В этом примере показано, как смоделировать когенерацию электроэнергии и тепла с помощью гибридной солнечной батареи PV/T. Выработанное тепло передается, чтобы оросить для домашнего потребления.
Это использует блоки из Simscape™ Foundation™, Simscape Electrical™ и библиотек Simscape Fluids™. Электрический фрагмент сети содержит блок Solar Cell, который моделирует набор фотоэлектрических ячеек (PV) и подсистему Загрузки, которая моделирует активную нагрузку. Тепловые сетевые модели теплообмен, который находится между физическими компонентами панели PV (стеклянный колпак, теплообменник, задняя крышка) и среда. Теплом обмениваются посредством проводимости, конвекции и излучения. Тепловая жидкая сеть содержит трубопровод, бак и насосы. Насосы управляют потоками жидкостей через систему.
Чтобы смоделировать отражение, поглощение и передачу света в стеклянном колпаке, оптическая модель встраивается в Функциональный блок MATLAB®.
Откройте модель, чтобы просмотреть ее структуру:
open_system('sscv_hybrid_solar_panel');

Тепловая сеть находится в красном, электрической сети синего цвета и тепловой жидкой сети желтого цвета. Существуют подсистемы для солнечных входных параметров и входных параметров насоса. Существует также подсистема, которая содержит осциллографы для визуализации результатов симуляции. Другая подсистема содержит функцию для оптической модели.
Можно использовать hybrid_solar_panel_data.m скрипт, чтобы изменить значения параметров, которые этот пример использует для компонентов, таких как загрузка, солнечная батарея, трубопровод и бак.
edit sscv_hybrid_solar_panel_data;
Входные параметры модели являются потоками насоса и солнечными переменными для облученности и угла установки. Повторяющийся блок последовательности используется, чтобы задать входные параметры, потому что они следуют за 24-часовым периодическим циклом.
open_system('sscv_hybrid_solar_panel/Solar inputs');

open_system('sscv_hybrid_solar_panel/Pump flow inputs');

Солнце поднимается в 6:00 и наборы в 19:00. Облученность следует за кривой нормального распределения, которая достигает максимума в 12:30. Угол установки изменяется от пи/3 до 0.
Существует три насоса. Одно пользовательское требование моделей насоса, другое исходное предоставление моделей, и третьи модели внутренний поток, который обеспечивает конвекцию в трубопроводе. Спрос является постоянным и только ненулевым с 10:00 до 22:00. Предоставление является постоянным и только ненулевым с 18:00 до 6:00. Внутренний поток является также постоянным и только ненулевым с 6:00 до 22:00. Эта модель используется для внутреннего потока, потому что не эффективно обеспечить теплообмен в течение ночи, когда температура окружающей среды является низкой.
Можно использовать hybrid_solar_panel_plot_inputs.m скрипт, чтобы построить входные параметры:
sscv_hybrid_solar_panel_plot_inputs;


Оптическая модель в подсистеме:
open_system('sscv_hybrid_solar_panel/Optical model');

Это состоит из Функционального блока MATLAB® с 2 солнечными входными параметрами и 3 выходными параметрами: переданная облученность на ячейках PV, тепло, поглощенное стеклом и радиационной степенью, поглощена ячейками PV. Часть его будет преобразована в электроэнергию (V*I), и остальные будут теплом, поглощенным ячейками PV.
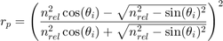
С оптической точки зрения стекло состоит из 2 параллельных контуров (воздушное стекло, стеклянный воздух), каждое из тех отражений и пропускает свет. Отражательный коэффициент в контуре получен из Уравнений Френеля.
для P-поляризации и
для S-поляризации. Общее отражение является средним значением обоих, и коэффициент пропускания -
когда нет никакого поглощения до сих пор:




Это - пример оптического содействующего rp, RS, r и t в функции угла установки:
nrel = 1.52; %Optical index from air to glass theta = linspace(0, pi/2, 100); rp = ( nrel^2*cos(theta) - sqrt(nrel^2 - sin(theta).^2) ).^2./... ( nrel^2*cos(theta) + sqrt( nrel^2 - sin(theta).^2 ) ).^2 ; rs = ( cos(theta) - sqrt(nrel^2 - sin(theta).^2) ).^2./... ( cos(theta) + sqrt( nrel^2 - sin(theta).^2 ) ).^2 ; r = 0.5*(rp + rs); t = 1 - r; figure(); plot(theta*180/pi, rp, 'Color', [0 1 1], 'LineWidth', 1.5); hold on plot(theta*180/pi, rs, 'Color', [0 0.5 1], 'LineWidth', 1.5); plot(theta*180/pi, r, 'Color', [0 0 1], 'LineWidth', 1.5); plot(theta*180/pi, t, 'Color', 'm', 'LineWidth', 1.5); legend('rp','rs','r','t'); xlabel('Incidence angle (deg)'); grid on box on

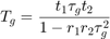
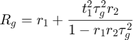
Это - то, что происходит в одном контуре, но стекло имеет 2 параллельных контура, разделенные
. Угол после 1-го контура является углом установки на 2-м контуре и вычисляется из Закона Поводка:

Когда свет вводит стекло, он поглощает часть его с постоянной вероятностью на единицу длины (alpha_g), приведение к экспоненциальному затуханию от расстояния переместилось для коэффициента коэффициента пропускания в стекле:

Затем когда это прибывает в 2-й контур, это отражает и передает снова с Уравнениями Френеля. Отраженный свет захватывается в стекле, отражая бесконечные времена между этими 2 контурами, пока полностью не поглощено. Общее отражение и коэффициенты передачи системы являются затем суммой бесконечного геометрического ряда, для которого результат:



Наконец, общие оптические коэффициенты для стекла:
sscv_hybrid_solar_panel_plot_optics;

Выходные параметры модели являются температурами всех компонентов панели, электрической и тепловой степени и объема в баке.
Можно использовать скрипт hybrid_solar_panel_plot_outputs, чтобы построить решение:
sscv_hybrid_solar_panel_plot_outputs;

От выходных параметров возможно вычислить электрический, тепловой, и общий КПД панели:
sscv_hybrid_solar_panel_efficiency;
****** Efficiency Calculation ********* Total input energy from the sun in the period: 43.7887 kWh Average input energy from the sun per day: 14.5962 kWh/day Total electrical energy supplied to the load: 7.5324 kWh Average electrical energy supplied per day: 2.5108 kWh/day Total absolute thermal energy in the water supplied to the user: 26.4743 kWh Total absolute thermal energy in the water extracted from the source: 16.5049 kWh Total used thermal energy (sink - source): 9.9694 kWh Average used thermal energy per day (sink - source): 3.3231 kWh/day Electrical efficiency: 0.17202 Thermal efficiency: 0.22767 Total efficiency: 0.39969 ***************************************
Электрический КПД находится порядка стандартных ячеек PV, но добавление теплового КПД производство энергии значительно лучше с системным КПД порядка теплоэлектростанции.
Последующий анализ мог использовать Simulink® Design Optimization™ или другие инструменты оптимизации, чтобы найти оптимальные значения для определенных параметров имеющими право на управление, максимизируя общий КПД.
Другое улучшение было бы сложением контроллеров к насосам и электрической нагрузке, для того, чтобы управлять системой к различным рабочим точкам и оптимизировать эффективность.