Этот пример показывает, как использовать вейвлет и нейронную сеть для глубокого обучения в модели Simulink(R) для классификации сигналов ECG. Этот пример использует предварительно обученную сверточную нейронную сеть из примера Classify Time Series Using Wavelet Analysis and Глубокое Обучение Wavelet Toolbox™, чтобы классифицировать сигналы ECG на основе изображений из CWT данных временных рядов. Для получения информации о обучении смотрите Классификация временных рядов с использованием Wavelet Analysis и Глубокое Обучение (Wavelet Toolbox).
Этот пример использует данные ЭКГ из базы данных PhysioNet. Он содержит данные трех групп людей:
Люди с сердечной аритмией (ARR)
Лица с застойным сердечным отказом (ХСН)
Люди с нормальными синусовыми ритмами (NSR)
Он включает 96 записей от лиц с АРР, 30 записей от лиц с ХСН и 36 записей от лиц с СМП. The ecg_signals MAT-файл содержит тестовые данные ЭКГ в формате временных рядов. Классификатор изображений в этом примере различает ARR, CHF и NSR.
Показан блок алгоритмического рабочего процесса модели Simulink.

Показана модель Simulink для классификации сигналов ECG. Когда модель запускается, Video Viewer блок отображает классифицированный сигнал ЭКГ.
open_system('ecg_dl_cwtMDL');

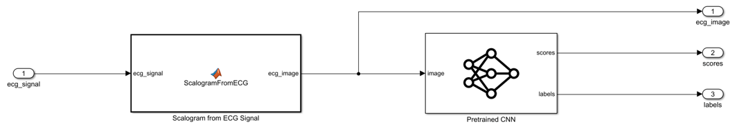
The ECG Preprocessing подсистема содержит MATLAB Function блок, который выполняет CWT для получения скалограммы сигнала ECG и затем обрабатывает скалограмму для получения изображения. Он также содержит Image Classifier блок из Deep Learning Toolbox™, который загружает предварительно обученную сеть из trainedNet.mat и выполняет предсказание для классификации изображений на основе SqueezeNet глубокое обучение CNN.
open_system('ecg_dl_cwtMDL/ECG Preprocessing');

The ScalogramFromECG функциональный блок определяет функцию, вызываемую ecg_to_scalogram что:
Использует 65536 выборок данных ЭКГ двойной точности в качестве входных данных.
Создайте представление временной частоты из данных ECG путем применения преобразования Вейвлета.
Получите скалограмму из коэффициентов вейвлета.
Преобразовать скалограмму в изображение размера (227 227 3).
Сигнатура функции ecg_to_scalogram показан.
type ecg_to_scalogram
function ecg_image = ecg_to_scalogram(ecg_signal)
% Copyright 2020 The MathWorks, Inc.
persistent jetdata;
if(isempty(jetdata))
jetdata = colourmap(128,'single');
end
% Obtain wavelet coefficients from ECG signal
cfs = cwt_ecg(ecg_signal);
% Obtain scalogram from wavelet coefficients
image = ind2rgb(im2uint8(rescale(cfs)),jetdata);
ecg_image = im2uint8(imresize(image,[227,227]));
end
The ECG Postprocessing Блок MATLAB function задает label_prob_image функция, которая находит метку для скалограммного изображения на основе наивысшего счета от счетов, опережаемой классификатором изображений. Он выводит скалограммное изображение с наложенной меткой и доверием.
type label_prob_image
function final_image = label_prob_image(ecg_image, scores, labels)
% Copyright 2020 The MathWorks, Inc.
scores = double(scores);
% Obtain maximum confidence
[prob,index] = max(scores);
confidence = prob*100;
% Obtain label corresponding to maximum confidence
label = erase(char(labels(index)),'_label');
text = cell(2,1);
text{1} = ['Classification: ' label];
text{2} = ['Confidence: ' sprintf('%0.2f',confidence) '%'];
position = [135 20 0 0; 130 40 0 0];
final_image = insertObjectAnnotation(ecg_image,'rectangle',position,text,'TextBoxOpacity',0.9,'FontSize',9);
end
Чтобы проверить алгоритм и отобразить метки и оценку достоверности тестового сигнала ЭКГ, загруженного в рабочую область, запустите симуляцию.
set_param('ecg_dl_cwtMDL', 'SimulationMode', 'Normal'); sim('ecg_dl_cwtMDL');

С помощью GPU Coder™ можно ускорить выполнение модели на графических процессорах NVIDIA ® и сгенерировать код CUDA ® для модели. Для получения дополнительной информации смотрите Генерацию кода для модели Глубокое Обучение Simulink для классификации сигналов ECG (GPU Coder).
Закройте модель Simulink.
close_system('ecg_dl_cwtMDL/ECG Preprocessing'); close_system('ecg_dl_cwtMDL');