exponenta event banner

fdesign.polysrc

Создайте полиномиальный конвертер частоты дискретизации разработчик фильтра (POLYSRC)

Синтаксис

d = fdesign.polysrc(l,m)
d = fdesign.polysrc(l,m,'Fractional Delay','Np',Np)
d = fdesign.polysrc(...,Fs)

Описание

d = fdesign.polysrc(l,m) создает полиномиального разработчика фильтра конвертера частоты дискретизации Д с коэффициентом интерполяции L и фактором децимации M. L значения по умолчанию к 3. M значения по умолчанию к 2. L и M может быть произвольными положительными числами.

d = fdesign.polysrc(l,m,'Fractional Delay','Np',Np) инициализирует спецификацию разработчика фильтра Np и устанавливает полиномиальный порядок к значению Np. Если не использованные значения по умолчанию Np к 3.

d = fdesign.polysrc(...,Fs) задает частоту дискретизации (в Гц).

Примеры

свернуть все

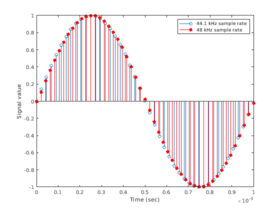
В этом примере показано, как спроектировать конвертер частоты дискретизации, который использует 3-й порядок фильтр интерполяции Лагранжа, чтобы преобразовать от 44.1 кГц до 48 кГц.

[L,M] = rat(48/44.1);
f = fdesign.polysrc(L,M,'Fractional Delay','Np',3);
Hm = design(f,'lagrange');

Исходная частота дискретизации

Fs = 44.1e3;

9 408 выборок, 0,213 секунд длиной

n = 0:9407;

Исходный сигнал, синусоида на уровне 1 кГц

x  = sin(2*pi*1e3/Fs*n);

10 241 выборка, все еще 0,213 секунды

y = filter(Hm,x);

Постройте исходный произведенный на уровне 44.1 кГц

stem(n(1:45)/Fs,x(1:45))
hold on

График незначительно интерполировал сигнал (48kHz) красного цвета

stem((n(3:51)-2)/(Fs*L/M),y(3:51),'r','filled')
xlabel('Time (sec)');ylabel('Signal value')
legend('44.1 kHz sample rate','48 kHz sample rate')

Для получения дополнительной информации о Неоплодотворенном SRCs, смотрите "Эффективное Преобразование Частоты дискретизации между Случайными факторами" пример, efficientsrcdemo.

Смотрите также

Введенный в R2011a