Блоки Читателя Средства записи и Двоичного файла Двоичного файла не поддерживают запись и чтение символов. Как обходное решение, данные о символе броска к одному из встроенных типов данных и записи целочисленные данные. После того, как читатель считывает данные, преобразуйте данные в символ с помощью char функция.
Бросьте символьные данные, 'binary_file' в uint8 использование cast функция.
data = 'binary_file';
Запишите данные броска в файл данных myCharFile.dat.
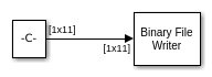
writeModel = 'writeCharData';
open_system(writeModel)
sim(writeModel)

uint8 ДанныеЗадайте читателя, чтобы считать данные броска как uint8 данные.
readModel = 'readCharData';
open_system(readModel)
sim(readModel);

charData = char(readerData);
Проверьте, что данные средства записи - то же самое как данные читателя. По умолчанию читатель возвращает данные в упорядоченном по столбцам формате.
strcmp(data,charData.')
ans = logical 1
To Workspace (Simulink) | Binary File Writer | Binary File Reader | Constant (Simulink)