В этом примере показано, как использовать комбинацию базовых морфологических операторов и анализа больших двоичных объектов для извлечения информации из видеопотока. В этом случае пример подсчитывает количество E. Coli bacteria в каждом кадре видео. Обратите внимание, что ячейки имеют различную яркость, что делает задачу сегментации более сложной.
Следующий рисунок показывает модель Подсчета клеток в качестве примера.

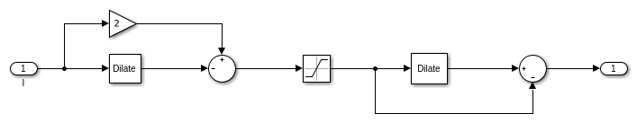
В Изолированной подсистеме Ячеек пример использует комбинацию морфологического расширения и арифметических операций изображений, чтобы удалить неровное освещение и подчеркнуть контуры между ячейками. Из-за изменений в общей интенсивности подсветки, пример не может применить одно пороговое значение ко всем видеокадрам. Пример использует блок Autothreshold, чтобы вычислить порог для каждой системы координат.

Изолированная подсистема Ячеек:

После того, как пример применяет порог и разделяет ячейки, это использует блок Blob Analysis, чтобы считать количество ячеек в каждой системе координат и вычислить центроид каждой ячейки. Пример передает общее количество ячеек в каждой системе координат с блоком Insert Text, который находится в подсистеме Результатов Отображения. Этот блок встраивает эту информацию о каждом видеокадре.
Окно уровня Клеточного деления показывает экспоненциальный рост бактерий.

Окно Results отображает одну систему координат исходных видео и зеленых маркеров, указывающих на центроидные местоположения найденных ячеек. Номер системы координат и количество ячеек отображены в левом верхнем углу.

Набор данных для этого примера был обеспечен Джонатаном Янгом и Михаэлем Эловицем от Калифорнийского Института Technology®. Это используется с разрешением. Для получения дополнительной информации об этих данных смотрите
Н. Розенфельд, Дж. Янг, U. Алон, P. Деревенский парень и М.Б. Эловиц, "Регуляция генов на Уровне Отдельной ячейки", Наука 2005, Издание 307, стр 1962-1965.