Этот пример показывает, как использовать скорость просмотра в качестве оценки повышения и падающих наклонов треугольной формы волны. Создайте три треугольных формы волны. Одна форма волны имеет падающие на повышение наклоны , одна форма волны имеет падающие на повышение наклоны , и одна форма волны имеет возрастающий наклон и падающий наклон . Используйте slewrate, чтобы найти наклоны форм волны.
Используйте tripuls, чтобы создать треугольную форму волны с падающими на повышение наклонами . Установите интервал выборки на 0,01 секунды, который соответствует частоте дискретизации 100 герц.
dt = 0.01; t = -2:dt:2; x = tripuls(t);
Вычислите и постройте скорость просмотра для треугольной формы волны. Введите частоту дискретизации (100 Гц), чтобы получить правильные положительные и отрицательные наклонные значения.
slewrate(x,1/dt)

ans = 1×2
2.0000 -2.0000
Измените ширину треугольной формы волны, таким образом, это имеет наклоны . Вычислите и постройте скорость просмотра.
x = tripuls(t,4); slewrate(x,1/dt)

ans = 1×2
0.5000 -0.5000
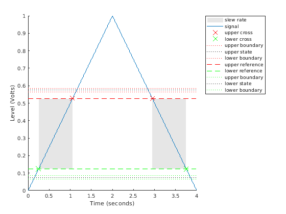
Создайте треугольную форму волны с возрастающим наклоном и падающий наклон . Вычислите скорость просмотра.
x = tripuls(t,5/2,-3/5); s = slewrate(x,1/dt)
s = 1×2
2.0000 -0.5000
Первый элемент s является возрастающим наклоном, и второй элемент является падающим наклоном. Постройте результат.
slewrate(x,1/dt);
