exponenta event banner

Наборы фильтров

Ортогональный и биоортогональный вейвлет и масштабирующиеся фильтры, поднимаясь

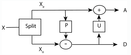
Ортогональные и биоортогональные наборы фильтров являются расположениями lowpass, highpass, и полосовыми фильтрами, которые делят ваши данные на поддиапазоны. Если вы не изменяете поддиапазоны, эти фильтры включают совершенную реконструкцию исходных данных. В большинстве приложений вы обрабатываете данные по-другому в различных поддиапазонах и затем восстанавливаете модифицированную версию исходных данных. Ортогональные наборы фильтров не имеют линейной фазы. Биоортогональные наборы фильтров действительно имеют линейную фазу. Можно задать вейвлет и масштабирующиеся фильтры по номеру исчезающих моментов, который позволяет вам удалять или сохранять полиномиальное поведение в своих данных. Подъем позволяет вам проектировать совершенные наборы фильтров реконструкции с определенными свойствами.

Можно использовать функции Wavelet Toolbox™, чтобы получить и использовать наиболее распространенные ортогональные и биоортогональные фильтры вейвлета. Можно спроектировать собственный совершенный набор фильтров реконструкции через элементарные поднимающиеся шаги. Можно также добавить собственные фильтры вейвлета.

Рекомендуемые примеры