В этом примере показано, как обработать запись видеонаблюдения, чтобы выбрать системы координат, которые содержат движение. Проблемы безопасности передают под мандат непрерывный контроль важных местоположений с помощью видеокамер. Чтобы эффективно записать, рассмотрите и заархивируйте этот значительный объем данных, можно или уменьшать размер видеокадра или сократить общее количество видеокадров, которые вы записываете. Этот пример иллюстрирует последний подход. В нем движение в поле зрения камеры инициировало получение "интересных" видеокадров.
Следующий рисунок показывает модель Surveillance Recording:

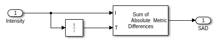
Пример использует блок Template Matching, чтобы обнаружить движение в видео последовательности. Когда Сумма Абсолютных разностей (SAD), значение конкретной системы координат превышает порог, пример, записывает этот видеокадр и отображает его в окне Motion Frames.

Окно Motion Threshold отображает пороговое значение синего цвета, и строит значения SAD для каждой системы координат желтого цвета. Любое время значение SAD превышает порог, модель, записывает видеокадр.

Исходное окно систем координат показывает систему координат исходного видео.

Окно систем координат Движения показывает последний записанный видеокадр. В этом окне постоянно увеличивается Исходное значение системы координат, когда видео запускается, и Полученное значение системы координат указывает на общее количество систем координат, зарегистрированных моделью.

С плавающей точкой: vipsurveillance.slx
Фиксированная точка: vipsurveillance_fixpt.slx