В этом примере показано, как проверить проект сетей соответствия ввода и вывода для Низкого шумового усилителя (LNA) путем графического вывода его усиления и шума.
В радиосвязях получатели должны смочь обнаружить и усилить входящие сигналы малой мощности, не добавляя много шума. Поэтому LNA часто используется в качестве первой стадии этих получателей. Чтобы спроектировать LNA, этот пример использует доступный метод проектирования усиления, который включает выбор соответствующей сети соответствия, которая обеспечивает подходящий компромисс между усилением и шумом.
Технические требования проекта LNA следующие:
Частотный диапазон: 5.10 - 5.30 ГГц
Шумовая фигура <= 2,2 дБ
Усиление преобразователя> 11 дБ
Работа между завершениями на 50 Ом
rfckt.amplifier Возразите и исследуйте усиления мощности усилителя и шумовую фигуруСоздайте rfckt.amplifier объект представлять усилитель, который задан в файле, 'samplelna1.s2p'. analyze усилитель в частотном диапазоне от 2 ГГц до 10 ГГц. plot усиление степени преобразователя (Gt), доступное усиление степени (Ga) и максимальное доступное усиление степени (Gmag).
unmatched_amp = read(rfckt.amplifier, 'samplelna1.s2p'); analyze(unmatched_amp, 2e9:50e6:10e9); figure plot(unmatched_amp,'Gmag','Ga','Gt','dB')

В этом примере показано, как спроектировать сети соответствия ввода и вывода на уровне 5,2 ГГц, поэтому исследуйте усиления степени на этой частоте. Без сетей соответствия ввода и вывода усиление степени преобразователя на уровне 5,2 ГГц составляет приблизительно 7,2 дБ; это ниже требования усиления 11 дБ в спецификации и меньше, чем доступное усиление степени. Этот усилитель также потенциально нестабилен на уровне 5,2 ГГц, потому что максимальное доступное усиление не существует на уровне 5,2 ГГц.
Постройте измеренную минимальную шумовую фигуру (Fmin) и шумовая фигура (NF) вычисленный, когда нет никакой входной сети соответствия. Задайте - область значений оси от 4,9 ГГц до 6 ГГц, где минимальная шумовая фигура измеряется.
plot(unmatched_amp,'Fmin','NF','dB') axis([4.9 6 1.5 4]) legend('Location','NorthWest')

Когда нет никакой входной сети соответствия, шумовая фигура между 5.10 и 5,30 ГГц выше шумового требования фигуры 2,2 дБ в спецификации.
И доступное усиление и шумовая фигура являются функциями исходного коэффициента отражения, GammaS. Чтобы выбрать соответствующий GammaS, который обеспечивает подходящий компромисс между усилением и шумом, используйте circle метод rfckt.amplifier возразите, чтобы поместить постоянное доступное усиление и постоянные шумовые круги фигуры на графике Смита. Как отмечалось ранее, усилитель потенциально нестабилен на уровне 5,2 ГГц. Так, следующий circle команда также помещает круги устойчивости ввода и вывода в график Смита.
fc = 5.2e9; hsm = smithplot; circle(unmatched_amp,fc,'Stab','In','Stab','Out','Ga',10:2:20, ... 'NF',1.8:0.2:3,hsm); legend('Location','SouthEast')

Включите Data Cursor и нажмите на постоянный доступный круг усиления. Всплывающая подсказка отображает следующие данные:
Доступное усиление степени (Ga)
Шумовая фигура (NF)
Исходный коэффициент отражения (GammaS)
Выведите отражательный коэффициент (GammaOut)
Нормированный исходный импеданс (ZS)
Ga, NF, GammaOut и ZS все функции исходного коэффициента отражения, GammaS. GammaS комплексное число, которое соответствует местоположению Data Cursor. Звезда ('* ') и круг в пунктирной линии также появится на графике Смита. Звезда представляет соответствующий коэффициент отражения загрузки (GammaL) это - сопряженное комплексное число GammaOut. Усиление максимизируется когда GammaL сопряженное комплексное число GammaOut. Круг в пунктирной линии представляет траекторию соответствующего GammaL когда Data Cursor перемещается в постоянное доступное усиление или шумовой круг фигуры.
Поскольку оба S11 и S22 параметры усилителя меньше единицы в величине, оба, что стабильная область ввода и вывода содержит центр графика Смита. Для того, чтобы сделать усилитель устойчивым, GammaS должен быть во входной стабильной области и соответствующем GammaL должен быть в выходной стабильной области. Выходная стабильная область заштрихована в вышеупомянутой фигуре. Однако, когда GammaS это дает подходящий компромисс между усилением, и шум найден, соответствующий GammaL всегда выходит за пределы выходной стабильной области. Таким образом, мы должны стабилизировать усилитель сначала.
Один способ стабилизировать усилитель состоит в том, чтобы расположить каскадом резистор шунта при выходе усилителя. Однако этот подход будет также уменьшать усиление и добавлять шум. В конце примера мы проверим, что полное усиление и шум все еще удовлетворяют требование.
Чтобы найти максимальное значение резистора шунта, которое делает усилитель безусловно устойчивым, используйте fzero функционируйте, чтобы найти значение резистора, которое делает устойчивость MU равняйтесь 1. fzero функционируйте всегда пытается достигнуть значения нуля для целевой функции, таким образом, целевая функция должна возвратить MU-1.
type('lna_match_stabilization_helper.m')function mu_minus_1 = lna_match_stabilization_helper(propval, fc, ckt, element, propname) %LNA_MATCH_STABILIZATION_HELPER Return Stability MU-1. % MU_MINUS_1 = LNA_MATCH_STABILIZATION_HELPER(PROPVALUE, FC, CKT, % ELEMENT, PROPNAME) returns stability parameter MU-1 of a circuit, CKT % when the property called PROPNAME of an element, ELEMENT is set to % PROPVAL. % % LNA_MATCH_STABILIZATION_HELPER is a helper function of RF % Toolbox demo: Designing Matching Networks (Part 1: Networks with an LNA % and Lumped Elements). % Copyright 2007-2008 The MathWorks, Inc. set(element, propname, propval) analyze(ckt, fc); mu_minus_1 = stabilitymu(ckt.AnalyzedResult.S_Parameters) - 1;
Вычислите параметры для целевой функции и передайте целевую функцию fzero получить максимальное значение резистора шунта.
stab_amp = rfckt.cascade('ckts', {unmatched_amp, rfckt.shuntrlc}); R1 = fzero(@(R1) lna_match_stabilization_helper(R1,fc,stab_amp,stab_amp.Ckts{2},'R'),[1 1e5])
R1 = 118.6213
Расположите каскадом резистор на 118 Ом при выходе усилителя и анализируйте каскад. Поместите новое постоянное доступное усиление и постоянные шумовые круги фигуры на графике Смита.
shunt_r = rfckt.shuntrlc('R',118); stab_amp = rfckt.cascade('ckts',{unmatched_amp,shunt_r}); analyze(stab_amp,fc); hsm = smithplot; circle(stab_amp,fc,'Ga',10:17,'NF',1.80:0.2:3,hsm) legend('Location','SouthEast')

Используйте Data Cursor, чтобы определить местоположение GammaS где существует подходящий компромисс между усилением и шумом. Пример выбирает GammaS это дает усиление 14 дБ и шумовую фигуру 1,84 дБ. Вычислите соответствующий GammaL, который является сопряженным комплексным числом GammaOut на всплывающей подсказке.
GammaS = 0.67*exp(1j*153.6*pi/180)
GammaS = -0.6001 + 0.2979i
Вычислите нормированный исходный импеданс.
Zs = gamma2z(GammaS,1)
Zs = 0.2080 + 0.2249i
Вычислите соответствующий GammaL это равно сопряженному комплексному числу GammaOut.
GammaL = 0.7363*exp(1j*120.1*pi/180)
GammaL = -0.3693 + 0.6370i
Вычислите нормированный импеданс загрузки.
Zl = gamma2z(GammaL,1)
Zl = 0.2008 + 0.5586i
В этом примере смешанные элементы LC используются, чтобы создать сети соответствия ввода и вывода можно следующим образом:
Входная сеть соответствия состоит из одного шунтирующего конденсатора, Cin, и одного серийного индуктора, Лин. Используйте график Смита и Data Cursor, чтобы найти значения компонента. Для этого запустите путем графического вывода постоянного круга проводимости, который пересекает центр графика Смита и постоянного круга сопротивления, который пересекает GammaS.
hsm = smithplot; circle(stab_amp,fc,'G',1,'R',real(Zs),hsm); hsm.GridType = 'YZ'; hold all plot(GammaS,'k.','MarkerSize',16) text(real(GammaS)+0.05,imag(GammaS)-0.05,'\Gamma_{S}','FontSize', 12, ... 'FontUnits','normalized') plot(0,0,'k.','MarkerSize',16) hold off

Затем найдите точки пересечения постоянной проводимости и постоянного круга сопротивления. На основе принципиальной схемы выше, должна использоваться точка пересечения в более низкой половине графика Смита. Отметьте его как точка A.
GammaA = 0.6983*exp(1j*(-134.3)*pi/180); Za = gamma2z(GammaA,1); Ya = 1/Za;
Определите значение Cin от различия в реактивной проводимости от центра Смита строят диаграмму к точке A. А именно,
где 50 ссылочный импеданс.
Cin = imag(Ya)/50/2/pi/fc
Cin = 1.1945e-12
Определите значение Lin от различия в реактивном сопротивлении от точки A до GammaS. А именно,
Lin = (imag(Zs) - imag(Za))*50/2/pi/fc
Lin = 9.6522e-10
Используйте подход, описанный в предыдущем разделе при разработке входной сети соответствия, чтобы спроектировать выходную сеть соответствия и получить значения Cout и Lout.
GammaB = 0.7055*exp(1j*(-134.9)*pi/180); Zb = gamma2z(GammaB, 1); Yb = 1/Zb; Cout = imag(Yb)/50/2/pi/fc
Cout = 1.2194e-12
Lout = (imag(Zl) - imag(Zb))*50/2/pi/fc
Lout = 1.4682e-09
Создайте сети соответствия ввода и вывода. Расположите каскадом входную сеть соответствия, усилитель, резистор шунта и выходную сеть соответствия, чтобы создать LNA.
input_match = rfckt.cascade('Ckts', ... {rfckt.shuntrlc('C',Cin),rfckt.seriesrlc('L',Lin)}); output_match = rfckt.cascade('Ckts', ... {rfckt.seriesrlc('L',Lout),rfckt.shuntrlc('C',Cout)}); LNA = rfckt.cascade('ckts', ... {input_match,unmatched_amp,shunt_r,output_match});
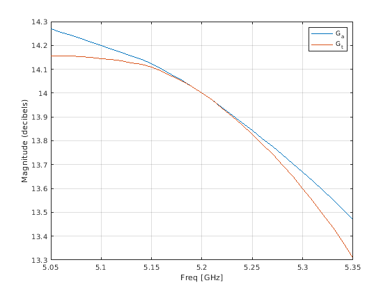
Анализируйте LNA вокруг частотного диапазона проекта и постройте доступное и усиление степени преобразователя. Доступными и усилением степени преобразователя на уровне 5,2 ГГц являются оба 14 дБ как предназначенный проект. Усиление степени преобразователя выше 11 дБ в частотном диапазоне проекта, который удовлетворяет требование в спецификации.
analyze(LNA,5.05e9:10e6:5.35e9); plot(LNA,'Ga','Gt','dB');

Постройте шумовую фигуру вокруг частотного диапазона проекта. Шумовая фигура ниже 2,2 дБ в частотном диапазоне проекта, который также удовлетворяет требование в спецификации. Шумовая фигура LNA на уровне 5,2 ГГц на приблизительно 0,1 дБ выше того из усилителя (1,84 дБ), который демонстрирует добавленный шум резистором шунта.
plot(LNA,'NF','dB')

Доступный метод разработки усиления часто используется в соответствии LNA. Существуют другие методы разработки для других устройств. Во второй части примера - Проектирующий Соответствие с Сетями (Часть 2: Одна Тупиковые Линии электропередачи), одновременный сопряженный пример соответствия представлен.