В этом примере показано, как преобразовать модель, которая нелинейна из-за Кусочно-постоянного Резистора в коммутируемое линейное создание моделей это совместимый с Simscape к Рабочему процессу HDL.
Simscape к Рабочему процессу HDL поддерживает преобразование переключенных линейных моделей Simscape к функционально эквивалентным моделям Simulink, которые совместимы для генерации HDL-кода. Этот пример использует Кусочно-постоянный Резистор, который является базирующимся событием и должен быть заменен эквивалентными коммутируемыми линейными компонентами. В частности Кусочно-постоянный Резистор содержит события, которые не поддерживаются HDL Workflow Advisor Simscape.
Откройте Модель Simscape™. В командной строке MATLAB®, введите:
nonlinearModel = 'sschdlexVariableResistorExample'; load_system(nonlinearModel) open_system([nonlinearModel,'/Simscape Subsystem'])

Эта модель является схемой RLC с Кусочно-постоянным Резистором, действующим как резистор или 'загрузка'. Для Кусочно-постоянного Резистора отношения между напряжением V и текущий я - V=I*R, где R является численным значением, представленным в порте R физического сигнала.
Чтобы гарантировать положительное значение для сопротивления, любое значение ниже 1e-6 заменяется 1e-6. Этот резистор является Кусочно-постоянным, потому что сопротивление только изменяется, когда входное значение отличается от текущего сопротивления больше, чем допуск набора. Таким образом постоянно вход изменения был бы преобразован в дискретный набор сопротивлений.
В этой модели сигнал, входящий в Кусочно-постоянный Резистор, является ступенчатой функцией, которая изменяется от 2 до 3 в t=0.1, таким образом изменяющем нагрузочное сопротивление от
2 до 3
.

Открыть HDL Workflow Advisor Simscape в командной строке, введите: sschdladvisor (nonlinearModel)
Запустите рабочий процесс к Получить задаче параметров пространства состояний. Эта задача перестала работать из-за присутствия Кусочно-постоянного Резистора.

Чтобы преобразовать эту модель в эквивалентную коммутируемую линейную модель, замените Кусочно-постоянный Резистор на набор переключателей и резисторы для каждого требуемого значения. Открыть коммутируемую линейную версию в командной строке MATLAB®, введите:
switchedLinearModel = 'sschdlexVariableResistorSwitchedLinearExample';
load_system(switchedLinearModel)
open_system(switchedLinearModel)

Кусочно-постоянный Резистор был заменен резистором и переключателем для каждого желаемого сопротивления. Воссоздать поведение нагрузочного сопротивления, которое изменяется от
2 до 3
в t=0.1, два резистора используются, один с сопротивлением 2
и другой с сопротивлением 3
. Путем закрытия и открытия переключателей нагрузочное сопротивление переключается от
2 до 3
.
Переключатели должны быть включены и выключены, чтобы обеспечить правильное нагрузочное сопротивление. Просмотреть управляющие сигналы для переключателей в командной строке MATLAB®, введите:
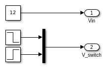
open_system([switchedLinearModel,'/Input'])

Чтобы достигнуть правильного сопротивления, создайте две ступенчатых функции. Один, чтобы открыть переключатель последовательно с 2
резисторами в t=0.1 и другом, чтобы закрыть переключатель последовательно с 3
резисторами одновременно.
Теперь, когда Кусочно-постоянный Резистор был заменен коммутируемыми линейными компонентами, запускают HDL Workflow Advisor Simscape и видят, что все задачи выполнение до завершения.

Путем изменения Кусочно-постоянного Резистора во многие заданные резисторы, которые включают и выключают модель, был изменен на форму, которая совместима с Simscape к рабочему процессу HDL.