В этом примере показано, как, в зависимости от рабочей нагрузки, микроконтроллер AT90S8535 использует функцию динамического масштабирования напряжения (DVS), чтобы настроить входное напряжение. Путем понижения входного напряжения, когда рабочая нагрузка является низкой, микроконтроллер уменьшает потребление энергии при гарантии качества сервиса. Контроллер DVS основан на названном бесконечно малом анализе возмущения (IPA) метода оценки онлайнового градиента. В одной симуляции параметризованной системы не большое количество симуляций, требуемых традиционным подходом конечной разности, IPA, может предоставить информацию о чувствительности, которая дает к аппроксимации системы первого порядка показатели производительности как функция параметров.
Показатель производительности, чтобы минимизировать является средней стоимостью на задание, данное

где
среднее время обслуживания задания, которое является функцией входного напряжения V. Таким образом, нахождение оптимального значения
также дает к оптимальному значению V.
постоянное взвешивание.
среднее потребление энергии задания в Джоулях.
среднее системное время для заданий, которое измеряет качество сервиса. Эта модель использует M/M/1 систему массового обслуживания, таким образом, выражение закрытой формы для
обеспечивает способ сравнить результаты IPA в симуляции с теоретическими результатами.
и
зависящие от устройств константы.
входное напряжение минимума устройства.
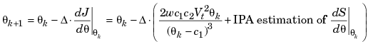
Чтобы найти значение
, для которого
0, эта модель использует градиентный метод с постоянным размером шага
.
th итерация оптимизации, которая происходит после отъезда
th задания, использует оценку
, чтобы произвести

Чтобы узнать об оценке IPA
, смотрите работы, перечисленные в Ссылках.
Модель включает эти компоненты:
Раздел Job Arrivals: Обеспечивает источник заданий, которые формируют рабочую нагрузку
Очередь FIFO, Один Сервер и другие блоки в синем разделе: Обеспечивает постановку в очередь для заданий в системе
Подсистема Оптимизатора DVS: Использует длину очереди,
значение, время обслуживания для последнего задания и общее количество заданий, чтобы вычислить
и соответствующее обновленное входное напряжение.

Модель включает эти визуальные способы изучить ее производительность:
Динамический график, показывающий, как контроллер DVS варьируется напряжение во время симуляции, чтобы уменьшать среднюю стоимость на задание.
Блок Display, который показывает среднее время обслуживания для заданий.
Блок Display, который показывает соответствующее входное напряжение.
Чтобы экспериментировать, попытайтесь изменить значение блока Avg Interarrival Time прежде, чем запустить симуляцию.

[1] Cassandras, C. G. и С. Лэфортьюн. Введение в дискретные системы событий. Бостон, MA: Kluwer академические издатели, 1999.
[2] Литий, W., К. Г. Кассандрас и М. Ай. Кльюн. "Модельно-ориентированное проектирование Динамического Контроллера Масштабирования Напряжения На основе Онлайновой Оценки Градиента Используя SimEvents". Продолжения 45-й Конференции по IEEE по Решению и Управлению. 2006, стр 6088-6092.
[3] Weiser, M., Б. Уэлч, А. Демерс и С. Шенкер. "Планируя для Уменьшаемой энергии центрального процессора". Продолжения 1-го Симпозиума по Разработке и реализации Операционных систем. 1994, стр 13-23.