exponenta event banner

rsample

Случайная выборка линейных идентифицированных систем

Синтаксис

sys_array = rsample(sys,N)
sys_array = rsample(sys,N,sd)

Описание

sys_array = rsample(sys,N) создает N случайные выборки идентифицированной линейной системы, sys. sys_array содержит системы с той же структурой как sys, чьи параметры встревожены об их номинальной стоимости, на основе ковариации параметра.

sys_array = rsample(sys,N,sd) задает уровень стандартного отклонения, sd, для беспокойства параметров sys.

Входные параметры

sys

Идентифицируемая система.

N

Количество выборок, которые будут сгенерированы.

Значение по умолчанию: 10

sd

Уровень стандартного отклонения для беспокойства идентифицируемых параметров sys.

Значение по умолчанию: 1

Выходные аргументы

sys_array

Массив случайных выборок sys.

Если sys массив моделей, затем размер sys_array равно [size(sys) N]. Существует N рандомизированные выборки для каждой модели в sys.

Параметры выборок в sys_array варьируйтесь из исходной идентифицируемой модели в 1 стандартном отклонении их номинальной стоимости.

Примеры

свернуть все

Оцените третий порядок, дискретное время, модель в пространстве состояний.

load iddata2 z2;
sys = n4sid(z2,3);

Случайным образом демонстрационный предполагаемая модель.

N = 20;
sys_array = rsample(sys,N);

Анализируйте неопределенность во время (шаг), и частота (Предвещают) ответы.

opt = bodeoptions;
opt.PhaseMatching = 'on';
figure;
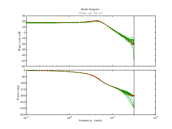
bodeplot(sys_array,'g',sys,'r.',opt)

figure;
stepplot(sys_array,'g',sys,'r.-')

Оцените третий порядок, дискретное время, модель в пространстве состояний.

load iddata2 z2;
sys = n4sid(z2,3);

Случайным образом демонстрационный предполагаемая модель. Задайте уровень стандартного отклонения для беспокойства параметров модели.

N = 20;
sd = 2;
sys_array = rsample(sys,N,sd);

Анализируйте неопределенность модели.

figure;
bode(sys_array);

Оцените модель ARMAX.

load iddata1 z1
sys = armax(z1,[2 2 2 1]);

Случайным образом демонстрационный модель ARMAX. Встревожьте параметры модели до 2 стандартных отклонений.

N = 20;
sd = 2;
sys_array = rsample(sys,N,sd);

Сравните область доверия частотной характеристики, соответствующую 2 стандартным отклонениям (асимптотическая оценка) с ответом массива моделей.

opt = bodeoptions; opt.PhaseMatching = 'on';
opt.ConfidenceRegionNumberSD = 2;
bodeplot(sys_array,'g',sys,'r',opt)

Чтобы просмотреть область доверия, щелкните правой кнопкой мыши по графику и выберите Characteristics> Confidence Region.

Советы

  • Для систем с большой неопределенностью параметра рандомизированные системы могут содержать нестабильные элементы. Эти нестабильные элементы могут мешать анализировать свойства идентифицированной системы. Выполнение аналитических команд, таких как step, bode\sim, и т.д., в таких системах может привести к ненадежным результатам. Вместо этого используйте специализированную аналитическую команду Монте-Карло, такую как simsd.

Смотрите также

| | | | | | |

Представленный в R2012a