Signal Processing Toolbox™ обеспечивает функции и приложения, чтобы анализировать, предварительно обработать, и извлечь функции из однородно и неоднородно выбранные сигналы. Тулбокс включает инструменты для создания фильтра и анализа, передискретизации, сглаживания, удаления тренда и оценки спектра мощности. Тулбокс также обеспечивает функциональность для извлечения функций как changepoints и конверты, нахождение peaks и шаблонов сигнала, определение количества общих черт сигнала и выполнение измерений, таких как ОСШ и искажение. Можно также выполнить модальный и заказать анализ сигналов вибрации.
С приложением Signal Analyzer можно предварительно обработать и анализировать несколько сигналов одновременно вовремя, частоты и частотных диапазонов времени без написания кода; исследуйте длинные сигналы; и извлеките необходимые области. С приложением Filter Designer можно проектировать и анализировать цифровые фильтры путем выбора из множества алгоритмов и ответов. Оба приложения генерируют код MATLAB®.
Используя приложение Signal Analyzer
Визуализируйте, измерьте, анализируйте и сравните сигналы во время, частоту и частотные диапазоны времени.
Извлеките речь из музыкального сигнала
Используйте Signal Analyzer, чтобы извлечь речь из песни путем дублирования и фильтрации сигналов.
Выровняйте сигналы с различными временами запуска
Синхронизируйте данные, собранные различными датчиками в различные моменты.
Определите, совпадает ли сигнал с сегментом шумного более длинного потока данных.
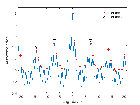
Найдите локальные максимумы в наборе данных и определите, происходит ли тот peaks периодически.
Извлеките функции сигнала часов
Определите, как часто и как резко двухуровневый сигнал включает и выключает.
Фильтрация данных с программным обеспечением Signal Processing Toolbox
Разработка и реализация фильтр с помощью командной строки функционирует или интерактивное приложение.
Используйте фильтр дифференциатора, чтобы дифференцировать сигнал, не усиливая шум.
Найдите периодичность Используя анализ частоты
Спектральный анализ помогает охарактеризовать колебательное поведение в данных и измерить различные циклы.
Найдите и отследите гребни Используя переприсвоенную спектрограмму
Используйте переприсвоенную спектрограмму в Signal Analyzer, чтобы увеличить резкость времени и локализации частоты спектрограмм.
Классифицируйте сигналы ECG Используя длинные краткосрочные сети памяти
Классифицируйте данные об электрокардиограмме heartbeat с помощью глубокого обучения и обработки сигналов.
Сегментация формы волны Используя глубокое обучение
Сигналы электрокардиограммы человека сегмента с помощью частотно-временного анализа и глубокого обучения.
Маркируйте Signal Attributes, Regions of Interest и Points
Используйте Signal Labeler, чтобы пометить атрибуты, области и интересные места в наборе песен кита.
Что такое Signal Processing Toolbox?
Выполните обработку сигналов, анализ сигнала и разработку алгоритмов с помощью Signal Processing Toolbox.
Обработка сигналов для машинного обучения
Это видео представляет систему классификации, которая в состоянии идентифицировать физическую активность испытуемого человека на основе сгенерированных смартфоном сигналов акселерометра.
Анализ сигнала, сделанный легкий
Этот вебинар демонстрирует, как легкий это должно выполнить анализ сигнала в MATLAB.
Введение в приложения обработки сигналов в MATLAB
Используйте Signal Analyzer, чтобы импортировать, визуализировать, предварительно обработать, и анализировать сигнал электрокардиограммы.