Этот пример показывает вам, как извлечь S-параметры Устройства под тестом (DUT) с помощью функции deembedsparams.
Этот пример будет использовать данные S-параметра в файле samplebjt2.s2p, который был собран из биполярного транзистора в фиксаторе с рельсовым соединителем (серийная индуктивность 1 nH) соединенный с контактной площадкой (емкость шунта 100 и следующие) на входе, и контактная площадка (емкость шунта 100 и следующие) соединенный с рельсовым соединителем (серийная индуктивность 1 nH) на выводе, видит рисунок 1.
Рисунок 1: устройство под тестом (DUT) и испытательный стенд.
Этот пример покажет, как удалить эффекты фиксатора в порядке извлечь S-параметры DUT.
Создайте объект sparameters для измеренных S-параметров путем чтения файла данных Touchstone® samplebjt2.s2p.
S_measuredBJT = sparameters('samplebjt2.s2p');
freq = S_measuredBJT.Frequencies;
Создайте два объекта порта circuit представление левой клавиатуры, содержа серию inductor и шунтируйте capacitor. Затем вычислите S-параметры с помощью частот от samplebjt2.s2p.
leftpad = circuit('left');
add(leftpad,[1 2],inductor(1e-9))
add(leftpad,[2 3],capacitor(100e-15))
setports(leftpad,[1 3],[2 3])
S_leftpad = sparameters(leftpad,freq);
rightpad = circuit('right');
add(rightpad,[1 3],capacitor(100e-15))
add(rightpad,[1 2],inductor(1e-9))
setports(rightpad,[1 3],[2 3])
S_rightpad = sparameters(rightpad,freq);
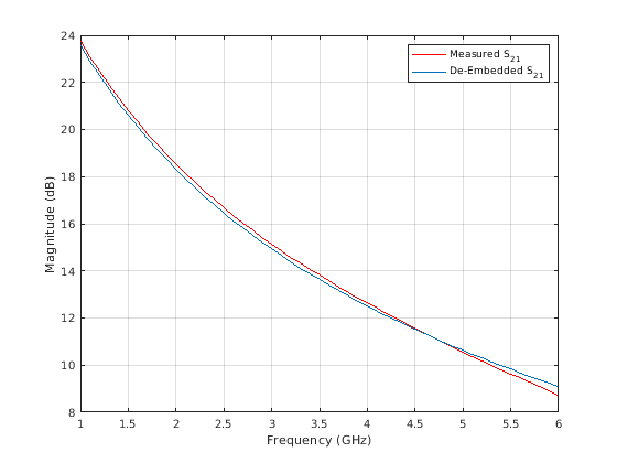
De-embed S-параметры DUT от измеренных S-параметров путем удаления эффектов ввода и вывода заполняет (deembedsparams).
S_DUT = deembedsparams(S_measuredBJT,S_leftpad,S_rightpad);
figure; hs = smithplot(S_measuredBJT,1,1); hold on smithplot(S_DUT,1,1); hs.ColorOrder = [1 0 0; 0 0 1]; hs.LegendLabels = {'Measured S11','De-Embedded S11'};

hold off smithplot(S_measuredBJT,2,2); hold on smithplot(S_DUT,2,2); hs = smithplot('gco'); hs.ColorOrder = [1 0 0; 0 0 1]; hs.LegendLabels = {'Measured S22','De-Embedded S22'};

hold off h1 = rfplot(S_measuredBJT,2,1,'-r'); hold on h2 = rfplot(S_DUT,2,1); legend([h1,h2],{'Measured S_{21}','De-Embedded S_{21}'}) legend show
