В этом примере показано, как выполнить идентификацию динамической системы при помощи линейного ARX и нелинейной модели ANFIS.
Набор данных, используемый в этом примере для ANFIS и моделирования ARX, является от преподавателя PT 326 Процесса "Обратной связи" лабораторным устройством [1]. Устройство функционирует как фен: воздух вентилируется через трубу и нагревается во входе. Термопара измеряет температуру воздуха. Вход напряжение по сетке проводов резистора, чтобы нагреть входящий воздух и выход температура воздуха выхода.

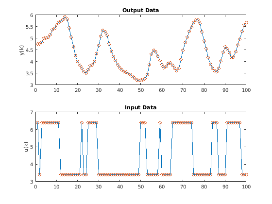
Загрузите тестовые данные и постройте ввод и вывод.
load dryerdata data_n = length(y); output = y; input = [[0; y(1:data_n-1)] ... [0; 0; y(1:data_n-2)] ... [0; 0; 0; y(1:data_n-3)] ... [0; 0; 0; 0; y(1:data_n-4)] ... [0; u(1:data_n-1)] ... [0; 0; u(1:data_n-2)] ... [0; 0; 0; u(1:data_n-3)] ... [0; 0; 0; 0; u(1:data_n-4)] ... [0; 0; 0; 0; 0; u(1:data_n-5)] ... [0; 0; 0; 0; 0; 0; u(1:data_n-6)]]; data = [input output]; data(1:6,:) = []; input_name = ["y(k-1)","y(k-2)","y(k-3)","y(k-4)",... "u(k-1)","u(k-2)","u(k-3)","u(k-4)","u(k-5)","u(k-6)"]; index = 1:100; figure subplot(2,1,1) plot(index,y(index),'-',index,y(index),'o') title('Output Data') ylabel('y(k)') subplot(2,1,2) plot(index,u(index),'-',index,u(index),'o') title('Input Data') ylabel('u(k)')

Точки данных отражают шаг расчета 0,08 секунд. Вход бинарная случайная перемена сигнала между 3,41 и 6.41. Вероятность сдвига входа на каждой выборке 0.2. Набор данных содержит 1 000 точек данных ввода/вывода. Эти графики показывают выходную температуру и входное напряжение для первых 100 временных шагов.
Модель ARX является линейной моделью следующей формы:
Здесь:
и вычтенные из среднего значения версии исходных данных.
и линейные параметры.
, , и три целых числа, которые точно задают модель ARX.
Чтобы найти модель ARX для устройства сушилки, сначала разделите набор данных на обучение ( = 1 - 300) и валидация ( = 301 - 600) набор.
trn_data_n = 300; total_data_n = 600; z = [y u]; z = dtrend(z); ave = mean(y); ze = z(1:trn_data_n,:); zv = z(trn_data_n+1:total_data_n,:); T = 0.08;
Выполните исчерпывающий поиск, чтобы найти лучшую комбинацию , , и , разрешение каждого целого числа измениться от 1 до 10 независимо. Чтобы выполнить поиск и выбрать параметры ARX, используйте arxstruc (System Identification Toolbox) и selstruc (System Identification Toolbox) функции.
% Run through all different models. V = arxstruc(ze,zv,struc(1:10,1:10,1:10)); % Find the best model. nn = selstruc(V,0); % Display model parameters disp(['[m n d] = ' num2str(nn)])
[m n d] = 5 10 2
Лучшая модель ARX имеет = 5, = 10, и = 2. Создайте с учебной среднеквадратической ошибкой (RMSE) 0,1122 и валидация RMSE 0,0749. Постройте оригинал наряду с этой моделью ARX.
Создайте и симулируйте модель ARX этими параметрами.
th = arx(ze,nn); th.Ts = 0.08; u = z(:,2); y = z(:,1) + ave; yp = sim(u,th) + ave;
Постройте модель ARX выход против данных об обучении и валидации. Учебная среднеквадратическая ошибка (RMSE) 0.1121 и валидация, которая RMSE 0.0748.
figure subplot(2,1,1) index = 1:trn_data_n; plot(index,y(index),index,yp(index), '.') rmse = norm(y(index)-yp(index))/sqrt(length(index)); title("Training Data (solid), ARX Prediction (dots)" ... + newline + "RMSE = " + num2str(rmse)) xlabel('Time Steps') subplot(2,1,2) index = (trn_data_n+1):(total_data_n); plot(index,y(index),index,yp(index),'.') rmse = norm(y(index)-yp(index))/sqrt(length(index)); title("Validation Data (solid), ARX Prediction (dots)" ... + newline + "RMSE = " + num2str(rmse)) xlabel('Time Steps')

Модель ARX линейна и может выполнить структуру модели и идентификацию параметра быстро. Эффективность в предыдущих графиках, кажется, является удовлетворительной. Однако, если вы хотите лучшую эффективность, можно попробовать нелинейную модель, такую как адаптивная нейронечеткая система вывода (ANFIS).
Чтобы использовать ANFIS для системы идентификации, сначала определите который переменные использовать для входных параметров. Для простоты используйте 10 входных кандидатов (, , , , , , , , , и Использование как выход.
Выполните последовательный прямой поиск входных параметров с помощью функционального sequentialSearch. Эта функция выбирает каждую входную переменную последовательно, чтобы оптимизировать RMSE.
trn_data_n = 300; trn_data = data(1:trn_data_n,:); val_data = data(trn_data_n+1:trn_data_n+300,:); [~,elapsed_time] = sequentialSearch(3,trn_data,val_data,input_name);
Selecting input 1 ... ANFIS model 1: y(k-1) --> trn=0.2043, val=0.1888 ANFIS model 2: y(k-2) --> trn=0.3819, val=0.3541 ANFIS model 3: y(k-3) --> trn=0.5245, val=0.4903 ANFIS model 4: y(k-4) --> trn=0.6308, val=0.5977 ANFIS model 5: u(k-1) --> trn=0.8271, val=0.8434 ANFIS model 6: u(k-2) --> trn=0.7976, val=0.8087 ANFIS model 7: u(k-3) --> trn=0.7266, val=0.7349 ANFIS model 8: u(k-4) --> trn=0.6215, val=0.6346 ANFIS model 9: u(k-5) --> trn=0.5419, val=0.5650 ANFIS model 10: u(k-6) --> trn=0.5304, val=0.5601 Currently selected inputs: y(k-1) Selecting input 2 ... ANFIS model 11: y(k-1) y(k-2) --> trn=0.1085, val=0.1024 ANFIS model 12: y(k-1) y(k-3) --> trn=0.1339, val=0.1283 ANFIS model 13: y(k-1) y(k-4) --> trn=0.1542, val=0.1461 ANFIS model 14: y(k-1) u(k-1) --> trn=0.1892, val=0.1734 ANFIS model 15: y(k-1) u(k-2) --> trn=0.1663, val=0.1574 ANFIS model 16: y(k-1) u(k-3) --> trn=0.1082, val=0.1077 ANFIS model 17: y(k-1) u(k-4) --> trn=0.0925, val=0.0948 ANFIS model 18: y(k-1) u(k-5) --> trn=0.1533, val=0.1531 ANFIS model 19: y(k-1) u(k-6) --> trn=0.1952, val=0.1853 Currently selected inputs: y(k-1) u(k-4) Selecting input 3 ... ANFIS model 20: y(k-1) u(k-4) y(k-2) --> trn=0.0808, val=0.0822 ANFIS model 21: y(k-1) u(k-4) y(k-3) --> trn=0.0806, val=0.0836 ANFIS model 22: y(k-1) u(k-4) y(k-4) --> trn=0.0817, val=0.0855 ANFIS model 23: y(k-1) u(k-4) u(k-1) --> trn=0.0886, val=0.0912 ANFIS model 24: y(k-1) u(k-4) u(k-2) --> trn=0.0835, val=0.0843 ANFIS model 25: y(k-1) u(k-4) u(k-3) --> trn=0.0609, val=0.0604 ANFIS model 26: y(k-1) u(k-4) u(k-5) --> trn=0.0848, val=0.0867 ANFIS model 27: y(k-1) u(k-4) u(k-6) --> trn=0.0890, val=0.0894 Currently selected inputs: y(k-1) u(k-3) u(k-4)

Этот график показывает все комбинации входных параметров, которые попробовал sequentialSearch. Поиск выбирает , , и как входные параметры, когда модель с этими входными параметрами имеет самый низкий учебный RMSE (0.609) и валидация RMSE (0.604).
В качестве альтернативы используйте исчерпывающий поиск на всех возможных комбинациях входных кандидатов. Как прежде, ищите три входных параметров из этих 10 кандидатов. Можно использовать функциональный exhaustiveSearch для такого поиска; однако, эта функция пробует все возможные комбинации кандидатов, в этом случае.
Вместо exhaustiveSearch, используйте пользовательский код, чтобы перерыть подмножество этих комбинаций. В данном примере не выбирайте входную комбинацию исключительно из входных параметров или исключительно из выходных параметров.
Как разумное предположение, выберите входные комбинации с двумя выходными значениями и одним входным значением, которое производит 36 возможных входных комбинаций. Задайте группы для выбора входных индексов: две группы для выбора выхода и одной группы для выбора входа.
group1 = [1 2 3 4]; % y(k-1), y(k-2), y(k-3), y(k-4) group2 = [1 2 3 4]; % y(k-1), y(k-2), y(k-3), y(k-4) group3 = [5 6 7 8 9 10]; % u(k-1) through u(k-6)
Задайте параметры и опции для обучения.
anfis_n = 6*length(group3); index = zeros(anfis_n,3); trn_error = zeros(anfis_n,1); val_error = zeros(anfis_n,1); % Create option set for generating initial FIS. genOpt = genfisOptions('GridPartition','NumMembershipFunctions',2, ... 'InputMembershipFunctionType','gbellmf'); % Create option set for anfis function and set options that remain % constant for different training scenarios. anfisOpt = anfisOptions('EpochNumber',1,... 'InitialStepSize',0.1,... 'StepSizeDecreaseRate',0.5,... 'StepSizeIncreaseRate',1.5,... 'DisplayANFISInformation',0,... 'DisplayErrorValues',0,... 'DisplayStepSize',0,... 'DisplayFinalResults',0);
Обучите модель ANFIS каждой входной комбинации.
model = 1; for i = 1:length(group1) for j = i+1:length(group2) for k = 1:length(group3) % Create input combinations. in1 = input_name(group1(i)); in2 = input_name(group2(j)); in3 = input_name(group3(k)); index(model, :) = [group1(i) group2(j) group3(k)]; trn_data = data(1:trn_data_n, ... [group1(i) group2(j) group3(k) size(data,2)]); val_data = data(trn_data_n+1:trn_data_n+300, ... [group1(i) group2(j) group3(k) size(data,2)]); % Create the initial FIS structure. in_fis = genfis(trn_data(:,1:end-1),trn_data(:,end),genOpt); % Set the initial FIS and validation data for ANFIS training. anfisOpt.InitialFIS = in_fis; anfisOpt.ValidationData = val_data; % Train the ANFIS system. [~,t_err,~,~,c_err] = anfis(trn_data,anfisOpt); trn_error(model) = min(t_err); val_error(model) = min(c_err); fprintf('ANFIS model = %d: %s %s %s',model,in1,in2,in3); fprintf(' --> trn=%.4f,',trn_error(model)); fprintf(' val=%.4f',val_error(model)); fprintf('\n'); model = model+1; end end end
ANFIS model = 1: y(k-1) y(k-2) u(k-1)
--> trn=0.0990,
val=0.0962
ANFIS model = 2: y(k-1) y(k-2) u(k-2)
--> trn=0.0852,
val=0.0862
ANFIS model = 3: y(k-1) y(k-2) u(k-3)
--> trn=0.0474,
val=0.0485
ANFIS model = 4: y(k-1) y(k-2) u(k-4)
--> trn=0.0808,
val=0.0822
ANFIS model = 5: y(k-1) y(k-2) u(k-5)
--> trn=0.1023,
val=0.0991
ANFIS model = 6: y(k-1) y(k-2) u(k-6)
--> trn=0.1021,
val=0.0974
ANFIS model = 7: y(k-1) y(k-3) u(k-1)
--> trn=0.1231,
val=0.1206
ANFIS model = 8: y(k-1) y(k-3) u(k-2)
--> trn=0.1047,
val=0.1085
ANFIS model = 9: y(k-1) y(k-3) u(k-3)
--> trn=0.0587,
val=0.0626
ANFIS model = 10: y(k-1) y(k-3) u(k-4)
--> trn=0.0806,
val=0.0836
ANFIS model = 11: y(k-1) y(k-3) u(k-5)
--> trn=0.1261,
val=0.1311
ANFIS model = 12: y(k-1) y(k-3) u(k-6)
--> trn=0.1210,
val=0.1151
ANFIS model = 13: y(k-1) y(k-4) u(k-1)
--> trn=0.1420,
val=0.1353
ANFIS model = 14: y(k-1) y(k-4) u(k-2)
--> trn=0.1224,
val=0.1229
ANFIS model = 15: y(k-1) y(k-4) u(k-3)
--> trn=0.0700,
val=0.0765
ANFIS model = 16: y(k-1) y(k-4) u(k-4)
--> trn=0.0817,
val=0.0855
ANFIS model = 17: y(k-1) y(k-4) u(k-5)
--> trn=0.1337,
val=0.1405
ANFIS model = 18: y(k-1) y(k-4) u(k-6)
--> trn=0.1421,
val=0.1333
ANFIS model = 19: y(k-2) y(k-3) u(k-1)
--> trn=0.2393,
val=0.2264
ANFIS model = 20: y(k-2) y(k-3) u(k-2)
--> trn=0.2104,
val=0.2077
ANFIS model = 21: y(k-2) y(k-3) u(k-3)
--> trn=0.1452,
val=0.1497
ANFIS model = 22: y(k-2) y(k-3) u(k-4)
--> trn=0.0958,
val=0.1047
ANFIS model = 23: y(k-2) y(k-3) u(k-5)
--> trn=0.2048,
val=0.2135
ANFIS model = 24: y(k-2) y(k-3) u(k-6)
--> trn=0.2388,
val=0.2326
ANFIS model = 25: y(k-2) y(k-4) u(k-1)
--> trn=0.2756,
val=0.2574
ANFIS model = 26: y(k-2) y(k-4) u(k-2)
--> trn=0.2455,
val=0.2400
ANFIS model = 27: y(k-2) y(k-4) u(k-3)
--> trn=0.1726,
val=0.1797
ANFIS model = 28: y(k-2) y(k-4) u(k-4)
--> trn=0.1074,
val=0.1157
ANFIS model = 29: y(k-2) y(k-4) u(k-5)
--> trn=0.2061,
val=0.2133
ANFIS model = 30: y(k-2) y(k-4) u(k-6)
--> trn=0.2737,
val=0.2836
ANFIS model = 31: y(k-3) y(k-4) u(k-1)
--> trn=0.3842,
val=0.3605
ANFIS model = 32: y(k-3) y(k-4) u(k-2)
--> trn=0.3561,
val=0.3358
ANFIS model = 33: y(k-3) y(k-4) u(k-3)
--> trn=0.2719,
val=0.2714
ANFIS model = 34: y(k-3) y(k-4) u(k-4)
--> trn=0.1763,
val=0.1808
ANFIS model = 35: y(k-3) y(k-4) u(k-5)
--> trn=0.2132,
val=0.2240
ANFIS model = 36: y(k-3) y(k-4) u(k-6)
--> trn=0.3460,
val=0.3601
Постройте ошибки обучения и валидации для каждой входной комбинации в порядке убывания.
% Reorder according to training error. [~, b] = sort(trn_error); b = flipud(b); trn_error = trn_error(b); val_error = val_error(b); index = index(b,:); % Plot training and validation error. x = (1:anfis_n)'; tmp = x(:, ones(1,3))'; X = tmp(:); tmp = [zeros(anfis_n,1) max(trn_error,val_error) nan*ones(anfis_n,1)]'; Y = tmp(:); figure plot(x,trn_error,'-o',x,val_error,'-*',X,Y,'g') title('Error for Corresponding Inputs') ylabel('RMSE') legend('Training','Validation','Location','northeast') % Add ticks and labels. labels = string(zeros(anfis_n,1)); for k = 1:anfis_n labels(k) = input_name(index(k,1))+ " & " + ... input_name(index(k,2))+ " & " + ... input_name(index(k,3)); end xticks(x) xticklabels(labels) xtickangle(90)

Алгоритм выбирает входные параметры , , и с учебным RMSE 0,0474 и валидация RMSE 0,0485. Эти значения RMSE изменяют к лучшему те из моделей ARX и той из модели ANFIS, найденной последовательным прямым поиском.
Вычислите и постройте предсказания ANFIS и для наборов данных обучения и для валидации с помощью выбранной входной комбинации.
Для этого сначала сгенерируйте набор данных.
[~,b] = min(trn_error); input_index = index(b,:); trn_data = data(1:trn_data_n,[input_index, size(data,2)]); val_data = data(trn_data_n+1:600,[input_index, size(data,2)]);
Создайте и обучите ANFIS.
in_fis = genfis(trn_data(:,1:end-1),trn_data(:,end)); anfisOpt = anfisOptions('InitialFIS',in_fis,... 'EpochNumber',1,... 'InitialStepSize',0.01,... 'StepSizeDecreaseRate',0.5,... 'StepSizeIncreaseRate',1.5,... 'ValidationData',val_data); [trn_out_fis,trn_error,step_size,val_out_fis,val_error] = ... anfis(trn_data,anfisOpt);
ANFIS info: Number of nodes: 34 Number of linear parameters: 32 Number of nonlinear parameters: 18 Total number of parameters: 50 Number of training data pairs: 300 Number of checking data pairs: 300 Number of fuzzy rules: 8 Start training ANFIS ... 1 0.0474113 0.0485325 Designated epoch number reached. ANFIS training completed at epoch 1. Minimal training RMSE = 0.0474113 Minimal checking RMSE = 0.0485325
y_hat = evalfis(val_out_fis,data(1:600,input_index)); figure subplot(2,1,1) index = 1:trn_data_n; plot(index,data(index,size(data,2)),'-', ... index,y_hat(index),'.') rmse = norm(y_hat(index)-data(index,size(data,2)))/sqrt(length(index)); title("Training Data (solid), ANFIS Prediction (dots)" ... + newline + "RMSE = " + num2str(rmse)) xlabel('Time Steps') subplot(2,1,2) index = trn_data_n+1:600; plot(index,data(index,size(data,2)),'-',index,y_hat(index),'.') rmse = norm(y_hat(index)-data(index,size(data,2)))/sqrt(length(index)); title("Validation Data (solid), ANFIS Prediction (dots)" ... + newline + "RMSE = " + num2str(rmse)) xlabel('Time Steps')

Предсказания модели ANFIS соответствуют данным намного более тесно, чем предсказания модели ARX.
[1] Ljung, Lennart. System Identification: теория для пользователя. Информация о Prentice Hall и системный научный ряд. Englewood Cliffs, NJ: Prentice Hall, 1987.