При использовании Neuro-Fuzzy Designer можно экспортировать начальную структуру FIS в рабочую область MATLAB ®, а затем сгенерировать значения ошибок обучения ANFIS. Поскольку экспорт профилей ошибок обучения и проверки из приложения Neuro-Fuzzy Designer не поддерживается, используйте этот метод для создания таких графиков ошибок.
В следующем примере показано, как сохранить ошибку обучения, созданную во время обучения ANFIS, в рабочей области MATLAB.
Загрузите данные обучения (fuzex1trnDataи данные проверки (fuzex1chkData) в рабочую область MATLAB.
load fuzex1trnData.dat load fuzex1chkData.dat
Откройте приложение Neuro-Fuzzy Designer.
neuroFuzzyDesigner

Загрузите учебные данные из рабочего пространства MATLAB в Neuro-Fuzzy Designer.
В разделе Загрузить данные выберите Обучение.
Выберите worksp.
Щелкните Загрузить данные (Load Data). В диалоговом окне «Загрузка из рабочего пространства» введите имя переменной fuzex1trnData.

Нажмите кнопку ОК. Нейро-нечеткий конструктор отображает обучающие данные на графике в виде набора кругов.

Загрузите данные проверки из рабочего пространства MATLAB в Neuro-Fuzzy Designer. В разделе «Загрузка данных» выберите «Проверка».
Загрузка данных проверки аналогично данным обучения с указанием имени переменной fuzex1chkData. Neuro-Fuzzy Designer отображает данные проверки с помощью знаков «плюс», наложенных на данные обучения.

Создайте начальный FIS.
В разделе Генерация FIS выберите Раздел сетки.
Щелкните Генерировать FIS (Generate FIS).
В диалоговом окне «Добавить функции членства»:
В разделе Ввод в поле Количество MF укажите количество входных функций членства. Для этого примера используйте 4 для всех входных переменных.
В поле «Тип MF» выберите gbellmf в качестве типа входной функции членства.
В разделе «Вывод» в поле «Тип MF» выберите linear в качестве типа выходной членской функции.

Нажмите кнопку ОК.
Экспортируйте исходный FIS в рабочую область MATLAB.
В Neuro-Fuzzy Designer выберите «Файл» > «Экспорт» > «В рабочее пространство».
Это действие открывает диалоговое окно, в котором указывается имя переменной MATLAB.
В диалоговом окне «Экспорт в рабочую область» в поле «Переменная рабочей области» введите initfis в качестве имени переменной.

Нажмите кнопку ОК. Приложение экспортирует объект FIS в рабочую область MATLAB.
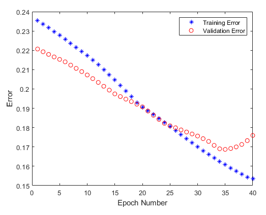
Обучение FIS для 40 эпохи. Вместо использования одиночного вызова anfis функция, вызовите функцию внутри цикла, используя 2 эпохи для каждого звонка. Этот метод обучения повторяет процесс обучения, используемый приложением Neuro-Fuzzy Designer.
На каждом этапе обучения сохраните ошибки обучения и проверки.
fis = initfis; opt = anfisOptions('EpochNumber',2,'ValidationData',fuzex1chkData); trainError = zeros(1,40); checkError = zeros(1,40); for ct = 1:40 opt.InitialFIS = fis; [fis,error,~,~,chkError] = anfis(fuzex1trnData,opt); trainError(ct) = error(1); checkError(ct) = chkError(1); end
Постройте график ошибок обучения и проверки над процессом обучения. Эти значения ошибок являются среднеквадратичными ошибками в каждом учебном периоде.
epochNum = 1:40; plot(epochNum,trainError,'b*',epochNum,checkError,'ro') xlabel('Epoch Number') ylabel('Error') legend('Training Error','Validation Error')

Эти профили ошибок аналогичны профилям ошибок, когда та же самая начальная структура FIS обучается в приложении Neuro-Fuzzy Designer.