В этом примере показано, как спроектировать датчик радара с синтезированной апертурой (SAR), действующий в X-полосе, и вычислить параметры датчика. РСА использует движение радарной антенны по целевой области, чтобы обеспечить изображение целевой области. Синтетическая апертура создается, когда перемещения платформы РСА по целевой области, в то время как импульсы переданы и получены от радарной антенны.
Этот пример фокусируется на разработке датчика РСА, чтобы соответствовать набору эксплуатационных параметров. Это обрисовывает в общих чертах шаги, чтобы перевести требования по производительности, такие как разрешение азимута и вероятность обнаружения, в системные параметры РСА, такие как размерность антенны и степень передачи. Это моделирует расчетные параметры для режимов работы центра внимания и stripmap. По сравнению с stripmap операцией режим центра внимания может обеспечить лучшее разрешение и более сильный сигнал от сцены за счет уменьшаемого размера сцены или области уровень обработки изображений. Пример также демонстрирует параметры сигнала щебета азимута.
Схема ниже классифицирует различную систему и эксплуатационные параметры. Этот пример покрывает функции для выбора системных параметров, чтобы соответствовать эксплуатационным параметрам.

![]()
Цель этой бортовой системы РСА состоит в том, чтобы обеспечить изображение целевой области на расстоянии до 10 км от бортовой платформы с областью значений и разрешением азимута 1 м. Платформа действует на высоте 5 км и перемещается в скорость 100 м/с. Желаемые индексы эффективности являются вероятностью обнаружения (Pd) и вероятность ложного предупреждения (PFA). Значение Pd должно быть 0.9 или больше. Значение PFA должно быть меньше 1e-6.
slantrngres = 1; % Required slant range resolution (m) azres = 1; % Required azimuth resolution (m) maxrng = 10e3; % Maximum unambiguous slant range (m) pd = 0.9; % Probability of detection pfa = 1e-6; % Probability of false alarm v = 100; % Velocity (m/s) h = 5000; % Radar altitude (m)
Системные параметры как длина синтетической апертуры, время интегрирования, уровень покрытия, ширина луча для stripmap, а также режимов центра внимания и полосы пропускания сигнала являются основными параметрами, которые задают операционную возможность системы РСА. Эти параметры гарантируют, что система РСА покрывает необходимую область в течение расчетного времени интегрирования с широким лучом. Расчетная полоса пропускания сигнала соответствует желаемому разрешению области значений.
Настройка сигнала
Чтобы вычислить системные параметры РСА, необходимо сначала знать длину волны сигнала распространения, который обратно пропорционально связан, к рабочей частоте системы. В данном примере установите рабочую частоту на 10 ГГц, которая является типичными бортовыми системами РСА.
Используйте freq2wavelen функция, чтобы вычислить длину волны сигнала распространения.
freq = 10e9; % Radar frequency within X-band (Hz) lambda = freq2wavelen(freq) % Wavelength (m)
lambda = 0.0300
Полоса пропускания сигнала сопоставляет с наклонным разрешением области значений РСА, и наклонное разрешение области значений является фактором, должен был отличить две цели, разделенные расстоянием. Наклонное разрешение области значений дает вам, минимальное различие в области значений должно было отличить две цели. Используйте rangeres2bw функция, чтобы вычислить полосу пропускания сигнала, которая определяется наклонным разрешением области значений.
pulse_bw = rangeres2bw(slantrngres) % Pulse bandwidth (Hz)pulse_bw = 149896229
Режим РСА Stripmap
Режим Stripmap SAR принимает фиксированное направление обращения радарной антенны относительно направления движения платформы. Антенна в этом примере указывает на поперечное направление.
Ориентация антенны
Угол депрессии часто используется, чтобы задать направление обращения антенны в вертикальном изменении. Этот пример принимает, что земля является плоской так, чтобы угол депрессии совпал с углом падения.
Используйте grazingang функция, чтобы вычислить угол падения из области значений угла обзора.
grazang = grazingang(h,maxrng,'Flat') % Grazing angle (in degrees)
grazang = 30.0000
Размерность азимута антенны
Затем используйте sarlen и sarazres функции, чтобы анализировать и вычислить синтетическую апертурную длину и ее разрешение азимута для выбора размерности азимута антенны. Постройте синтетическую длину в зависимости от разрешения перекрестной области значений. Постройте размерность азимута антенны в зависимости от синтетической длины.
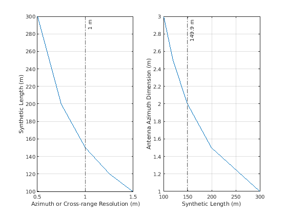
dazv = [1 1.5 2 2.5 3]; % Antenna azimuth dimensions (m) striplenv = zeros(1,numel(dazv)); stripazresv = zeros(1,numel(dazv)); for i=1:numel(dazv) striplenv(i) = sarlen(maxrng,lambda,dazv(i)); stripazresv(i) = sarazres(maxrng,lambda,striplenv(i)); end helperPlotStripmapMode(stripazresv,striplenv,dazv,azres)

Рисунки показывают, что синтетическая апертурная длина 149,9 м для stripmap режима является хорошим значением, чтобы соответствовать необходимому разрешению азимута 1 м. Самая маленькая размерность азимута антенны, которую можно использовать для stripmap режима в этом сценарии, составляет 2 м. Уменьшите размерность азимута антенны, чтобы получить лучшее разрешение азимута, чем 1 м для stripmap режима.
Установите синтетическую апертурную длину на 149,9 м для stripmap режима и размерности азимута антенны 2 м.
daz = 2
daz = 2
striplen = 149.9
striplen = 149.9000
Размерность вертикального изменения антенны
Затем определите размерность вертикального изменения антенны на основе необходимой длины swath. В данном примере примите, что необходимая длина swath составляет 2,4 км.
Используйте aperture2swath функция, чтобы анализировать длину swath для выбора размерности вертикального изменения антенны.
rngswath = 2400; delv = [0.15 0.2 0.25 0.3 0.35]; % Elevation dimensions (m) rangeswathv = zeros(1,numel(delv)); for i=1:numel(delv) [rangeswathv(i),crngswath] = aperture2swath(maxrng,lambda,[delv(i) daz],grazang); end clf plot(rangeswathv,delv) grid on xline(rngswath,'-.',{[num2str(round(rngswath,2)),' m']}); % Selected range swath xlabel('Swath Length (m)') ylabel('Antenna Elevation Dimension (m)')

Фигура указывает, что размерность вертикального изменения антенны 0,25 м является соответствующей, учитывая длину swath 2 400 м.
Установите размерность вертикального изменения антенны на 0,25 м.
del = 0.25
del = 0.2500
Действительная ширина луча антенны и усиление
Используйте ap2beamwidth функция, чтобы вычислить действительную ширину луча антенны.
realAntBeamwidth = ap2beamwidth([daz del],lambda) % [Az El] (deg)realAntBeamwidth = 2×1
0.8588
6.8707
Используйте aperture2gain функция, чтобы вычислить усиление антенны.
antGain = aperture2gain(daz*del, lambda) % dBiantGain = 38.4454
Синтетическая ширина луча, время вычислений и ограничения
Затем используйте sarbeamwidth, sarinttime, sarmaxcovrate, и sarmaxswath функции, чтобы вычислить синтетическую ширину луча, время интегрирования, уровень покрытия области и максимальная длина swath. Заметьте, что ширина луча азимута для системы РСА намного меньше, чем ширина луча азимута для действительного апертурного радара.
stripsynbw = sarbeamwidth(lambda,striplen); % Synthetic beamwidth (degrees) stripinttime = sarinttime(v,striplen); % Integration time (s) stripcovrate = sarmaxcovrate(azres,grazang); % Upper bound on coverage rate (m^2/s) stripswlen = sarmaxswath(v,azres,grazang); % Upper bound on swath length (m) RealAntenna = [realAntBeamwidth(1); NaN; NaN; NaN]; Parameters = ["Synthetic Beamwidth";"Integration Time";"Upper Bound on Swath Length";... "Upper Bound on Area Coverage Rate"]; StripmapSAR = [stripsynbw;stripinttime;round(stripcovrate/1e6,1);round(stripswlen/1e3)]; Units = ["degrees";"s";"km^2/s";"km"]; sarparams = table(Parameters,RealAntenna,StripmapSAR,Units)
sarparams=4×4 table
Parameters RealAntenna StripmapSAR Units
___________________________________ ___________ ___________ _________
"Synthetic Beamwidth" 0.85884 0.0057294 "degrees"
"Integration Time" NaN 1.499 "s"
"Upper Bound on Swath Length" NaN 173.1 "km^2/s"
"Upper Bound on Area Coverage Rate" NaN 1731 "km"
Максимальное возможное разрешение азимута с помощью РСА в этом сценарии составляет 1 м. Однако, чтобы достигнуть этой эффективности, импульсы должны быть интегрированы больше 1,5 с. Верхняя граница на уровне покрытия области равняется 173 /s. Верхняя граница на максимальной длине swath составляет 1 731 км.
Высветите режим РСА
РСА центра внимания способен к расширению РСА возможность обработки изображений к высокому разрешению, отображающему значительно. Это возможно, поскольку режим центра внимания гарантирует, что радарная антенна смотрит искоса мгновенно вокруг области, отображаемой, таким образом, освещая целевую область на более долгое время по сравнению с stripmap режимом.
Когерентный угол интегрирования
Разрешение азимута в stripmap режиме составляет 1 м в этом примере. Разрешение режима центра внимания часто описывается в терминах когерентного угла интегрирования радарного вектора опорного направления, когда платформа пересекает синтетическую апертурную длину.
Используйте sarintang и sarlen функции, чтобы вычислить когерентный угол интегрирования и синтетическую апертурную длину.
ciang = sarintang(lambda,azres) % (degrees)ciang = 0.8589
len = sarlen(maxrng,'CoherentIntegrationAngle',ciang) % (m)
len = 149.8976
Самое лучшее разрешение азимута в stripmap режиме составляет 1 м для размерности азимута антенны 2 м. Используйте ту же размерность азимута антенны 2 м, чтобы получить лучшее разрешение азимута 0,5 м в режиме центра внимания. В режиме центра внимания регулируйте радарный луч, чтобы сохранить цель в в течение более длительного времени и таким образом сформировать более длинную синтетическую апертуру.
Затем используйте sarlen и sarazres функции, чтобы анализировать синтетическую апертурную длину и ее разрешение азимута по различным когерентным углам интегрирования.
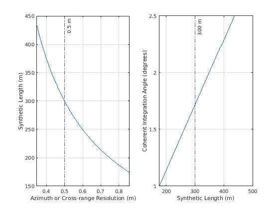
spotazres = 0.5; % Azimuth resolution in spotlight SAR (m) intangv = 1:0.01:2.5; % Coherent integration angles (degrees) spotlenv = zeros(1,numel(intangv)); spotazresv = zeros(1,numel(intangv)); for i=1:numel(intangv) spotlenv(i) = sarlen(maxrng,'CoherentIntegrationAngle',intangv(i)); spotazresv(i) = sarazres(maxrng,lambda,spotlenv(i)); end helperPlotSpotlightMode(spotazresv,spotlenv,intangv,spotazres)

Фигура указывает на это в режиме SAR центра внимания, синтетической апертурной длине 300 м для режима центра внимания, соответствующего разрешению азимута 0,5 м. Для когерентного угла интегрирования 1,71 градусов разрешение азимута в режиме центра внимания составляет 0,5 м. Важно отметить, что уменьшают размерность азимута антенны, чтобы получить подобное разрешение азимута в stripmap режиме.
Установите синтетическую апертурную длину на 300 м и когерентный угол интегрирования до 1,71 градусов для режима центра внимания.
spotlen = 300
spotlen = 300
intang = 1.71
intang = 1.7100
Синтетическая ширина луча, время вычислений и ограничение
По сравнению с stripmap режимом режим центра внимания может обеспечить лучшее разрешение и более сильный сигнал от сцены за счет уменьшаемого размера сцены или области уровень обработки изображений.
Используйте sarbeamwidth, sarinttime, sarmaxcovrate, и sarmaxswath функции, чтобы вычислить синтетическую ширину луча, время интегрирования, уровень покрытия области и максимальная длина swath. Заметьте, что уровень покрытия области и максимальная длина swath для системы РСА центра внимания намного меньше, чем для stripmap режима.
spotsynbw = sarbeamwidth(lambda,spotlen); % Synthetic beamwidth (degrees) spotinttime = sarinttime(v,spotlen); % Integration time (s) spotcovrate = sarmaxcovrate(spotazres,grazang); % Upper bound on coverage rate (m^2/s) spotswlen = sarmaxswath(v,spotazres,grazang); % Upper bound on swath length (m) SpotlightSAR = [spotsynbw;spotinttime;round(spotcovrate/1e6,1);round(spotswlen/1e3)]; sar = table(Parameters,StripmapSAR,SpotlightSAR,Units)
sar=4×4 table
Parameters StripmapSAR SpotlightSAR Units
___________________________________ ___________ ____________ _________
"Synthetic Beamwidth" 0.0057294 0.0028628 "degrees"
"Integration Time" 1.499 3 "s"
"Upper Bound on Swath Length" 173.1 86.5 "km^2/s"
"Upper Bound on Area Coverage Rate" 1731 865 "km"
Определите параметры сигнала щебета азимута, которые являются уровнем щебета азимута, Доплеровской полосой пропускания, излучают коэффициент сжатия и полосу пропускания азимута после dechirp. Можно вывести продукт полосы пропускания времени азимута. Они важны для разработки точного синтетического механизма обработки апертуры в азимуте.
Используйте sarchirprate функция, чтобы вычислить уровень щебета азимута, который является уровнем, на котором частота изменений сигнала азимута, когда датчик освещает рассеиватель.
azchirp = sarchirprate(maxrng,lambda,v); % (Hz/s)Анализируйте чувствительность уровня щебета азимута к области значений и Доплеровским изменениям угла конусности. График показывает, что увеличение однозначной области значений радара уменьшает уровень щебета азимута.
dcang = 60:1:120; % Doppler cone angles (in degrees) rngv = 1e3:100:maxrng; azchirpv = zeros(length(dcang),length(rngv)); for i = 1:length(dcang) azchirpv(i,:) = sarchirprate(rngv,lambda,v,dcang(i)); end clf mesh(rngv/1e3,dcang,azchirpv) xlabel('Range (km)') ylabel('Doppler Cone Angle (degrees)') zlabel('Azimuth Chirp Rate (Hz/s)') view([45 45]);

Используйте sarscenedopbw функция, чтобы вычислить полосу пропускания сцены после азимута dechirping. Примите размер сцены 916 м.
Wa = 916;
bwdechirp = sarscenedopbw(maxrng,lambda,v,Wa); % (Hz)Анализируйте чувствительность полосы пропускания сцены к Доплеровским изменениям угла конусности.
bwdechirpv = zeros(length(dcang),1); for i = 1:length(dcang) bwdechirpv(i,:) = sarscenedopbw(maxrng,lambda,v,Wa,dcang(i)); end clf plot(dcang,bwdechirpv) grid on xlabel('Doppler Cone Angle (degrees)') ylabel('Azimuth Bandwidth after Dechirp (Hz)')

Затем используйте sarpointdopbw и sarbeamcompratio функции, чтобы вычислить Доплеровскую полосу пропускания полученного сигнала от рассеивателя точки и коэффициента сжатия луча. Заметьте, что Доплеровская полоса пропускания и коэффициент сжатия луча для режима SAR центра внимания очень больше для stripmap режима SAR.
% Stripmap SAR Mode stripbwchirp = sarpointdopbw(v,azres); % (Hz) striptbwaz = bwdechirp*stripinttime; % Unitless stripbcr = sarbeamcompratio(maxrng,lambda,striplen,Wa); % Unitless % Spotlight SAR Mode spotbwchirp = sarpointdopbw(v,spotazres); % (Hz) spottbwaz = bwdechirp*spotinttime; % Unitless spotbcr = sarbeamcompratio(maxrng,lambda,spotlen,Wa); % Unitless Parameters = ["Doppler Bandwidth from Point Scatterer";"Azimuth Time-Bandwidth Product";... "Beam Compression Ratio";"Azimuth Chirp Rate";"Azimuth Bandwidth after Dechirp"]; StripmapSAR = [stripbwchirp;striptbwaz;stripbcr;round(azchirp);bwdechirp]; SpotlightSAR = [spotbwchirp;round(spottbwaz);round(spotbcr);round(azchirp);bwdechirp]; Units = ["Hz";"unitless";"unitless";"Hz/s";"Hz"]; r = table(Parameters,StripmapSAR,SpotlightSAR,Units)
r=5×4 table
Parameters StripmapSAR SpotlightSAR Units
________________________________________ ___________ ____________ __________
"Doppler Bandwidth from Point Scatterer" 100 200 "Hz"
"Azimuth Time-Bandwidth Product" 916.02 1833 "unitless"
"Beam Compression Ratio" 916.02 1833 "unitless"
"Azimuth Chirp Rate" 67 67 "Hz/s"
"Azimuth Bandwidth after Dechirp" 611.09 611.09 "Hz"
Оцените пиковую мощность, которая должна быть передана с помощью формы степени основного уравнения радиолокации для stripmap режима SAR. Необходимая пиковая мощность зависит от многих факторов, включая максимальную однозначную область значений, необходимый ОСШ в приемнике и ширину импульса формы волны. Среди этих факторов необходимый ОСШ в приемнике определяется целью проекта для Pd и PFA. Модель и оценка ЭПР цели, PRF и другие источники усиления и потери для радиолокационной системы и ее среды.
ОСШ приемника
Во-первых, вычислите ОСШ, требуемый в приемнике. Отношение между Pd, PFA и ОСШ может быть лучше всего представлено кривой рабочих характеристик получателя (ROC).
snr_db = [-inf, 0, 3, 10, 13]; rocsnr(snr_db);

Кривые ROC показывают, что, чтобы удовлетворить целям проекта PFA = 1e-6 и Pd = 0.9, ОСШ полученного сигнала должен превысить 13 дБ. Можно предположить, что значение ОСШ путем рассмотрения графика, но вычисления только необходимого значения является более прямым. Используя albersheim функционируйте, выведите необходимый ОСШ.
snr_min = albersheim(pd, pfa)
snr_min = 13.1145
ЭПР цели
Используйте landreflectivity функция, чтобы вычислить отражающую способность, которая является нормированной эффективной площадью рассеивания (NRCS) для данного угла падения и рабочей частоты. Затем вычислите ЭПР цели в наземной плоскости изображения с помощью sarSurfaceRCS функция и принятие во внимание радарного разрешения.
landType = "Smooth"; nrcs = landreflectivity(landType,grazang,freq); % Calculate normalized RCS of smooth land with no vegetation tgtrcs = sarSurfaceRCS(nrcs,[slantrngres azres],grazang);
Верхние и более низкие границы PRF
Используйте sarprfbounds функция, чтобы определить минимальные и максимальные значения PRF для swath области значений и разрешения азимута, учитывая радарную скорость и угол падения.
[prfminv, prfmax] = sarprfbounds(v,azres,rngswath,grazang)
prfminv = 100
prfmax = 6.7268e+04
Выбор PRF
PRF обычно программируем и может быть оптимизирован для каждого приложения. Используйте sarprf функция, чтобы вычислить PRF радара на основе радарной скорости и действительной размерности антенны вдоль азимута. Задайте постоянный фактор спада, когда запас прочности, чтобы предотвратить основной лепесток возвращается из искажения в интервале PRF. Если PRF установлен слишком низко, радар страдает от Доплеровских неоднозначностей и пиков лепестков. Если PRF будет установлен слишком высоко, измерения области значений будут неоднозначны.
prf = sarprf(v,daz,'RollOff',1.5)prf = 150
Выбранный PRF в границах PRF.
Обработка усилений
Используйте matchinggain функция, чтобы вычислить усиление по расстоянию из-за шумового сокращения полосы пропускания после согласованного фильтра.
d = 0.05; % 5 percent duty cycle pw = (1/prf)*d; % Effective pulse width (s) rnggain = matchinggain(pw,pulse_bw) % Range processing gain (dB)
rnggain = 46.9867
Используйте sarazgain функция, чтобы вычислить усиление по углу азимута из-за когерентного интегрирования импульсов.
azgain = sarazgain(maxrng,lambda,v,azres,prf); % Az processing gain (dB)Потери и шумовой фактор
Используйте noisefigure функционируйте, чтобы оценить шумовую фигуру каскадных этапов приемника. Примите семь этапов со следующими значениями:
Этап 1 LNA: Шумовая фигура = 1,0 дБ, Усиление = 15.0
Этап 2 Фильтр RF: Шумовая фигура = 0,5 дБ, Усиление =-0.5
Этап 3 Микшер: Шумовая фигура = 5,0 дБ, Усиление =-7.0
Этап 4 Фильтр IF: Шумовая фигура = 1,0 дБ, Усиление =-1.0
Этап 5 Предусилитель IF: Шумовая фигура = 0,6 дБ, Усиление = 15.0
Этап 6 Этапы IF: Шумовая фигура = 1,0 дБ, Усиление = 20.0
Этап 7 Детекторы фазы: Шумовая фигура = 6,0 дБ, Усиление =-5.0
nf = [1.0, 0.5, 5.0, 1.0, 0.6, 1.0, 6.0]; % dB g = [15.0, -0.5, -7.0, -1.0, 15.0, 20.0, -5.0]; % dB cnf = noisefigure(nf, g)
cnf = 1.5252
Используйте radarpropfactor функция, чтобы вычислить односторонний радарный фактор распространения по сглаженной земле.
[hgtsd, beta0, vegType] = landroughness('Smooth'); tgtheight = hgtsd; Re = effearthradius(maxrng,h,tgtheight); propf = radarpropfactor(maxrng,freq,h,tgtheight,'EffectiveEarthradius',Re,'TiltAngle',grazang,... 'ElevationBeamwidth',realAntBeamwidth(2),'SurfaceHeightStandardDeviation',hgtsd,'SurfaceSlope',beta0,... 'VegetationType',vegType)
propf = -0.0042
Используйте tropopl функция, чтобы вычислить потери из-за атмосферного газообразного поглощения.
atmoLoss = tropopl(maxrng,freq,tgtheight,grazang)
atmoLoss = 0.0733
Передайте степень
Используйте radareqsarpow функция, чтобы вычислить пиковую мощность с основным уравнением радиолокации РСА. Можно также задать дополнительные потери и факторы, включая потерю формы луча азимута, потерю окна, потерю передачи, и получить потерю линии. Оцените потерю формы луча с beamloss функция и использование 5 дБ для всех других объединенных постоянных составляющих потерь. Для этого анализа задайте landType как "Smooth"чтобы использовать самую слабую наземную цель. Набор конечных данных ограничения по времени полная энергия, собранная, и обработка сигналов в радаре, увеличивает ОСШ в изображении РСА на два главных фактора усиления. Первое происходит из-за импульсного сжатия, и второе происходит из-за когерентного интегрирования импульсов.
imgsnr = snr_min + rnggain + azgain; % (dB) Lb = beamloss; customLoss = 5; % dB sntemp = systemp(cnf); % Noise Temperature Pt = radareqsarpow(maxrng,lambda,imgsnr,pw,rnggain,azgain,'Gain',antGain,'RCS',tgtrcs,... 'AtmosphericLoss',atmoLoss,'Loss',cnf,'PropagationFactor',propf,... 'Ts',sntemp,'CustomFactor',-Lb-customLoss)
Pt = 535.1030
Этот пример показывает аспекты, которые должны быть вычислены, чтобы спроектировать систему РСА X-полосы, которая может действовать в stripmap и высветить режим. Пример показывает, что та же система РСА может действовать в stripmap, а также высветить режимы и достигнуть различных уровней разрешения в зависимости от требований за счет других параметров. Во-первых, вы анализируете и выбираете размерности антенны, чтобы соответствовать необходимым разрешениям. Затем вы оцениваете усиления антенны, время вычислений, ограничения и параметры сигнала щебета азимута. Затем оцените необходимый ОСШ, ЭПР цели, PRF, обработав прибыли и убытки в радаре и его среде. Наконец, вы используете уравнение SAR, чтобы вычислить пиковую мощность передачи.
Parameters = ["Antenna Dimension in Azimuth";"Antenna Dimension in Elevation";"Synthetic Aperture Length";... "Azimuth Resolution";"Synthetic Beamwidth";"Integration Time";"Upper Bound on Swath Length";... "Upper Bound on Area Coverage Rate";"Coherent Integration Angle";"Doppler Bandwidth from Point Scatterer";... "Azimuth Time-Bandwidth Product";"Beam Compression Ratio";"Azimuth Chirp Rate";"Azimuth Bandwidth after Dechirp"]; Stripmap = [daz;del;striplen;azres;stripsynbw;stripinttime;round(stripcovrate/1e6,1);round(stripswlen/1e3);... NaN;stripbwchirp;striptbwaz;stripbcr;round(azchirp);bwdechirp]; Spotlight = [daz;del;spotlen;spotazres;spotsynbw;spotinttime;round(spotcovrate/1e6,1);round(spotswlen/1e3);... intang;spotbwchirp;round(spottbwaz);round(spotbcr);round(azchirp);bwdechirp]; Units = ["m";"m";"m";"m";"degrees";"s";"km^2/s";"km";"degrees";"Hz";"unitless";... "unitless";"Hz/s";"Hz"]; T = table(Parameters,Stripmap,Spotlight,Units)
T=14×4 table
Parameters Stripmap Spotlight Units
________________________________________ _________ _________ __________
"Antenna Dimension in Azimuth" 2 2 "m"
"Antenna Dimension in Elevation" 0.25 0.25 "m"
"Synthetic Aperture Length" 149.9 300 "m"
"Azimuth Resolution" 1 0.5 "m"
"Synthetic Beamwidth" 0.0057294 0.0028628 "degrees"
"Integration Time" 1.499 3 "s"
"Upper Bound on Swath Length" 173.1 86.5 "km^2/s"
"Upper Bound on Area Coverage Rate" 1731 865 "km"
"Coherent Integration Angle" NaN 1.71 "degrees"
"Doppler Bandwidth from Point Scatterer" 100 200 "Hz"
"Azimuth Time-Bandwidth Product" 916.02 1833 "unitless"
"Beam Compression Ratio" 916.02 1833 "unitless"
"Azimuth Chirp Rate" 67 67 "Hz/s"
"Azimuth Bandwidth after Dechirp" 611.09 611.09 "Hz"
[1] Каррара, Уолтер Г., Рональд М. Майевский и Рон С. Гудмен. Высветите радар с синтезированной апертурой: алгоритмы обработки сигналов. Бостон: дом Artech, 1995.
Вспомогательные Функции
helperPlotStripmapMode
function helperPlotStripmapMode(stripazresv,striplenv,dazv,azres) % Plot azimuth resolution vs. synthetic aperture length subplot(1,2,1) plot(stripazresv,striplenv) grid on xline(azres,'-.',{[num2str(round(azres)),' m']}); % Selected azimuth resolution xlabel('Azimuth or Cross-range Resolution (m)') ylabel('Synthetic Length (m)') stripidx = find(abs(striplenv-150)<1); % Index corresponding to required azimuth resolution % Plot synthetic aperture length vs. antenna azimuth dimensions subplot(1,2,2) plot(striplenv,dazv) grid on xline(striplenv(stripidx),'-.',{[num2str(round(striplenv(stripidx),2)),' m']}); % Selected synthetic length xlabel('Synthetic Length (m)') ylabel('Antenna Azimuth Dimension (m)') end
helperPlotSpotlightMode
function helperPlotSpotlightMode(spotazresv,spotlenv,intangv,spotazres) % Plot azimuth resolution vs. synthetic aperture length subplot(1,2,1) plot(spotazresv,spotlenv) grid on xline(0.5,'-.',{[num2str(round(spotazres,2)),' m']}); % Selected azimuth resolution xlabel('Azimuth or Cross-range Resolution (m)') ylabel('Synthetic Length (m)') spotidx = find(abs(spotlenv-300)<1); % Index corresponding to 0.5 m azimuth resolution % Plot synthetic aperture length vs. coherent integration angles subplot(1,2,2) plot(spotlenv,intangv) grid on xline(spotlenv(spotidx),'-.',{[num2str(round(spotlenv(spotidx))),' m']}); % Selected synthetic length xlabel('Synthetic Length (m)') ylabel('Coherent Integration Angle (degrees)') end