exponenta event banner

Симуляция уровня ссылки

Симуляция систем связи уровня ссылки и аналитические примеры

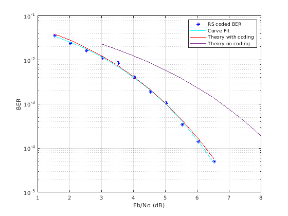
Симулируйте модели уровня ссылки систем связи. Используйте симуляции частоты ошибок по битам, чтобы анализировать отклик системы к шуму и интерференции, свойственной от каналов связи, исследовать гипотетические сценарии и оценить компромиссы между конкурирующими архитектурами системы и параметрами. Физический уровень (PHY) обработка цепи готовит данные, полученные от более высоких слоев для передачи, и восстанавливает передаваемые данные прежде, чем передать его более высоким слоям.

Примеры, представленные в этом разделе, демонстрируют передачу сигнала, сигнал ухудшения сигнала по радио и каналу распространения, приему сигнала, восстановлению данных и анализу эффективности ссылки.

Рекомендуемые примеры