Эта модель показывает прямой способ выполнить модуляцию полосы пропускания путем умножения модулируемого комплексного сигнала с комплексной синусоидой, чтобы выполнить повышающее преобразование частоты. В общем случае желательно моделировать систему в комплексной основной полосе. Однако существуют некоторые обстоятельства, где необходимо смоделировать систему в действительной полосе пропускания. Пример этого - когда смежный сигнал полосы обрабатывается с нелинейностью и вызывает интерференцию в желаемую полосу. Эта модель также иллюстрирует эффект такой интерференции.

Линия связи в этой модели включает эти компоненты:
Random Integer Generator блокируйтесь, используемый в качестве источника случайных данных
Модулятор и импульсный формирующий фильтр, которые выполняют модуляцию QPSK и корень, повысили формирование импульса косинуса.
Upconverter блокируйтесь, который умножает модулируемый сигнал на несущую частоту.
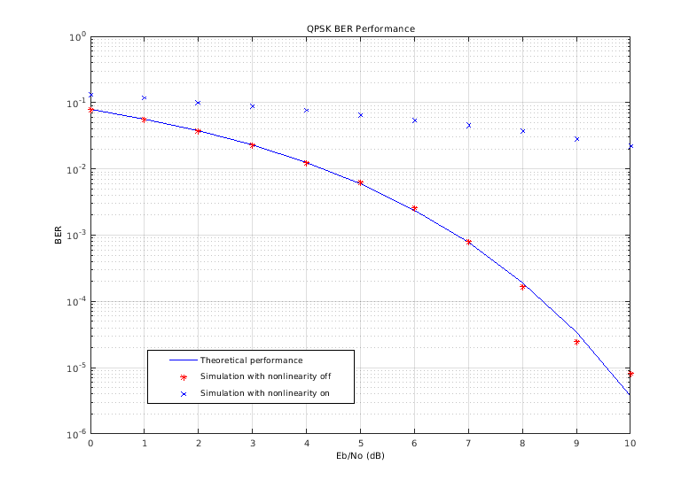
Источник тональной интерференции. Интерференция имеет кубическую нелинейность, которая может быть включена или выключена. Когда нелинейность выключена, интерференция падает полностью из полосы, но, когда включенный, третья гармоника тона вводится в желаемую полосу, вызывая интерференцию co-канала.
AWGN Channel блокируйте, установите на режим Eb/No. Это задает два бита за символ, потому что формат модуляции является QPSK. Степень сигнала равняется 1 / (2*8) ватты. Это вызвано тем, что исходная степень сигнала в модуляторе составляет 1 ватт. Корневой фильтр косинуса сверхдискретизировал сигнал фактором 8, который уменьшает мощность тем фактором. Блок повышающего преобразования частоты выход принимает только действительное участие сигнала, таким образом, уменьшая мощность снова, на этот раз фактором 2. Наконец, период символа является 1e-6 секундами, чтобы совпадать с исходным шагом расчета на Random Integer Generator источник.
Downconverter блок, который преобразует сигнал от действительной полосы пропускания, чтобы объединить основную полосу.
Корень повысил формирующий фильтр импульса косинуса, который десятикратно уменьшает назад к одной выборке на символ и блоку демодулятора QPSK.
BER и RMS метрические блоки вычисления EVM.
Когда симуляция запускается, два спектра анализаторы и один открытый график рассеивания.
Первый спектр анализатор показывает сигнал и интерференционный сигнал в полосе пропускания. С выключенной нелинейностью спектр тона interferer выходит за пределы пропускной способности желаемого сигнала. С кубической нелинейностью на третья гармоника интерференции попадает в полосу желаемого сигнала.

Второй осциллограф иллюстрирует сигнал после того, как это был downconverted назад к основной полосе в получателе до повышенной фильтрации косинуса корня. Обратите внимание на то, что с нелинейностью на, вы видите, что вмешивающийся тон дарит сгенерированный модулированный сигнал.


Третий осциллограф показывает график рассеивания полученного сигнала, и путем переключения нелинейности на и прочь, можно просмотреть влияние, которое интерференция оказывает на график рассеивания. С нелинейностью на сигнальное созвездие - больше рассеянное чем тогда, когда нелинейность не присутствует.



Модель также содержит два числовых отображения. Первый отображает BER ссылки. Вычисление BER сбрасывает каждый раз, когда нелинейность включена или выключена.
Второе числовое отображение является Величиной вектора ошибок (EVM) RMS, измеренной с блоком EVM Measurement.
Дважды кликните на Nonlinearity on/off блокируйтесь, чтобы переключить нелинейность на интерференционном сигнале. Наблюдайте изменения, которые это имеет на полученном спектре, созвездии, BER и EVM.
Путем варьирования параметра Eb/No можно произвести кривые BER и сравнить результаты модели теоретическими результатами. Обратите внимание на то, что модель достигает ожидаемых теоретических результатов [1] для QPSK с нелинейностью прочь. Кроме того, вы видите влияния, которые нелинейность оказывает на полный BER.
Для дальнейшего экспериментирования попытайтесь изменить значение параметра Eb/No на блоке канала AWGN или изменить степень интерференционного сигнала. Чтобы изменить степень интерференционного сигнала, откройте Interference with Nonlinearity подсистема, и изменяет значение усиления.

Downconverter блок использует простой комплексный метод умножения, чтобы выполнить понижающее преобразование. Можно найти пример, показывающий более эффективное понижающее преобразование с помощью подвыборки IF в: Подвыборка IF с Комплексными Многоскоростными фильтрами
Proakis, Джон Г., Цифровая связь, Четвертый Эд. секунда. 5.2.7, Нью-Йорк, McGraw-Hill, 2001.