В этом примере показано, как измериться, показатели производительности ширины импульса модулировали синусоиду. Пример содержит модель, которую можно изменить, чтобы просмотреть эффекты изменений параметра на времени нарастания, времени спада, перерегулировании, отклонении от номинала, ширине импульса, импульсном периоде и измерениях рабочего цикла. Пример также показывает, что пример возрастающего ребра инициировал, и настраивается, чтобы выполнить основные статистические операции (среднее значение, медиана, RMS, максимум, минимум) и измерить частоту и период импульсного периода через курсоры и пиковое открытие.
Модель в качестве примера содержит несколько измерений и их соответствующие настройки.

Первый раздел показывает, как использовать триггер, чтобы стабилизировать шумную синусоиду в отображении. Вы видите, как синусоида создается путем двойного клика на блоке Noisy Sinusoid.

Синусоидальный сигнал подан в блок Time Scope с включенными триггерами.

Можно экспериментировать с триггерным положением путем перетаскивания маркеров вокруг отображения. Можно инициировать после повышения или падающих ребер. Этот пример включает 0,1 В гистерезиса, чтобы помочь стабилизировать синусоиду в присутствии шума. Гистерезис гарантирует, что сигнал пересекает на по крайней мере 0,1 В ниже порогового уровня прежде, чем указать положительно идущий переход.
Если вы закроете триггеры, вы будете видеть, что синусоида больше не остается фиксированной на экране. Можно возвратить триггеры путем нажатия на триггерный значок.
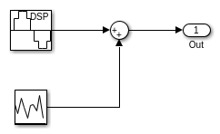
В этом примере модулируемый источник ширины импульса соединяется с осциллографами нескольких времен, которые содержат измерения.
Можно просмотреть источник путем нажатия на него:

Модель создает синусоидальную модуляцию ширины импульса путем применения смещения к желаемой синусоиде и впоследствии вычитания периодической пилообразной волны. Получившаяся форма волны затем подана в компаратор, чтобы сформировать форму импульса. Шум затем добавляется к сигналу и затем отправляется в фильтр с underdamped ответом.
Можно изменить сумму аддитивного шума на входе путем нажатия на Случайный Источник и изменения отклонения Распределения Гаусса.
Можно так же изменить ответ фильтра путем изменения его коэффициентов.
Можно просмотреть некоторую основную информацию о повышении и падающих переходах формы волны путем просмотра панели Переходов Двухуровневого диалогового окна Измерений.

Просматривая результаты, вы видите, что импульс имеет уровень высокого напряжения +1 В и уровень низкого напряжения-1 В.
Пример выше получает два возрастающих (положительных) ребра и два падающих (отрицательных) ребра с временами нарастания и осенние времена приблизительно 340 нс. Если вы масштабируете во всего одно ребро формы волны, вы видите измерения для только того ребра.
Обратите внимание на то, что ребра импульсов довольно круты, имея скорость нарастания приблизительно 4 В/нас. Фильтр underdampened использовался, чтобы достигнуть этого уровня. Изменение фильтра, который будет сверхослаблен, уменьшило бы уровень, на котором ребро каждого импульса могло перейти между импульсными уровнями. Выход фильтра underdampened сразу показывает значительный вызов после изменения между низкими и высокими состояниями. Чтобы определить количество этого поведения вызова, можно использовать измерения в Перерегулированиях / панель Отклонений от номинала.
Двухуровневое диалоговое окно Измерений также содержит измерения, которые относятся под - ослабленная среда. Можно просмотреть аберрации перехода путем открытия Перерегулирований / панель Отклонений от номинала:

Среднее перерегулирование возрастающих ребер составляет приблизительно 42%. Отклонение от номинала составляет 34%. Большие перерегулирования могут иногда повреждать логические устройства, которые спроектированы, чтобы принять только маленькую область значений напряжения. Большие отклонения от номинала могут заставить устройства обнаруживать неправильные логические состояния. В этом примере переходы обосновываются в среднем в течение 7,3 микросекунд.
Можно уменьшать объем вызова путем экспериментирования с коэффициентами фильтра при выходе модулируемого источника.
Можно также просмотреть, как ширина импульса и рабочий цикл варьируются как функции времени путем открытия панели Циклов в Двухуровневом диалоговом окне Измерений:

Этот пример показывает три импульса положительной полярности, но только два импульса отрицательной полярности. Импульсная частота составляет 10 кГц. Можно наблюдать закодированную синусоиду путем наблюдения, как рабочий цикл и ширина импульса изменяются в зависимости от времени.
В качестве альтернативы можно измерить амплитуды и времена значительного peaks путем вызова Пикового диалогового окна Средства поиска.

Напряжение в совете каждого перерегулирования составляет приблизительно 1,8 В, и следующий самый большой компонент вызова первого импульса на уровне 1,14 В.
Расширьте панель настроек, чтобы изменить количество показанного peaks. Можно также отфильтровать на основе высоты или расстояния между peaks. Можно также изменить текстовую аннотацию, показанную в отображении.
Можно измерить относительные расстояния между событиями формы волны при помощи измерений курсора. Здесь курсоры в начале каждого импульса и подтверждают, что импульсный период составляет 10 кГц.

Экспериментируйте с настройками, чтобы переместить курсоры куда угодно в экран или измерить местоположения других сигналов. Можно переместить курсоры с клавишами со стрелками и также привязать их или к самой близкой точке данных или экранировать пиксель.
Можно просмотреть статистику базового сигнала полученной волны с диалоговым окном измерения Статистики Сигналов.

Можно наблюдать минимальные и максимальные значения отображенного сигнала и других метрик сигнала, таких как от пика к пику, среднее значение, медиана и значения RMS.
Станд. IEEE 181-2003 стандарта IEEE на переходах, импульсе и связанных формах волны