В этом примере показано, как использовать looptune настроить многоконтурный контроллер для манипулятора роботизированной руки 6-DOF.
Этот пример использует шесть роботизированных рук степени свободы, показанных ниже. Эта рука состоит из шести соединений, помеченных от основы, чтобы снабдить подсказкой: "Проигрыватель", "Bicep", "Предплечье", "Запястье", "Рука" и "Механизм захвата". Каждое соединение приводится в движение двигателем постоянного тока за исключением соединения Bicep, которое использует два двигателя постоянного тока в тандеме.

Рисунок 1: манипулятор Роботизированной руки.
Файл "cst_robotarm.slx" содержит модель Simulink электрических и механических компонентов этой системы.

Рисунок 2: модель Simulink роботизированной руки.
Подсистема "Контроллера" состоит из шести цифровых ПИ-контроллеров (один на соединение). Каждый ПИ-контроллер реализован с помощью блока "2-DOF PID Controller" из Библиотеки Simulink (см., что ПИД Настраивается для Отслеживания Заданного значения по сравнению с примером Подавления помех для мотивации). Время контрольной выборки является Ts=0.1 (10 Гц).

Рисунок 3: структура Контроллера.
Как правило, такие многоконтурные контроллеры настраиваются последовательно путем настройки одного цикла ПИДа за один раз и циклического повторения через циклы, пока полное поведение не является удовлетворительным. Этот процесс может быть трудоемким и, как гарантируют, не будет сходиться к лучшей полной настройке. В качестве альтернативы можно использовать systune или looptune чтобы совместно настроить все шесть циклов PI подвергают требованиям уровня системы, таким как время отклика и минимальная перекрестная связь.
В этом примере рука должна переместиться в особую настройку приблизительно через 1 секунду со сглаженным угловым движением в каждом соединении. Рука запускается в полностью расширенном вертикальном положении со всех углов поворота шарнира в нуле за исключением угла Bicep в девяноста градусах. Настройка конца задана угловыми положениями: Проигрыватель = 60 градусов, Bicep = 80 градусов, Предплечье = 60 градусов, Запястье = 90 градусов, Рука = 90 градусов и Механизм захвата = 60 градусов.
Нажмите кнопку "Play" в модели Simulink, чтобы симулировать угловые траектории для значений усиления PI, заданных в модели. Можно сначала дважды кликнуть на синей кнопке, чтобы также показать 3D анимацию роботизированной руки. Угловые ответы и 3D анимация появляются ниже. Очевидно ответ слишком вял и неточен.


Рисунок 4: ненастроенный ответ.
Движущие силы манипулятора нелинейны. Чтобы понять, можно ли рукой управлять с одним набором усилений PI, линеаризуйте объект в различных точках (времена снимка состояния) вдоль траектории интереса. Здесь "объект" относится к динамике между управляющими сигналами (выходные параметры блоков ПИДа) и сигналы измерения (выход "6 блоков" Манипулятора степени свободы).
SnapshotTimes = 0:1:5; % Plant is from PID outputs to Robot Arm outputs LinIOs = [... linio('cst_robotarm/Controller/turntablePID',1,'openinput'),... linio('cst_robotarm/Controller/bicepPID',1,'openinput'),... linio('cst_robotarm/Controller/forearmPID',1,'openinput'),... linio('cst_robotarm/Controller/wristPID',1,'openinput'),... linio('cst_robotarm/Controller/handPID',1,'openinput'),... linio('cst_robotarm/Controller/gripperPID',1,'openinput'),... linio('cst_robotarm/6 DOF Robot Arm',1,'output')]; LinOpt = linearizeOptions('SampleTime',0); % seek continuous-time model G = linearize('cst_robotarm',LinIOs,SnapshotTimes,LinOpt); size(G)
6x1 array of state-space models. Each model has 6 outputs, 6 inputs, and 19 states.
Постройте разрыв между линеаризовавшими моделями в t=0,1,2,3,4 секунды и итоговой моделью в t=5 секунды.
G5 = G(:,:,end); % t=5 G5.SamplingGrid = []; sigma(G5,G(:,:,2:5)-G5,{1e-3,1e3}), grid title('Variation of linearized dynamics along trajectory') legend('Linearization at t=5 s','Absolute variation',... 'location','SouthWest')

В то время как движущие силы значительно варьируются в низкой частоте и высокой частоте, спады изменения меньше чем до 10% около 10 рад/с, который является примерно желаемой пропускной способностью управления. Маленькие изменения объекта около целевой частоты среза усиления предполагают, что мы можем управлять рукой с одним набором усилений PI и не должны обращаться к табличному управлению.
С looptune, можно непосредственно настроить все шесть циклов PI, чтобы достигнуть желаемого времени отклика с минимальным взаимодействием цикла и соответствующими запасами устойчивости MIMO. Контроллер настраивается в непрерывное время и автоматически дискретизируется при обратной записи усилений PI к Simulink. Используйте slTuner интерфейс, чтобы задать, какие блоки должны быть настроены и определять местоположение контура объекта/контроллера.
% Linearize the plant at t=3s tLinearize = 3; % Create slTuner interface TunedBlocks = {'turntablePID','bicepPID','forearmPID',... 'wristPID','handPID','gripperPID'}; ST0 = slTuner('cst_robotarm',TunedBlocks,tLinearize); % Mark outputs of PID blocks as plant inputs addPoint(ST0,TunedBlocks) % Mark joint angles as plant outputs addPoint(ST0,'6 DOF Robot Arm') % Mark reference signals RefSignals = {... 'ref Select/tREF',... 'ref Select/bREF',... 'ref Select/fREF',... 'ref Select/wREF',... 'ref Select/hREF',... 'ref Select/gREF'}; addPoint(ST0,RefSignals)
В его самом простом использовании, looptune только потребности знать целевую пропускную способность управления, которая должна быть, по крайней мере, дважды обратной величиной желаемого времени отклика. Здесь желаемое время отклика составляет 1 секунду, так попробуйте целевую пропускную способность 3 рад/с (принимающий во внимание, что движущие силы объекта варьируются наименее близкие 10 рад/с).
wc = 3; % target gain crossover frequency Controls = TunedBlocks; % actuator commands Measurements = '6 DOF Robot Arm'; % joint angle measurements ST1 = looptune(ST0,Controls,Measurements,wc);
Final: Peak gain = 0.957, Iterations = 10 Achieved target gain value TargetGain=1.
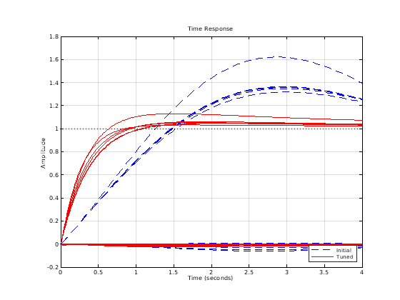
Окончательное значение рядом или ниже 1 указывает на тот looptune достигнутый требуемая пропускная способность. Сравните ответы на команду шага в угловом положении для начальных и настроенных контроллеров.
T0 = getIOTransfer(ST0,RefSignals,Measurements); T1 = getIOTransfer(ST1,RefSignals,Measurements); opt = timeoptions; opt.IOGrouping = 'all'; opt.Grid = 'on'; stepplot(T0,'b--',T1,'r',4,opt) legend('Initial','Tuned','location','SouthEast')

Шесть кривых, обосновывающихся рядом y=1, представляют переходные процессы каждого соединения, и кривые, обосновывающиеся рядом y=0, представляют условия перекрестной связи. Настроенный контроллер является ясным улучшением, но существует некоторое перерегулирование, и ответ Bicep занимает много времени, чтобы обосноваться.
ПИ-контроллеры 2-DOF имеют feedforward и компонент обратной связи.

Рисунок 5: Два ПИД-регулятора степени свободы.
По умолчанию, looptune только настраивает обратную связь и не "видит" компонент feedforward. Это может быть подтверждено путем проверки, что
параметры ПИ-контроллеров остаются установленными в свое начальное значение
(введите showTunable(ST1) видеть настроенные значения). Чтобы использовать в своих интересах действие feedforward и уменьшать перерегулирование, замените цель пропускной способности явным требованием отслеживания шага от опорных углов до углов поворота шарнира.
TR = TuningGoal.StepTracking(RefSignals,Measurements,0.5); ST2 = looptune(ST0,Controls,Measurements,TR);
Final: Peak gain = 0.766, Iterations = 13 Achieved target gain value TargetGain=1.
Настройка 2-DOF устраняет перерегулирование и улучшает ответ Bicep.
T2 = getIOTransfer(ST2,RefSignals,Measurements); stepplot(T1,'r--',T2,'g',4,opt) legend('1-DOF tuning','2-DOF tuning','location','SouthEast')

Настроенные линейные ответы выглядят удовлетворительно, так запишите настроенные значения усилений PI назад к блокам Simulink и симулируйте полный маневр. Результаты симуляции появляются в рисунке 6.
writeBlockValue(ST2)

Рисунок 6: Настроенные угловые ответы.
Нелинейный ответ соединения Bicep заметно недостаточно поднимается. Дальнейшее расследование предлагает двух возможных преступников. Во-первых, ПИ-контроллеры слишком агрессивны и насыщают двигатели (входное напряжение ограничивается ± 5 В).

Рисунок 7: Входное напряжение к двигателям постоянного тока (управляющий сигнал).
Во-вторых, эффекты перекрестной связи между Wrist и Bicep, когда принесено, чтобы масштабироваться, оказывают значительное и длительное влияние на ответ Bicep. Чтобы видеть это, постройте переходной процесс этих трех соединений для фактических ступенчатых изменений, происходящих во время маневра (-10 градусов для соединения Bicep и 90 градусов для соединения Запястья).
H2 = T2([2 4],[2 4]) * diag([-10 90]); % scale by step amplitude H2.u = {'Bicep','Wrist'}; H2.y = {'Bicep','Wrist'}; step(H2,5), grid

Чтобы улучшить ответ Bicep для этого определенного маневра руки, мы должны сохранить эффекты перекрестных связей небольшими относительно итоговых угловых смещений в каждом соединении. Для этого масштабируйте условия перекрестной связи в требовании отслеживания шага амплитудами опорного угла.
JointDisp = [60 10 60 90 90 60]; % commanded angular displacements, in degrees
TR.InputScaling = JointDisp;
Чтобы уменьшать насыщение приводов, ограничьте усиление от ссылочных сигналов до управляющих сигналов.
UR = TuningGoal.Gain(RefSignals,Controls,6);
Повторно настройте контроллер с ними усовершенствованные настраивающиеся цели.
ST3 = looptune(ST0,Controls,Measurements,TR,UR);
Final: Peak gain = 1.13, Iterations = 200
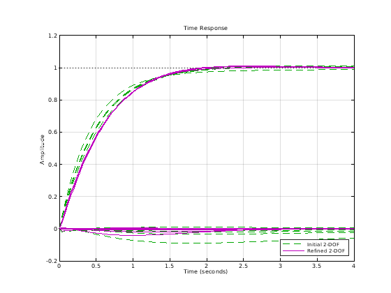
Сравните масштабированные ответы с предыдущим проектом. Заметьте значительное сокращение связи между движением Wrist и Bicep, и в пиковом значении и в полной энергии.
T2s = diag(1./JointDisp) * T2 * diag(JointDisp); T3s = diag(1./JointDisp) * getIOTransfer(ST3,RefSignals,Measurements) * diag(JointDisp); stepplot(T2s,'g--',T3s,'m',4,opt) legend('Initial 2-DOF','Refined 2-DOF','location','SouthEast')

Продвиньте повторно настроенные значения к Simulink для дальнейшей валидации.
writeBlockValue(ST3)
Результаты симуляции появляются в рисунке 8. Ответ Bicep теперь на одном уровне с другими соединениями в терминах времени урегулирования и сглаженного переходного процесса, и существует меньше насыщения привода, чем в предыдущем проекте.

Рисунок 8: Угловые положения и управляющие сигналы с усовершенствованным контроллером.
3D анимация подтверждает, что рука теперь перемещается быстро и точно к желаемой настройке.

Рисунок 9: подстроенный ответ.
TuningGoal.MaxLoopGain | TuningGoal.MinLoopGain | TuningGoal.Tracking | systune