В этом примере показано, как реализовать фиксированную точку log2 использование интерполяционной таблицы. Интерполяционные таблицы генерируют эффективный код для встроенных устройств.
Чтобы гарантировать, что этот пример не изменяет ваши настройки или настройки, этот код хранит исходное состояние.
originalFormat = get(0,'format'); format long g originalWarningState = warning('off','fixed:fi:underflow'); originalFiprefState = get(fipref); reset(fipref)
Вы восстановите это состояние в конце примера.
log2 алгоритм, реализованный в функциональном fi_log2lookup_8_bit_byte ниже, получен в итоге здесь.
Объявите количество битов в байте, B, как константа. В этом примере, B=8.
Используйте функциональный fi_normalize_unsigned_8_bit_byte() описанный в примере Нормируют Данные для Интерполяционных таблиц, чтобы нормировать вход u>0 таким образом, что u = x*2^n и 1 <= x < 2.
Извлеките верхний B- биты x. Позвольте x_B обозначьте верхний B- биты x.
Сгенерируйте интерполяционную таблицу, LOG2LUT, такой что целочисленный i = x_B - 2^(B-1) + 1 используется в качестве индекса к LOG2LUT так, чтобы log2(x_B) может быть оценен путем поиска индекса log2(x_B) = LOG2LUT(i).
Используйте остаток, r = x - x_B, интерпретированный как часть, чтобы линейно интерполировать между LOG2LUT(i) и следующее значение в таблице LOG2LUT(i+1). Остаток, r, создается путем извлечения более низкого w - B биты x, где w обозначает размер слова x. Это интерпретировано как часть при помощи функционального reinterpretcast().
Наконец, вычислите выход с помощью интерполяционной таблицы и линейной интерполяции:
log2(u) = log2(x*2^n)
= n + log2(x)
= n + LOG2LUT(i) + r*(LOG2LUT(i+1) - LOG2LUT(i))
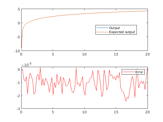
Используйте fi_log2lookup_8_bit_byte() вычислить фиксированную точку log2 использование интерполяционной таблицы. Сравните результат интерполяционной таблицы фиксированной точки с логарифмом, вычисленным с помощью log2 и двойная точность.
u = fi(linspace(0.001,20,100)); y = fi_log2lookup_8_bit_byte(u); y_expected = log2(double(u));
Постройте график результатов.
clf subplot(211) plot(u,y,u,y_expected) legend('Output','Expected output','Location','Best') subplot(212) plot(u,double(y)-y_expected,'r') legend('Error')

figure(gcf)
Восстановите исходное состояние.
set(0,'format',originalFormat);
warning(originalWarningState);
fipref(originalFiprefState);fi_log2lookup_8_bit_byte Функциональное определениеfunction y = fi_log2lookup_8_bit_byte(u) % Load the lookup table LOG2LUT = log2_lookup_table(); % Remove fimath from the input to insulate this function from math % settings declared outside this function. u = removefimath(u); % Declare the output y = coder.nullcopy(fi(zeros(size(u)),numerictype(LOG2LUT),fimath(LOG2LUT))); B = 8; % Number of bits in a byte w = u.WordLength; for k = 1:numel(u) assert(u(k)>0,'Input must be positive.'); % Normalize the input such that u = x*2^n and 1 <= x < 2 [x,n] = fi_normalize_unsigned_8_bit_byte(u(k)); % Extract the high byte of x high_byte = storedInteger(bitsliceget(x, w, w - B + 1)); % Convert the high byte into an index for LOG2LUT i = high_byte - 2^(B-1) + 1; % Interpolate between points. % The upper byte was used for the index into LOG2LUT % The remaining bits make up the fraction between points. T_unsigned_fraction = numerictype(0, w-B, w-B); r = reinterpretcast(bitsliceget(x,w-B,1), T_unsigned_fraction); y(k) = n + LOG2LUT(i) + ... r*(LOG2LUT(i+1) - LOG2LUT(i)) ; end % Remove fimath from the output to insulate the caller from math settings % declared inside this function. y = removefimath(y); end
Функциональный log2_lookup_table загружает интерполяционную таблицу log2 значения. Можно составить таблицу путем выполнения:
B = 8;
log2_table = log2((2^(B-1):2^(B))/2^(B-1))
function LOG2LUT = log2_lookup_table() B = 8; % Number of bits in a byte % log2_table = log2((2^(B-1) : 2^(B)) / 2^(B - 1)) log2_table = [0.000000000000000 0.011227255423254 0.022367813028454 0.033423001537450 ... 0.044394119358453 0.055282435501190 0.066089190457773 0.076815597050831 ... 0.087462841250339 0.098032082960527 0.108524456778169 0.118941072723507 ... 0.129283016944966 0.139551352398794 0.149747119504682 0.159871336778389 ... 0.169925001442312 0.179909090014934 0.189824558880017 0.199672344836364 ... 0.209453365628950 0.219168520462162 0.228818690495881 0.238404739325079 ... 0.247927513443586 0.257387842692652 0.266786540694901 0.276124405274238 ... 0.285402218862248 0.294620748891627 0.303780748177103 0.312882955284355 ... 0.321928094887362 0.330916878114617 0.339850002884625 0.348728154231078 ... 0.357552004618084 0.366322214245816 0.375039431346925 0.383704292474052 ... 0.392317422778760 0.400879436282184 0.409390936137702 0.417852514885898 ... 0.426264754702098 0.434628227636725 0.442943495848728 0.451211111832329 ... 0.459431618637297 0.467605550082997 0.475733430966398 0.483815777264256 ... 0.491853096329675 0.499845887083205 0.507794640198696 0.515699838284042 ... 0.523561956057013 0.531381460516312 0.539158811108031 0.546894459887637 ... 0.554588851677637 0.562242424221073 0.569855608330948 0.577428828035749 ... 0.584962500721156 0.592457037268080 0.599912842187128 0.607330313749611 ... 0.614709844115208 0.622051819456376 0.629356620079610 0.636624620543649 ... 0.643856189774725 0.651051691178929 0.658211482751795 0.665335917185176 ... 0.672425341971496 0.679480099505446 0.686500527183218 0.693486957499325 ... 0.700439718141092 0.707359132080883 0.714245517666123 0.721099188707185 ... 0.727920454563199 0.734709620225838 0.741466986401147 0.748192849589460 ... 0.754887502163469 0.761551232444479 0.768184324776926 0.774787059601173 ... 0.781359713524660 0.787902559391432 0.794415866350106 0.800899899920305 ... 0.807354922057604 0.813781191217037 0.820178962415188 0.826548487290915 ... 0.832890014164742 0.839203788096944 0.845490050944375 0.851749041416058 ... 0.857980995127572 0.864186144654280 0.870364719583405 0.876516946565000 ... 0.882643049361841 0.888743248898259 0.894817763307943 0.900866807980749 ... 0.906890595608518 0.912889336229962 0.918863237274595 0.924812503605781 ... 0.930737337562886 0.936637939002571 0.942514505339240 0.948367231584678 ... 0.954196310386875 0.960001932068081 0.965784284662087 0.971543553950772 ... 0.977279923499916 0.982993574694310 0.988684686772166 0.994353436858858 ... 1.000000000000000]; % Cast to fixed point with the most accurate rounding method WL = 4*B; % Word length FL = 2*B; % Fraction length LOG2LUT = fi(log2_table,1,WL,FL,'RoundingMethod','Nearest'); % Set fimath for the most efficient math operations F = fimath('OverflowAction','Wrap',... 'RoundingMethod','Floor',... 'SumMode','SpecifyPrecision',... 'SumWordLength',WL,... 'SumFractionLength',FL,... 'ProductMode','SpecifyPrecision',... 'ProductWordLength',WL,... 'ProductFractionLength',2*FL); LOG2LUT = setfimath(LOG2LUT,F); end