Этот пример показывает генерацию температурного профиля на основе потерь переключения и проводимости в биполярном транзисторе с изолированным затвором (IGBT). Существует два понижающих конвертера. Для одного конвертера IGBT присоединяет к Фостер тепловой модели. Для другого конвертера IGBT присоединяет к Cauer тепловой модели. Параметры для тепловых моделей настраиваются, чтобы дать примерно эквивалентные результаты. Во времени симуляции 50 мс частота переключений изменяется с 40 кГц до 20 кГц, что увеличивает потери проводимости и уменьшает потери переключений. Изменение в потерях приводит к соответствующему изменению в температуре IGBT.
И Фостер и Коер, тепловые сети соединяются с фиксированным температурным источником, который представляет температуру теплоотвода. Чтобы получить значимые результаты, необходимо соединить Фостера тепловая сеть с фиксированным температурным источником. Чтобы смоделировать количество тепла теплоотвода и конвекцию к среде, можно соединить модель Cauer с любой другой тепловой сетью. В этом примере модель Cauer соединяется с третьей тепловой сетью первого порядка, и первые два тепловых состояния включены во внутреннюю тепловую модель блока IGBT. Модель третьего порядка требуется, чтобы совпадать с третьим порядком реализованная модель Фостера. Обычно таблицы данных обеспечивают только соединение secord-порядка и динамику случая для модели Cauer.

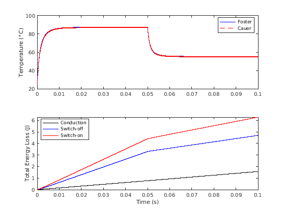
График ниже показывает температуру IGBT и энергетическую потерю как функции времени и для Foster и для Cauer тепловые модели. Потери мощности являются наклоном кривой энергетической потери.

ee_getPowerLossSummary служебная функция сообщает об убытках, которые потерпели элементы схемы от регистрируемых данных моделирования. Потери проводимости отчетов столбца 'Степени' и столбец SwitchingLosses сообщают о полупроводниковых потерях переключения.
ans =
12x3 table
LoggingNode Power SwitchingLosses
___________________________________________ ______ _______________
{'ee_igbt_losses.Buck_circuit_1.Load' } 7453.8 0
{'ee_igbt_losses.Buck_circuit_2.Load' } 7453.8 0
{'ee_igbt_losses.IGBT_C' } 15.702 109.72
{'ee_igbt_losses.IGBT_F' } 15.701 109.8
{'ee_igbt_losses.Buck_circuit_1.Diode' } 12.147 0
{'ee_igbt_losses.Buck_circuit_2.Diode' } 12.147 0
{'ee_igbt_losses.Buck_circuit_1.Capacitor'} 0 0
{'ee_igbt_losses.Buck_circuit_1.Inductor' } 0 0
{'ee_igbt_losses.Buck_circuit_2.Capacitor'} 0 0
{'ee_igbt_losses.Buck_circuit_2.Inductor' } 0 0
{'ee_igbt_losses.Rgate_C' } 0 0
{'ee_igbt_losses.Rgate_F' } 0 0