2(1:data_n-2)] ... [0; 0; 0; u2(1:data_n-3)] ... [0; 0; 0; 0; u2(1:data_n-4)] ... [0; 0; 0; 0; 0; u2(1:data_n-5)] ... [0; 0; 0; 0; 0; 0; u2(1:data_n-6)]]; data = [input output]; data(1:6, :) = []; input_name = char('y(k-1)','y(k-2)','y(k-3)','y(k-4)','u(k-1)','u(k-2)','u(k-3)','u(k-4)','u(k-5)','u(k-6)'); index = 1:100; subplot(2,1,1) plot(index,y2(index),'-',index,y2(index),'o') ylabel('y(k)','fontsize',10) subplot(2,1,2) plot(index,u2(index),'-',index,u2(index),'o') ylabel('u(k)','fontsize',10)

Точки данных были собраны во время выборки 0,08 секунд. Одна тысяча точек данных ввода - вывода была собрана из процесса, когда вход u (k) был выбран, чтобы быть бинарной случайной переменой сигнала между 3.41 и 6,41 В. Вероятность сдвига входа на каждой выборке была 0.2. Набор данных доступен от System Identification Toolbox, и вышеупомянутые графики показывают выходную температуру y (k) и входное напряжение u (t) для первых 100 временных шагов.
Условный метод состоит в том, чтобы удалить средние значения из данных и принять линейную модель формы:
y (k) +a1*y (k-1) +... +am*y (k-m) =b1*u (k-d) +... +bn*u (k-d-n+1)
где ай (i = 1 к m) и bj (j = 1 к n) линейные параметры, которые будут определены методами наименьших квадратов. Эта структура называется моделью ARX, и это точно задано тремя целыми числами [m, n, d]. Чтобы найти модель ARX для устройства сушилки, набор данных был разделен на обучение (k = 1 - 300) и проверка (k = 301 - 600) набор. Исчерпывающий поиск выполнялся, чтобы найти лучшую комбинацию [m, n, d], где каждое целое число позволено измененному от 1 до 10 независимо. Лучшая модель ARX, таким образом найденная, задана [m, n, d] = [5, 10, 2], с учебным RMSE 0,1122 и проверка RMSE 0,0749. Вышеупомянутые данные показывают подходящие результаты лучшей модели ARX.
trn_data_n = 300; total_data_n = 600; z = [y2 u2]; z = dtrend(z); ave = mean(y2); ze = z(1:trn_data_n,:); zv = z(trn_data_n+1:total_data_n,:); T = 0.08; % Run through all different models V = arxstruc(ze,zv,struc(1:10,1:10,1:10)); % Find the best model nn = selstruc(V,0); % Time domain plot th = arx(ze,nn); th.Ts = 0.08; u = z(:,2); y = z(:,1)+ave; yp = sim(u,th)+ave; xlbl = 'Time Steps'; subplot(2,1,1) index = 1:trn_data_n; plot(index, y(index), index, yp(index), '.') rmse = norm(y(index)-yp(index))/sqrt(length(index)); title(sprintf(['(a) Training Data (Solid Line) and ARX Prediction (Dots)\nwith RMSE = ' num2str(rmse)]),'fontsize',10) disp(['[na nb d] = ' num2str(nn)]) xlabel(xlbl,'fontsize',10) subplot(2,1,2) index = (trn_data_n+1):(total_data_n); plot(index,y(index),index,yp(index),'.') rmse = norm(y(index)-yp(index))/sqrt(length(index)); title(sprintf(['(b) Checking Data (Solid Line) and ARX Prediction (Dots)\nwith RMSE = ' num2str(rmse)]),'fontsize',10) xlabel(xlbl,'fontsize',10)
[na nb d] = 5 10 2

Модель ARX по сути линейна, и старшее значащее преимущество состоит в том, что мы можем выполнить образцовую структуру и идентификацию параметра быстро. Производительность в вышеупомянутых графиках, кажется, является удовлетворительной. Однако, если лучший уровень производительности желаем, мы можем хотеть обратиться к нелинейной модели. В частности, мы собираемся использовать нейронечеткий подход моделирования, ANFIS, чтобы видеть, можем ли мы продвинуть уровень производительности с нечеткой системой вывода.
Чтобы использовать ANFIS для системы идентификации, первая вещь, которую мы должны сделать, выбрать вход. Таким образом, чтобы определить, какие переменные должны быть входными параметрами к модели ANFIS. Для простоты мы предполагаем, что существует 10 входных кандидатов (y (k-1), y (k-2), y (k-3), y (k-4), u (k-1), u (k-2), u (k-3), u (k-4), u (k-5), u (k-6)), и вывод, который будет предсказан, является y (k). Эвристический подход, чтобы ввести выбор называется последовательным прямым поиском, в котором каждый вход выбран последовательно, чтобы оптимизировать общую квадратичную невязку. Это может быть сделано функцией seqsrch; результат показывают в вышеупомянутом графике, где 3 входных параметров (y (k-1), u (k-3), и u (k-4)) выбраны с учебным RMSE 0,0609 и проверяющий RMSE 0,0604.
trn_data_n = 300; trn_data = data(1:trn_data_n,:); chk_data = data(trn_data_n+1:trn_data_n+300,:); [~,elapsed_time] = seqsrch(3,trn_data,chk_data,input_name); % #ok<*ASGLU> fprintf('\nElapsed time = %f\n',elapsed_time); winH1 = gcf;
Selecting input 1 ... ANFIS model 1: y(k-1) --> trn=0.2043, chk=0.1888 ANFIS model 2: y(k-2) --> trn=0.3819, chk=0.3541 ANFIS model 3: y(k-3) --> trn=0.5245, chk=0.4903 ANFIS model 4: y(k-4) --> trn=0.6308, chk=0.5977 ANFIS model 5: u(k-1) --> trn=0.8271, chk=0.8434 ANFIS model 6: u(k-2) --> trn=0.7976, chk=0.8087 ANFIS model 7: u(k-3) --> trn=0.7266, chk=0.7349 ANFIS model 8: u(k-4) --> trn=0.6215, chk=0.6346 ANFIS model 9: u(k-5) --> trn=0.5419, chk=0.5650 ANFIS model 10: u(k-6) --> trn=0.5304, chk=0.5601 Currently selected inputs: y(k-1) Selecting input 2 ... ANFIS model 11: y(k-1) y(k-2) --> trn=0.1085, chk=0.1024 ANFIS model 12: y(k-1) y(k-3) --> trn=0.1339, chk=0.1283 ANFIS model 13: y(k-1) y(k-4) --> trn=0.1542, chk=0.1461 ANFIS model 14: y(k-1) u(k-1) --> trn=0.1892, chk=0.1734 ANFIS model 15: y(k-1) u(k-2) --> trn=0.1663, chk=0.1574 ANFIS model 16: y(k-1) u(k-3) --> trn=0.1082, chk=0.1077 ANFIS model 17: y(k-1) u(k-4) --> trn=0.0925, chk=0.0948 ANFIS model 18: y(k-1) u(k-5) --> trn=0.1533, chk=0.1531 ANFIS model 19: y(k-1) u(k-6) --> trn=0.1952, chk=0.1853 Currently selected inputs: y(k-1) u(k-4) Selecting input 3 ... ANFIS model 20: y(k-1) u(k-4) y(k-2) --> trn=0.0808, chk=0.0822 ANFIS model 21: y(k-1) u(k-4) y(k-3) --> trn=0.0806, chk=0.0836 ANFIS model 22: y(k-1) u(k-4) y(k-4) --> trn=0.0817, chk=0.0855 ANFIS model 23: y(k-1) u(k-4) u(k-1) --> trn=0.0886, chk=0.0912 ANFIS model 24: y(k-1) u(k-4) u(k-2) --> trn=0.0835, chk=0.0843 ANFIS model 25: y(k-1) u(k-4) u(k-3) --> trn=0.0609, chk=0.0604 ANFIS model 26: y(k-1) u(k-4) u(k-5) --> trn=0.0848, chk=0.0867 ANFIS model 27: y(k-1) u(k-4) u(k-6) --> trn=0.0890, chk=0.0894 Currently selected inputs: y(k-1) u(k-3) u(k-4) Elapsed time = 10.917078

Для входного выбора другой более в вычислительном отношении интенсивный подход должен сделать исчерпывающий поиск на всех возможных комбинациях входных кандидатов. Функция, которая выполняет исчерпывающий поиск, является exhsrch, который выбирает 3 входных параметров от 10 кандидатов. Однако exhsrch обычно включает существенное количество вычисления, если все комбинации пробуют. Например, если 3 выбран из 10, общее количество моделей ANFIS является C (10, 3) = 120.
К счастью, для идентификации динамической системы, мы знаем, что входные параметры не должны прибывать ни из одной из следующих двух групп входных кандидатов исключительно:
Y = {y (k-1), y (k-2), y (k-3), y (k-4)}
U = {u (k-1), u (k-2), u (k-3), u (k-4), u (k-5), u (k-6)}
Разумное предположение должно было бы взять два входных параметров из Y и один от U, чтобы сформировать входные параметры к ANFIS; общее количество моделей ANFIS затем C (4,2) *6=36, который является намного меньше. Вышеупомянутый график показывает, что выбранные входные параметры являются y (k-1), y (k-2) и u (k-3), с учебным RMSE 0,0474 и проверяющий RMSE 0,0485, которые лучше, чем модели ARX и ANFIS через последовательный прямой поиск.
group1 = [1 2 3 4]; % y(k-1), y(k-2), y(k-3), y(k-4) group2 = [1 2 3 4]; % y(k-1), y(k-2), y(k-3), y(k-4) group3 = [5 6 7 8 9 10]; % u(k-1) through y(k-6) anfis_n = 6*length(group3); index = zeros(anfis_n,3); trn_error = zeros(anfis_n,1); chk_error = zeros(anfis_n,1); % ======= Training options % Create option set for generating initial FIS. genOpt = genfisOptions('GridPartition','NumMembershipFunctions',2, ... 'InputMembershipFunctionType','gbellmf'); % Create option set for |anfis| command and set options that remain constant % for different training scenarios. anfisOpt = anfisOptions('EpochNumber',1,... 'InitialStepSize',0.1,... 'StepSizeDecreaseRate',0.5,... 'StepSizeIncreaseRate',1.5,... 'DisplayANFISInformation',0,... 'DisplayErrorValues',0,... 'DisplayStepSize',0,... 'DisplayFinalResults',0); % ====== Train ANFIS with different input variables fprintf('\nTrain %d ANFIS models, each with 3 inputs selected from 10 candidates...\n\n',... anfis_n); model = 1; for i = 1:length(group1) for j = i+1:length(group2) for k = 1:length(group3) in1 = deblank(input_name(group1(i),:)); in2 = deblank(input_name(group2(j),:)); in3 = deblank(input_name(group3(k),:)); index(model, :) = [group1(i) group2(j) group3(k)]; trn_data = data(1:trn_data_n, [group1(i) group2(j) group3(k) size(data,2)]); chk_data = data(trn_data_n+1:trn_data_n+300, [group1(i) group2(j) group3(k) size(data,2)]); in_fismat = genfis(trn_data(:,1:end-1),trn_data(:,end),genOpt); % Set initial FIS and validation data in option set for ANFIS training. anfisOpt.InitialFIS = in_fismat; anfisOpt.ValidationData = chk_data; [~, t_err, ~, ~, c_err] = anfis(trn_data,anfisOpt); trn_error(model) = min(t_err); chk_error(model) = min(c_err); fprintf('ANFIS model = %d: %s %s %s',model,in1,in2,in3); fprintf(' --> trn=%.4f,',trn_error(model)); fprintf(' chk=%.4f',chk_error(model)); fprintf('\n'); model = model+1; end end end % ====== Reordering according to training error [~, b] = sort(trn_error); b = flipud(b); % List according to decreasing trn error trn_error = trn_error(b); chk_error = chk_error(b); index = index(b,:); % ====== Display training and checking errors x = (1:anfis_n)'; subplot(2,1,1) plot(x, trn_error,'-',x,chk_error,'-', ... x,trn_error,'o',x,chk_error,'*') tmp = x(:, ones(1,3))'; X = tmp(:); tmp = [zeros(anfis_n,1) max(trn_error,chk_error) nan*ones(anfis_n,1)]'; Y = tmp(:); hold on plot(X,Y,'g') hold off axis([1 anfis_n -inf inf]) h_gca = gca; h_gca.XTickLabel = []; % ====== Add text of input variables for k = 1:anfis_n text(x(k), 0, ... [input_name(index(k,1),:) ' ' ... input_name(index(k,2),:) ' ' ... input_name(index(k,3),:)]); end h = findobj(gcf,'type','text'); set(h,'rot',90,'fontsize',11,'hori','right'); drawnow % ====== Generate input_index for bjtrain.m [a, b] = min(trn_error); input_index = index(b,:); title('Training (Circles) and Checking (Asterisks) Errors','fontsize',10) ylabel('RMSE','fontsize',10)
Train 36 ANFIS models, each with 3 inputs selected from 10 candidates... ANFIS model = 1: y(k-1) y(k-2) u(k-1) --> trn=0.0990, chk=0.0962 ANFIS model = 2: y(k-1) y(k-2) u(k-2) --> trn=0.0852, chk=0.0862 ANFIS model = 3: y(k-1) y(k-2) u(k-3) --> trn=0.0474, chk=0.0485 ANFIS model = 4: y(k-1) y(k-2) u(k-4) --> trn=0.0808, chk=0.0822 ANFIS model = 5: y(k-1) y(k-2) u(k-5) --> trn=0.1023, chk=0.0991 ANFIS model = 6: y(k-1) y(k-2) u(k-6) --> trn=0.1021, chk=0.0974 ANFIS model = 7: y(k-1) y(k-3) u(k-1) --> trn=0.1231, chk=0.1206 ANFIS model = 8: y(k-1) y(k-3) u(k-2) --> trn=0.1047, chk=0.1085 ANFIS model = 9: y(k-1) y(k-3) u(k-3) --> trn=0.0587, chk=0.0626 ANFIS model = 10: y(k-1) y(k-3) u(k-4) --> trn=0.0806, chk=0.0836 ANFIS model = 11: y(k-1) y(k-3) u(k-5) --> trn=0.1261, chk=0.1311 ANFIS model = 12: y(k-1) y(k-3) u(k-6) --> trn=0.1210, chk=0.1151 ANFIS model = 13: y(k-1) y(k-4) u(k-1) --> trn=0.1420, chk=0.1353 ANFIS model = 14: y(k-1) y(k-4) u(k-2) --> trn=0.1224, chk=0.1229 ANFIS model = 15: y(k-1) y(k-4) u(k-3) --> trn=0.0700, chk=0.0765 ANFIS model = 16: y(k-1) y(k-4) u(k-4) --> trn=0.0817, chk=0.0855 ANFIS model = 17: y(k-1) y(k-4) u(k-5) --> trn=0.1337, chk=0.1405 ANFIS model = 18: y(k-1) y(k-4) u(k-6) --> trn=0.1421, chk=0.1333 ANFIS model = 19: y(k-2) y(k-3) u(k-1) --> trn=0.2393, chk=0.2264 ANFIS model = 20: y(k-2) y(k-3) u(k-2) --> trn=0.2104, chk=0.2077 ANFIS model = 21: y(k-2) y(k-3) u(k-3) --> trn=0.1452, chk=0.1497 ANFIS model = 22: y(k-2) y(k-3) u(k-4) --> trn=0.0958, chk=0.1047 ANFIS model = 23: y(k-2) y(k-3) u(k-5) --> trn=0.2048, chk=0.2135 ANFIS model = 24: y(k-2) y(k-3) u(k-6) --> trn=0.2388, chk=0.2326 ANFIS model = 25: y(k-2) y(k-4) u(k-1) --> trn=0.2756, chk=0.2574 ANFIS model = 26: y(k-2) y(k-4) u(k-2) --> trn=0.2455, chk=0.2400 ANFIS model = 27: y(k-2) y(k-4) u(k-3) --> trn=0.1726, chk=0.1797 ANFIS model = 28: y(k-2) y(k-4) u(k-4) --> trn=0.1074, chk=0.1157 ANFIS model = 29: y(k-2) y(k-4) u(k-5) --> trn=0.2061, chk=0.2133 ANFIS model = 30: y(k-2) y(k-4) u(k-6) --> trn=0.2737, chk=0.2836 ANFIS model = 31: y(k-3) y(k-4) u(k-1) --> trn=0.3842, chk=0.3605 ANFIS model = 32: y(k-3) y(k-4) u(k-2) --> trn=0.3561, chk=0.3358 ANFIS model = 33: y(k-3) y(k-4) u(k-3) --> trn=0.2719, chk=0.2714 ANFIS model = 34: y(k-3) y(k-4) u(k-4) --> trn=0.1763, chk=0.1808 ANFIS model = 35: y(k-3) y(k-4) u(k-5) --> trn=0.2132, chk=0.2240 ANFIS model = 36: y(k-3) y(k-4) u(k-6) --> trn=0.3460, chk=0.3601

Это окно показывает прогнозы ANFIS и на обучении и на проверяющий наборы данных. Очевидно, производительность лучше, чем те из модели ARX.
if ishghandle(winH1),delete(winH1); end trn_data = data(1:trn_data_n,[input_index, size(data,2)]); chk_data = data(trn_data_n+1:600,[input_index, size(data,2)]); % generate FIS matrix in_fismat = genfis(trn_data(:,1:end-1),trn_data(:,end)); anfisOpt = anfisOptions('InitialFIS',in_fismat,... 'EpochNumber',1,... 'InitialStepSize',0.01,... 'StepSizeDecreaseRate',0.5,... 'StepSizeIncreaseRate',1.5,... 'ValidationData',chk_data); [trn_out_fismat,trn_error,step_size,chk_out_fismat,chk_error] = ... anfis(trn_data,anfisOpt); subplot(2,1,1) index = 1:trn_data_n; plot(index,y(index),index,yp(index),'.') rmse = norm(y(index)-yp(index))/sqrt(length(index)); title(sprintf(['(a) Training Data (Solid Line) and ARX Prediction (Dots)\nwith RMSE = ' num2str(rmse)]),'fontsize',10) disp(['[na nb d] = ' num2str(nn)]) xlabel('Time Steps','fontsize',10) subplot(2,1,2) index = (trn_data_n+1):(total_data_n); plot(index, y(index),index,yp(index),'.') rmse = norm(y(index)-yp(index))/sqrt(length(index)); title(sprintf(['(b) Checking Data (Solid Line) and ARX Prediction (Dots)\nwith RMSE = ' num2str(rmse)]),'fontsize',10) xlabel('Time Steps','fontsize',10)
ANFIS info: Number of nodes: 34 Number of linear parameters: 32 Number of nonlinear parameters: 18 Total number of parameters: 50 Number of training data pairs: 300 Number of checking data pairs: 300 Number of fuzzy rules: 8 Start training ANFIS ... 1 0.0474113 0.0485325 Designated epoch number reached --> ANFIS training completed at epoch 1. Minimal training RMSE = 0.047411 Minimal checking RMSE = 0.0485325 [na nb d] = 5 10 2

y_hat = evalfis(chk_out_fismat,data(1:600,input_index)); subplot(2,1,1) index = 1:trn_data_n; plot(index,data(index,size(data,2)),'-', ... index,y_hat(index),'.') rmse = norm(y_hat(index)-data(index,size(data,2)))/sqrt(length(index)); title(sprintf(['Training Data (Solid Line) and ANFIS Prediction (Dots)\nwith RMSE = ' num2str(rmse)]),'fontsize',10) xlabel('Time Index','fontsize',10) ylabel('') subplot(2,1,2) index = trn_data_n+1:600; plot(index,data(index,size(data,2)),'-',index,y_hat(index),'.') rmse = norm(y_hat(index)-data(index,size(data,2)))/sqrt(length(index)); title(sprintf(['Checking Data (Solid Line) and ANFIS Prediction (Dots)\nwith RMSE = ' num2str(rmse)]),'fontsize',10) xlabel('Time Index','fontsize',10) ylabel('')

Приведенная выше таблица является сравнением среди различных подходов моделирования. Моделирование ARX проводит наименьшее количество количества времени, чтобы достигнуть худшей точности, и ANFIS, моделирующий через исчерпывающий поиск, занимает большую часть количества времени, чтобы достигнуть лучшей точности. Другими словами, если быстрое моделирование является целью, то ARX является правильным выбором. Но если точность является предельным беспокойством, то мы должны пойти с ANFIS, который разработан для нелинейного моделирования и более высокой точности.