В этом примере показано, как создать инициированное аналогом приложение сбора данных при помощи Data Acquisition Toolbox™ и App Designer.
Data Acquisition Toolbox обеспечивает функциональность для получения данных об измерении из устройства DAQ или аудио звуковой карты. Для определенных приложений рекомендуется инициированное аналогом приобретение, которое начинает получать или регистрировать данные на основе условия в измеряемом аналоговом сигнале. Инициированное приобретение аналога программного обеспечения позволяет вам получить только сегмент интереса из непрерывного потока данных об измерении. Например, можно получить аудиозапись, когда уровень сигнала передает определенный порог.
Это приложение в качестве примера показывает, как реализовать эти операции:
Узнайте доступные устройства DAQ и выбор который устройство использовать.
Сконфигурируйте параметры приобретения устройства.
Отобразите живой график в приложении пользовательский интерфейс во время приобретения.
Выполните инициированный сбор данных на основе программируемого триггерного условия.
Сохраните собранные данные к переменной базового рабочего пространства MATLAB®.
Управляйте рабочими режимами приложения путем определения состояний приложения в коде.

По умолчанию приложение откроется в режиме проектирования в App Designer. Чтобы запустить приложение щелкают по кнопке Run или выполняют приложение из командной строки:
AnalogTriggerApp
Это приложение в качестве примера требует:
MATLAB R2019a или позже
Data Acquisition Toolbox
Поддерживаемое устройство DAQ или звуковая карта. Например, любые Национальные Инструменты или Вычислительное устройство Измерения, которое поддерживает аналоговый вход Voltage или IEPE измерения и фоновое приобретение.
Соответствующий пакет аппаратной поддержки и драйверы устройств
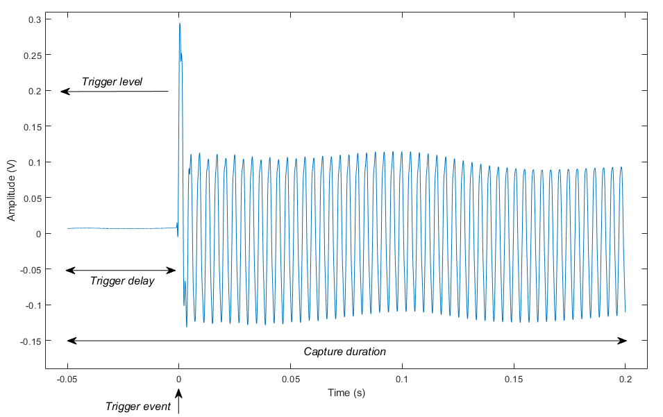
Аналоговое триггерное получение задано пороговым уровнем, триггерным условием, триггерной задержкой и длительностью получения, которые заданы как в фигуре ниже. Будут собраны отрицательные триггерные средние предтриггерные данные о задержке.

При создавании приложения, которое имеет сложную логику, рассмотрите различные состояния, которые соответствуют рабочим режимам приложения. Для этого приложения логика приложения реализована в коде MATLAB, и следующие состояния приложения используются:
DeviceSelection
Настройка
Приобретение (буферизация, ReadyForCapture, получение, LookingForTrigger, CapturingData, CaptureComplete)
Можно использовать диаграмму Stateflow, чтобы визуализировать, организовать, и управлять состояниями приложения, как проиллюстрировано в "Аналоговом Триггерном Приложении при помощи диаграмм Stateflow" пример.