В этом примере показано, как создать рассеянную модель в пространстве состояний, в которой одна из переменных состояния выпадает из модели после определенного периода.
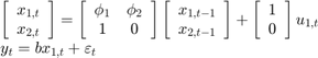
Предположим, что скрытый процесс включает AR (2) и модель MA (1). Существует 50 периодов и MA (1), процесс выпадает из модели в течение итоговых 25 периодов. Следовательно, уравнение состояния в течение первых 25 периодов

и в течение последних 25 периодов, это

где
и
являются Гауссовыми со средним значением 0 и стандартным отклонением 1.
Скрытые процессы измеряются с помощью

в течение первых 25 периодов, и

в течение последних 25 периодов, где
является Гауссовым со средним значением 0 и стандартным отклонением 1.
Вместе, скрытые уравнения процесса и наблюдения составляют модель в пространстве состояний. Если коэффициенты являются неизвестными параметрами, модель в пространстве состояний
![$$\begin{array}{l}
\left[ {\begin{array}{*{20}{c}}
{{x_{1,t}}}\\
{{x_{2,t}}}\\
{{x_{3,t}}}\\
{{x_{4,t}}}
\end{array}} \right] = \left[ {\begin{array}{*{20}{c}}
{{\phi _1}}&{{\phi _2}}&0&0\\
1&0&0&0\\
0&0&0&{{\theta _1}}\\
0&0&0&0
\end{array}} \right]\left[ {\begin{array}{*{20}{c}}
{{x_{1,t - 1}}}\\
{{x_{2,t - 1}}}\\
{{x_{3,t - 1}}}\\
{{x_{4,t - 1}}}
\end{array}} \right] + \left[ {\begin{array}{*{20}{c}}
1&0\\
0&0\\
0&1\\
0&1
\end{array}} \right]\left[ {\begin{array}{*{20}{c}}
{{u_{1,t}}}\\
{{u_{2,t}}}
\end{array}} \right]\\
{y_t} = a({x_{1,t}} + {x_{3,t}}) + {\varepsilon _t}
\end{array}$$](../examples/econ/win64/CreateTimeVaryingDiffuseStateSpaceModelExample_eq08939596656225341196.png)
в течение первых 25 периодов,
![$$\begin{array}{l}
\left[ {\begin{array}{*{20}{c}}
{{x_{1,t}}}\\
{{x_{2,t}}}
\end{array}} \right] = \left[ {\begin{array}{*{20}{c}}
{{\phi _1}}&{{\phi _2}}&0&0\\
1&0&0&0
\end{array}} \right]\left[ {\begin{array}{*{20}{c}}
{{x_{1,t - 1}}}\\
{{x_{2,t - 1}}}\\
{{x_{3,t - 1}}}\\
{{x_{4,t - 1}}}
\end{array}} \right] + \left[ {\begin{array}{*{20}{c}}
1\\
0
\end{array}} \right]{u_{1,t}}\\
{y_t} = b{x_{1,t}} + {\varepsilon _t}
\end{array}$$](../examples/econ/win64/CreateTimeVaryingDiffuseStateSpaceModelExample_eq14434019549381870163.png)
в течение периода 26, и
![$$\begin{array}{l}
\left[ {\begin{array}{*{20}{c}}
{{x_{1,t}}}\\
{{x_{2,t}}}
\end{array}} \right] = \left[ {\begin{array}{*{20}{c}}
{{\phi _1}}&{{\phi _2}}\\
1&0
\end{array}} \right]\left[ {\begin{array}{*{20}{c}}
{{x_{1,t - 1}}}\\
{{x_{2,t - 1}}}
\end{array}} \right] + \left[ {\begin{array}{*{20}{c}}
1\\
0
\end{array}} \right]{u_{1,t}}\\
{y_t} = b{x_{1,t}} + {\varepsilon _t}
\end{array}$$](../examples/econ/win64/CreateTimeVaryingDiffuseStateSpaceModelExample_eq14967989555778478098.png)
в течение последних 24 периодов.
Запишите функцию, которая задает как параметры в params сопоставьте с матрицами модели в пространстве состояний, значениями начального состояния и типом состояния.
% Copyright 2015 The MathWorks, Inc. function [A,B,C,D,Mean0,Cov0,StateType] = diffuseAR2MAParamMap(params,T) %diffuseAR2MAParamMap Time-variant diffuse state-space model parameter %mapping function % % This function maps the vector params to the state-space matrices (A, B, % C, and D) and the type of state (StateType). From periods 1 to T/2, the % state model is an AR(2) and an MA(1) model, and the observation model is % the sum of the two states. From periods T/2 + 1 to T, the state model is % just the AR(2) model. The AR(2) model is diffuse. A1 = {[params(1) params(2) 0 0; 1 0 0 0; 0 0 0 params(3); 0 0 0 0]}; B1 = {[1 0; 0 0; 0 1; 0 1]}; C1 = {params(4)*[1 0 1 0]}; Mean0 = []; Cov0 = []; StateType = [2 2 0 0]; A2 = {[params(1) params(2) 0 0; 1 0 0 0]}; B2 = {[1; 0]}; A3 = {[params(1) params(2); 1 0]}; B3 = {[1; 0]}; C3 = {params(5)*[1 0]}; A = [repmat(A1,T/2,1);A2;repmat(A3,(T-2)/2,1)]; B = [repmat(B1,T/2,1);B2;repmat(B3,(T-2)/2,1)]; C = [repmat(C1,T/2,1);repmat(C3,T/2,1)]; D = 1; end
Сохраните этот код как файл с именем diffuseAR2MAParamMap на вашем пути MATLAB®.
Создайте рассеянную модель в пространстве состояний путем передачи функционального diffuseAR2MAParamMap как указатель на функцию к dssm. Этот пример использует 50 наблюдений.
T = 50; Mdl = dssm(@(params)diffuseAR2MAParamMap(params,T));
dssm неявно создает рассеянную модель в пространстве состояний. Обычно, вы не можете проверить рассеянные модели в пространстве состояний, которые неявно создаются.
dssm содержит неизвестные параметры. Можно симулировать данные и затем оценить параметры с помощью estimate.