NA-MAAB - Нет рекомендаций
JMAAB - a
Все
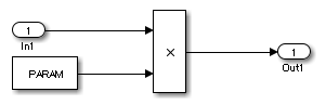
Параметры блока, являющиеся объектами калибровки, определяются как именованные константы. Примеры параметров, которые находятся вне калибровочной мишени, включают в себя:
Параметр начального значения 0
Приращение, приращение 1
Неприменимо


Субидентификатор a:
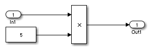
Литеральная константа в модели будет распространяться как литеральная константа в сгенерированном коде, что делает калибровку невозможной.
Проверка помощника по модели: Проверка, определены ли настраиваемые параметры блока как именованные константы (Simulink Check)
R2020a
Руководство JMAAB jc_0645, которое доступно в Руководстве по моделированию алгоритмов управления с использованием MATLAB, Simulink и Stateflow на веб-сайте MathWorks ®.