exponenta event banner

polyscale

Масштабируйте корни полинома

Синтаксис

b = polyscale(a,alpha)

Описание

b = polyscale(a,alpha) масштабирует корни полинома в z-плоскости, где a вектор, содержащий полиномиальные коэффициенты и alpha масштабный коэффициент.

Если alpha действительное значение в области значений  [0 1], затем корни a радиально масштабируются к источнику в z-плоскости. Комплексные числа для alpha позвольте произвольные изменения в корневых местоположениях.

Примеры

свернуть все

Выразите решения уравнения x7=1 как корни полинома. Постройте корни в комплексной плоскости.

pp = [1 0 0 0 0 0 0 -1];
zplane(pp,1)

Масштабируйте корни p в и из модульного круга. Постройте график результатов.

hold on

for sc = [1:-0.2:0.2 1.2 1.4];
    b = polyscale(pp,sc);
    plot(roots(b),'o')
end

axis([-1 1 -1 1]*1.5)

hold off

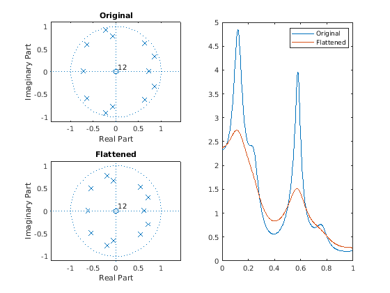
Загрузите речевой сигнал, произведенный в Fs=7418Hz. Файл содержит запись женского голоса, говоря слово "MATLAB®".

load mtlb

Смоделируйте раздел с 100 выборками сигнала с помощью 12-го порядка авторегрессивный полином. Выполните расширение пропускной способности сигнала путем масштабирования корней авторегрессивного полинома 0,85.

Ao = lpc(mtlb(1000:1100),12);
Ax = polyscale(Ao,0.85);

Постройте нули, полюса и частотные характеристики моделей.

subplot(2,2,1)
zplane(1,Ao)
title('Original')

subplot(2,2,3)
zplane(1,Ax)
title('Flattened')

subplot(1,2,2)
[ho,w] = freqz(1,Ao);
[hx,w] = freqz(1,Ax);
plot(w/pi,abs([ho hx]))
legend('Original','Flattened')

Советы

Путем сокращения радиуса корней в авторегрессивном полиноме пропускная способность спектрального peaks в частотной характеристике расширена (сглаженная). Эта операция часто упоминается как расширение пропускной способности.

Смотрите также

|

Представлено до R2006a