Можно ограничить линейные комбинации переменных ввода и вывода объекта. Например, можно ограничить конкретную переменную, которой управляют, (MV) быть больше линейной комбинации двух других MVS.
Общая форма таких ограничений:

Здесь:
слабая переменная QP, используемая для ограничительного смягчения. Для получения дополнительной информации смотрите, что Ограничение Смягчается.
значения переменных, которыми управляют, в технических модулях.
предсказанный объект выходные параметры, в технических модулях.
измеренные входные параметры воздействия объекта, в технических модулях.

, 
и
постоянные матрицы и векторы. Для получения дополнительной информации смотрите setconstraint.
Как с функцией стоимости QP, выходное предсказание с помощью наблюдателя состояния делает эти ограничения функцией переменных решения QP.
Чтобы установить смешанные ограничения ввода/вывода контроллера MPC, используйте setconstraint функция. Чтобы получить существующие ограничения от диспетчера, используйте getconstraint.
При использовании смешанных ограничений ввода/вывода рассмотрите следующее:
Смешанные ограничения ввода/вывода являются размерными по умолчанию.
Обновление во время выполнения смешанных ограничений ввода/вывода поддерживается в командной строке и в Simulink®. Для получения дополнительной информации смотрите Ограничения Обновления во Время выполнения.
Используя смешанный ввод/вывод ограничения не поддерживается в MPC Designer.
Как пример, рассмотрите контроллер MPC для объекта с двойным интегратором со смешанными ограничениями ввода/вывода.
Основная настройка контроллера MPC включает:
Двойной интегратор как модель предсказания
Горизонт предсказания 20
Управляйте горизонтом 20
Входные ограничения: 
plant = tf(1,[1 0 0]); Ts = 0.1; p = 20; m = 20; mpcobj = mpc(plant,Ts,p,m); mpcobj.MV = struct('Min',-1,'Max',1);
-->The "Weights.ManipulatedVariables" property of "mpc" object is empty. Assuming default 0.00000. -->The "Weights.ManipulatedVariablesRate" property of "mpc" object is empty. Assuming default 0.10000. -->The "Weights.OutputVariables" property of "mpc" object is empty. Assuming default 1.00000.
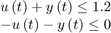
Ограничьте сумму входа u(t) и выход y(t) должно быть неотрицательным и меньшим, чем 1,2:

Чтобы наложить это объединенное (смешанное) ограничение ввода-вывода, сформулируйте его в виде набора включения ограничений неравенства
и
.

Задавать эти ограничения с помощью setconstraint функция, набор ограничительные константы можно следующим образом:
![$$E = \left[ {\begin{array}{*{20}{c}}
1\\
{ - 1}
\end{array}} \right],\;F = \left[ {\begin{array}{*{20}{c}}
1\\
{ - 1}
\end{array}} \right],\;G = \left[ {\begin{array}{*{20}{c}}
{1.2}\\
0
\end{array}} \right]$$](../../examples/mpc/win64/mpcmixedconstraints_eq14304708454108056021.png)
setconstraint(mpcobj,[1;-1],[1;-1],[1.2;0]);
Симулируйте управление с обратной связью линейной модели объекта управления в Simulink. Контроллер mpcobj задан в блоке MPC Controller.
mdl = 'mpc_mixedconstraints';
open_system(mdl)
sim(mdl)
-->Converting the "Model.Plant" property of "mpc" object to state-space. -->Converting model to discrete time. Assuming no disturbance added to measured output channel #1. -->The "Model.Noise" property of the "mpc" object is empty. Assuming white noise on each measured output channel.




Контроллер MPC сохраняет сумму
между 0 и 1.2 при отслеживании опорного сигнала
.
bdclose(mdl)