exponenta event banner

Контроллер скользящего режима

Управление скользящим режимом на основе гистерезиса

  • Библиотека:
  • Simscape / Электрический / Контроль / Общий Контроль

  • Sliding Mode Controller block

Описание

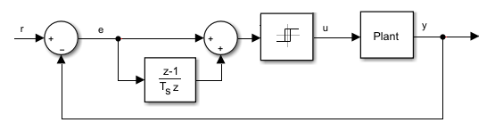
Блок контроллера скользящего режима реализует управление скользящим режимом на основе гистерезиса (SMC).

Порты

Вход

развернуть все

Опорный сигнал системы установки.

Типы данных: single | double

Выходной сигнал системы установки.

Типы данных: single | double

Продукция

развернуть все

Выходной сигнал системы управления.

Типы данных: single | double

Параметры

развернуть все

Общая полоса пропускания гистерезиса, распределенная симметрично относительно уставки.

Верхний предел для управляющего выходного сигнала.

Нижний предел для управляющего выходного сигнала.

Время (в секундах) между последовательными выполнением блоков. Во время выполнения блок выдает выходные данные и, при необходимости, обновляет свое внутреннее состояние. Дополнительные сведения см. в разделе Что такое время образца? и Укажите время образца.

Если этот блок находится внутри запускаемой подсистемы, наследуйте время выборки, установив для этого параметра значение -1. Если этот блок находится в модели непрерывного шага переменной, укажите время выборки явно, используя положительный скаляр.

Расширенные возможности

Создание кода C/C + +
Создайте код C и C++ с помощью Simulink ® Coder™

.
Представлен в R2018a