exponenta event banner

gagerr

Замерьте исследование воспроизводимости и воспроизводимость

Синтаксис

gagerr(y,{part,operator})
gagerr(y,GROUP)
gagerr(y,part)
gagerr(...,param1,val1,param2,val2,...)
[TABLE, stats] = gagerr(...)

Описание

gagerr(y,{part,operator}) выполняет воспроизводимость сортамента и исследование воспроизводимости измерений в y собранный operator на partY вектор-столбец, содержащий измерения на различных частях. part и operator категориальные переменные, числовые векторы, символьные матрицы, строковые массивы или массивы ячеек из символьных векторов. Число элементов в part и operator должен быть эквивалентным в y.

gagerr распечатывает таблицу в командном окне в который разложение отклонения, стандартного отклонения, var исследования (5,15 x стандартное отклонение), перечислены с соответствующими процентами для других источников. Итоговые статистические данные распечатаны ниже таблицы, дающей количество отличных категорий (NDC) и процент Сортамента R&R общих изменений (PRR).

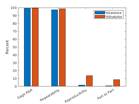
gagerr также строит столбчатый график, показывающий процент различных компонентов изменений. Замерьте R&R, воспроизводимость, воспроизводимость, и изменения от части к части построены как четыре вертикальных панели. Отклонение и var исследования построены как две группы.

Чтобы определить возможность системы измерения с помощью NDC, используйте следующие инструкции:

  • Если NDC> 5, система измерения способна.

  • Если NDC <2, система измерения не способна.

  • В противном случае система измерения может быть приемлемой.

Чтобы определить возможность системы измерения с помощью PRR, используйте следующие инструкции:

  • Если PRR <10%, система измерения способна.

  • Если PRR> 30%, система измерения не способна.

  • В противном случае система измерения может быть приемлемой.

gagerr(y,GROUP) выполняет сортамент исследование R&R измерений в y с part и operator представленный в GROUP. GROUP числовая матрица, первые и вторые столбцы которой задают различные части и операторы, соответственно. Количество строк в GROUP должен совпасть с числом элементов в y.

gagerr(y,part) выполняет сортамент исследование R&R измерений в y без информации об операторе. Предположение - то, что вся изменчивость внесена part.

gagerr(...,param1,val1,param2,val2,...) выполняет сортамент исследование R&R с помощью одного или нескольких из следующего названия параметра / пары значения:

  • 'spec' — Двухэлементный вектор, который задает нижний и верхний предел процесса, соответственно. В этом случае итоговые статистические данные, распечатанные в командном окне, включают Отношение точности к допуску (PTR). Кроме того, столбчатый график включает дополнительную группу, процент допуска.

    Чтобы определить возможность системы измерения с помощью PTR, используйте следующие инструкции:

    • Если PTR <0.1, система измерения способна.

    • Если PTR> 0.3, система измерения не способна.

    • В противном случае система измерения может быть приемлемой.

  • 'printtable' — Значение 'on' или 'off' это указывает, должен ли табличный выход быть распечатан в командном окне или нет. Значением по умолчанию является 'on'.

  • 'printgraph' — Значение 'on' или 'off' это указывает, должен ли столбчатый график быть построен или нет. Значением по умолчанию является 'on'.

  • 'randomoperator' — Логическое значение, true или false, это указывает ли эффект operator случайно или нет. Значением по умолчанию является true.

  • 'model' — Модель, чтобы использовать, заданный одним из:

    • 'linear' — Основные эффекты только (значение по умолчанию)

    • 'interaction' — Основные эффекты плюс 2D факторные взаимодействия

    • 'nested' — Вложенное множество operator в part

    Значением по умолчанию является 'linear'.

[TABLE, stats] = gagerr(...) возвращает 6 5 матричный TABLE и структура stats. Столбцы TABLE, слева направо представляйте отклонение, процент отклонения, стандартных отклонений, var исследования и процента var исследования. Строки TABLE, сверху донизу представляйте другие источники изменений: замерьте R&R, воспроизводимость, воспроизводимость, оператор, оператор и взаимодействия части и часть. stats структура, содержащая итоговую статистику для эффективности системы измерения. Поля stats :

  • ndc — Количество отличных категорий

  • prr — Процент сортамента R&R общих изменений

  • ptr — Отношение точности к допуску. Значением является NaN если параметр 'spec' не дан.

Примеры

свернуть все

Симулируйте систему измерения путем случайной генерации операторов, частей, и измерений, y , операторы делают на частях.

rng(1234,'twister')               % for reproducibility   
y = randn(100,1);                 % measurements
part = ceil(3*rand(100,1));       % parts
operator = ceil(4*rand(100,1));   % operators

Проведите сортамент исследование R&R для этой системы с помощью смешанной модели ANOVA без взаимодействий.

gagerr(y,{part, operator},'randomoperator',true)
  Columns 1 through 4

    {'Source'           }    {'Variance'}    {'% Variance'}    {'sigma' }
    {'Gage R&R'         }    {[  0.9715]}    {[   99.2653]}    {[0.9857]}
    {'  Repeatability'  }    {[  0.9535]}    {[   97.4201]}    {[0.9765]}
    {'  Reproducibility'}    {[  0.0181]}    {[    1.8452]}    {[0.1344]}
    {'   Operator'      }    {[  0.0181]}    {[    1.8452]}    {[0.1344]}
    {'Part'             }    {[  0.0072]}    {[    0.7347]}    {[0.0848]}
    {'Total'            }    {[  0.9787]}    {[       100]}    {[0.9893]}

  Columns 5 through 6

    {'5.15*sigma'}    {'% 5.15*sigma'}
    {[    5.0762]}    {[     99.6320]}
    {[    5.0288]}    {[     98.7016]}
    {[    0.6921]}    {[     13.5838]}
    {[    0.6921]}    {[     13.5838]}
    {[    0.4367]}    {[      8.5716]}
    {[    5.0949]}    {0x0 char      }

Number of distinct categories (NDC):0
% of Gage R&R of total variations (PRR): 99.63
Note: The last column of the above table does not have to sum to 100%

Figure contains an axes. The axes contains 2 objects of type bar. These objects represent %Variance, %StudyVar.

Ссылки

[1] Burdick, Ричард К., Конни М. Боррор и Дуглас К. Монтгомери. Проект и Анализ Прибора Исследования R&R: Принятие Решений с Доверительными интервалами в Случайных и Смешанных Моделях Дисперсионного Анализа. Общество Промышленной Прикладной математики: американская Статистическая Ассоциация, 2005.

Смотрите также

Представленный в R2006b