Тулбокс обеспечивает один термин и модель степенного ряда 2D термина, как дано
Модели степенного ряда описывают множество данных. Например, уровень, на котором реагенты используются в химической реакции, обычно пропорционален концентрации реагента, повышенного до некоторой степени.
Откройте приложение Curve Fitting путем ввода cftool. В качестве альтернативы нажмите Curve Fitting на вкладке Apps.
В приложении Curve Fitting выберите данные о кривой (X data и Y data, или только Y data против индекса).
Приложение Curve Fitting создает подгонку кривой по умолчанию, Polynomial.
Измените тип модели от Polynomial к Power.

Можно задать следующие опции:
Выберите количество условий: 1 к 2.
Посмотрите в панели Results, чтобы видеть условия модели, значения коэффициентов и статистику качества подгонки.
(Необязательно) Нажмите Fit Options, чтобы задать содействующие начальные значения и ограничительные границы, или изменить настройки алгоритма.
Тулбокс вычисляет оптимизированные стартовые точки для моделей степенного ряда, на основе текущего набора данных. Можно заменить стартовые точки и задать собственные значения в Подходящем Окне параметров.
Для получения дополнительной информации о настройках см. Опции Подгонки Определения и Оптимизированные Начальные точки.
В этом примере показано, как использовать fit функция, чтобы подбирать модели степенного ряда к данным.
Модель библиотеки степенного ряда является входным параметром к fit и fittype функции. Задайте тип модели 'power1' или 'power2' .
Подбирайте модель степенного ряда Одно Термина
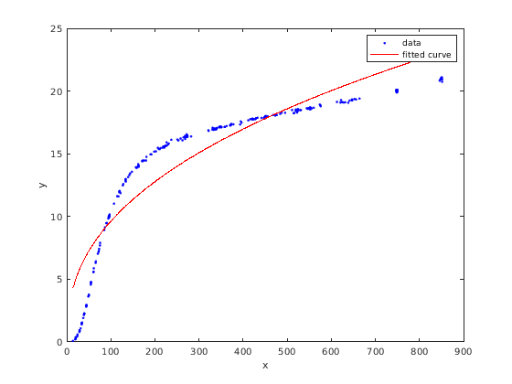
load hahn1; f = fit(temp,thermex,'power1')
f =
General model Power1:
f(x) = a*x^b
Coefficients (with 95% confidence bounds):
a = 1.46 (1.224, 1.695)
b = 0.4094 (0.3825, 0.4363)
plot(f,temp,thermex)

Подбирайте модель степенного ряда 2D термина
f = fit(temp,thermex,'power2')f =
General model Power2:
f(x) = a*x^b+c
Coefficients (with 95% confidence bounds):
a = -78.61 (-80.74, -76.48)
b = -0.2349 (-0.271, -0.1989)
c = 36.9 (33.09, 40.71)
plot(f,temp,thermex)

fit | fitoptions | fittype