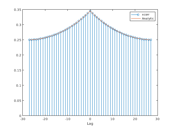
Вычислите автокорреляционную функцию экспоненциальной последовательности с 28 выборками, для .
a = 0.95; N = 28; n = 0:N-1; lags = -(N-1):(N-1); x = a.^n; c = xcorr(x);
Определить аналитически проверять правильность результата. Используйте большую частоту дискретизации, чтобы симулировать непрерывную ситуацию. Автокорреляционная функция последовательности для , с ,
fs = 10; nn = -(N-1):1/fs:(N-1); dd = (1-a.^(2*(N-abs(nn))))/(1-a^2).*a.^abs(nn);
Постройте последовательности на той же фигуре.
stem(lags,c); hold on plot(nn,dd) xlabel('Lag') legend('xcorr','Analytic') hold off

Повторите вычисление, но теперь найдите объективную оценку автокорреляции. Проверьте, что объективной оценкой дают .
cu = xcorr(x,'unbiased'); du = dd./(N-abs(nn)); stem(lags,cu); hold on plot(nn,du) xlabel('Lag') legend('xcorr','Analytic') hold off

Повторите вычисление, но теперь найдите смещенную оценку автокорреляции. Проверьте, что смещенной оценкой дают .
cb = xcorr(x,'biased'); db = dd/N; stem(lags,cb); hold on plot(nn,db) xlabel('Lag') legend('xcorr','Analytic') hold off

Найдите оценку автокорреляции, значение которой в нулевой задержке является единицей.
cz = xcorr(x,'coeff'); dz = dd/max(dd); stem(lags,cz); hold on plot(nn,dz) xlabel('Lag') legend('xcorr','Analytic') hold off
