В этом примере показано, как читать, анализируйте, и de-embed данные RF из файла данных Пробного камня.
В этом примере вы создаете sparameters объект путем чтения S-параметров пассивной сети с 2 портами, сохраненной в файле данных формата Пробного камня, passive.s2p.
Считайте данные S-параметра из файла данных. Используйте RF Toolbox™ sparameters команда, чтобы считать файл данных Пробного камня, пассивный элемент s2p. Этот файл содержит S-параметры на 50 Ом на частотах в пределах от от 315 кГц до 6 ГГц. Эта операция создает sparameters объект, S_50, и хранит данные из файла в свойствах объекта.
S_50 = sparameters('passive.s2p');Use sparameters преобразовывать S-параметры на 50 Ом в the sparameters объект, к S-параметрам на 75 Ом и сохраняет их в переменной S_75. Можно легко преобразовать между параметрами, например, для Y-параметров от sparameters возразите используют yparameters и сохраните их в переменной Y.
Znew = 75; S_75 = sparameters(S_50, Znew); Y = yparameters(S_75);
Постройте параметры S11. Используйте smithplot команда, чтобы построить параметры S11 на 75 Ом на Графике Smith®:
smithplot(S_75,1,1)

Просмотрите S-параметры на 75 Ом и Y-параметры на уровне 6 ГГц. Введите следующий набор команд в подсказке MATLAB®, чтобы отобразить S-значения-параметров на 75 Ом с 2 портами и Y-значения-параметров с 2 портами на уровне 6 ГГц.
freq = S_50.Frequencies; f = freq(end)
f = 6.0000e+09
s_6GHz = S_75.Parameters(:,:,end)
s_6GHz = 2×2 complex
-0.0764 - 0.5401i 0.6087 - 0.3018i
0.6094 - 0.3020i -0.1211 - 0.5223i
y_6GHz = Y.Parameters(:,:,end)
y_6GHz = 2×2 complex
0.0210 + 0.0252i -0.0215 - 0.0184i
-0.0215 - 0.0185i 0.0224 + 0.0266i
Для получения дополнительной информации смотрите sparameters, yparameters, smithplot страницы с описанием.
Файл данных Пробного камня samplebjt2.s2p содержит данные S-параметра, собранные от биполярного транзистора в испытательном стенде. Входу фиксатора соединили рельсовый соединитель с контактной площадкой. Выходу фиксатора соединили контактную площадку с рельсовым соединителем.
Настройку биполярного транзистора, который является устройством под тестом (DUT) и фиксатором, показывают в следующем рисунке.

В этом примере вы удаляете эффекты фиксатора и извлекаете S-параметры DUT.
Создайте sparameters объект для измеренных S-параметров путем чтения файла данных Пробного камня samplebjt2.s2p. Затем создайте еще два объекта схемы, один каждый для входной клавиатуры и выведите клавиатуру.
measured_data = sparameters('samplebjt2.s2p'); L_left = inductor(1e-9); C_left = capacitor(100e-15); input_pad = circuit('inputpad'); add(input_pad,[1 2],L_left) add(input_pad,[2 0],C_left) setports(input_pad,[1 0],[2 0]) L_right = inductor(1e-9); C_right = capacitor(100e-15); output_pad = circuit('outputpad'); add(output_pad,[3 0],C_right) add(output_pad,[3 4],L_right) setports(output_pad,[3 0],[4 0])
Анализируйте входную клавиатуру и выведите объекты схемы клавиатуры. Анализируйте объекты схемы на частотах, на которых измеряются S-параметры.
freq = measured_data.Frequencies; input_pad_sparams = sparameters(input_pad,freq); output_pad_sparams = sparameters(output_pad,freq);
Извлеките S-параметры DUT от измеренных S-параметров путем удаления эффектов клавиатур ввода и вывода.
de_embedded_sparams = deembedsparams(measured_data,...
input_pad_sparams, output_pad_sparams); Постройте измеренное и параметры de-embedded S11. Введите следующий набор команд в подсказке MATLAB®, чтобы построить и измеренное и параметры de-embedded S11 на Графике Z Smith®:
figure; smithplot(measured_data,1,1); hold on h = smithplot(de_embedded_sparams,1,1); h.LineStyle = {'-';'--'}; h.ColorOrder = [1 0 0;0 0 1]; h.LegendLabels = {'Measured S11', 'De-embedded S11'};

Постройте измеренное и параметры de-embedded S22. Введите следующий набор команд в подсказке MATLAB®, чтобы построить измеренное и параметры de-embedded S22 на Графике Z Smith®:
figure; smithplot(measured_data,2,2); hold on h = smithplot(de_embedded_sparams,2,2); h.LineStyle = {'-';':'}; h.ColorOrder = [1 0 0;0 0 1]; h.LegendLabels = {'Measured S22', 'De-embedded S22'};

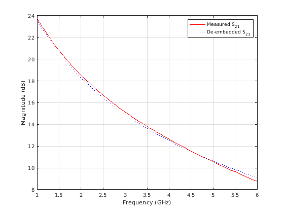
Постройте измеренное и параметры de-embedded S21. Введите следующий набор команд в подсказке MATLAB®, чтобы построить измеренное и параметры de-embedded S21, в децибелах, на плоскости X-Y:
figure rfplot(measured_data,2,1,'db','r'); hold on rfplot(de_embedded_sparams,2,1,'db',':b'); legend('Measured S_{21}', 'De-embedded S_{21}');
