NA-MAAB - a1/a2, b, c, e
JMAAB - a1/a2, b, c, d, e
Все
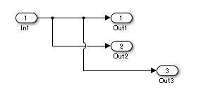
Вертикальные и горизонтальные сигнальные линии не должны пересекать друг друга.
Неприменимо
(R2014a и более поздние версии) Когда вертикальные и горизонтальные сигнальные линии должны пересекаться, предпочтение редактора Simulink Стиль пересечения линий должен иметь значение Line hop.
Неприменимо
Вертикальная линия пересекает горизонтальную линию.

Сигнальные линии не должны перекрываться с другими сигнальными линиями.
Неприменимо
Сигнальные линии не должны пересекать блоки.
Неприменимо
Сигнальные линии не должны разделяться более чем на две подчиненные линии в одной точке ветвления.
Неприменимо


Размеры сигнальных линий должны изменяться по вертикали или горизонтали в соответствии с требованиями компоновки модели.
Неприменимо
Вспомогательные идентификаторы a1, c:
Трудно понять взаимосвязи между блоками, когда сигнальные линии пересекаются.
Sub ID a2:
В R2014a и более поздних выясняется разница между скрещиванием и ветвлением.
Субидентификатор b:
Трудно понять взаимосвязи между блоками, когда сигнальные линии перекрываются.
Субидентификатор d:
Трудно понять отношения между блоками.
Субидентификатор e:
Последовательное применение сигнальных линий улучшает читаемость.
Проверка модуля Model Advisor: Проверка соединений сигнальных линий (Simulink Check)
R2020a
Руководство JMAAB db_0032, которое доступно в Руководстве по моделированию алгоритмов управления с использованием MATLAB, Simulink и Stateflow на веб-сайте MathWorks ®.
Основы сигналов (Simulink)