В этом примере показано, как проектировать и анализировать Разветвители С 4 портами.
Разветвители С 4 портами имеют через порт, связанный порт и изолированный порт. Для равных разветвителей разделения степень равномерно разделена между через порт и двойной порт, и идеальный фактор связи составляет 3 дБ. Никакая степень не связывается с изолированным портом. В этом примере вы будете проектировать и анализировать разветвитель Branchline coupler и Ratrace.
Шлейфовый ответвитель является разветвителем на 3 дБ и делит степень одинаково между через и связанные руки. Это также называется Квадратурным Гибридом из-за 90 разности фаз степени в выходных параметрах от до и руки разветвителя. Со всеми соответствующими портами порт ввода степени 1 равномерно разделен между портами 2 и 4 с 90 сдвигами фазы степени между выходными параметрами. Никакая степень не связывается с Портом 3 (изолированный порт).

![]()
Используйте объект couplerBranchline, чтобы создать Шлейфовый ответвитель и визуализировать его.
coupler = couplerBranchline; figure; show(coupler);

Height свойство управляет толщиной подложки для элементов Каталога PCB RF. Изменение свойства Height изменяет толщину подложки.
Измените Height свойство Шлейфового ответвителя к 0,508 мм. Используйте design функционируйте, чтобы спроектировать Шлейфовый ответвитель на уровне 3 ГГц и визуализировать его.
coupler.Height = 0.508e-3; coupler = design(coupler,3e9); figure; show(coupler);

Используйте sparameters функция, чтобы вычислить S-параметры и построить его с помощью rfplot функция.
spar = sparameters(coupler,linspace(1e9,5e9,31)); figure; rfplot(spar);

Как существует 16 кривых в результате, позволяют нам анализировать результат в трех различных частях.
figure; rfplot(spar,1,1); hold on; rfplot(spar,2,2); hold on; rfplot(spar,3,3); hold on; rfplot(spar,4,4); hold off;

Результат показывает, что все порты являются хорошим соответствием на уровне 3 ГГц и значением S11, S22, S33, и S44 близко к-30 дБ.
Анализируйте значения S21, S31 и S41, чтобы изучить поведение Шлейфового ответвителя, когда введенный будет применен, чтобы портировать 1.
figure; rfplot(spar,2,1); hold on; rfplot(spar,3,1); hold on; rfplot(spar,4,1); hold off;

Результат показывает, что степень одинаково разделена между Портом 2 и Портом 4. Порт 3 изолируется.
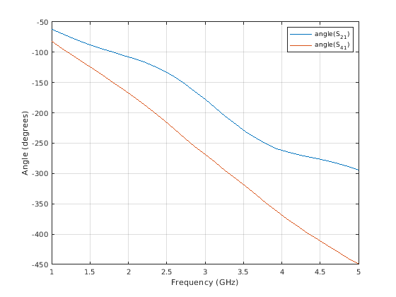
Постройте фазу S21 и S41, чтобы изучить фазу, отличающуюся между выходными портами.
figure,rfplot(spar,2,1,'angle'); hold on rfplot(spar,4,1,'angle'); hold off;

Результат показывает, что разность фаз между выходными портами близко к 90 градусам на частоте проекта. Следовательно, выходные параметры в Порте 2 и Порте 4 не совпадают 90 градусами, когда вход применяется, чтобы Портировать 1.
Анализируйте значения S13, S23 и S43, чтобы изучить поведение Шлейфового ответвителя, когда введенный будет применен, чтобы Портировать 3.
figure; rfplot(spar,2,3); hold on; rfplot(spar,4,3); hold on; rfplot(spar,1,3); hold off;

Результат показывает, что степень одинаково разделена, чтобы Портировать 2 и Порт 4. Порт 1 изолируется.
Постройте фазу S23 и S43, чтобы изучить фазу, отличающуюся между выходными портами.
figure, rfplot(spar,2,3,'angle'); hold on rfplot(spar,4,3,'angle'); hold off;

Результат показывает, что разность фаз между выходными портами близко к 90 градусам на частоте проекта 3 ГГц. Следовательно, когда вход применяется, чтобы Портировать 3, выход в Порте 2 и Порте 4 не совпадает 90 степенями.
Используйте current метод, чтобы визуализировать распределение тока на Шлейфовом ответвителе
figure; current(coupler,3e9);

Разветвитель Ratrace является разветвителем с 4 портами и также называется кольцевым гибридом на 180 градусов, когда выходные порты показывают сдвиг фазы 180 градусов. Со ссылкой на гибрид на 180 градусов, показанный ниже, сигнал, примененный в Порте 3, будет равномерно разделен на два синфазных компонента в Портах 2 и 4. Порт 1 изолируется. Если вход применяется в Порте 1, сигнал одинаково разделен на два компонента с разностью фаз на 180 градусов в Портах 2 и 4. Порт 3 изолируется. Когда управляется как объединитель, с входными сигналами, примененными в Портах 2 и 4, сумма входных параметров формируется в Порте 3, в то время как различие формируется в Порте 1. Следовательно Порт 3 и 1 упоминается как сумма и порты различия соответственно.

![]()
Используйте объект couplerRatrace создать разветвитель Ratrace и визуализировать его.
coupler = couplerRatrace; figure; show(coupler);

Измените свойство Height для разветвителя Ratrace. Используйте функцию проекта, чтобы спроектировать разветвитель Ratrace на уровне 3 ГГц и визуализировать его.
coupler.Height = 0.762e-3; coupler = design(coupler,3e9); figure; show(coupler);

Используйте sparameters функция, чтобы вычислить S-параметры для разветвителя Ratrace и построить его с помощью rfplot функция.
spar = sparameters(coupler,linspace(1e9,5e9,31)); figure; rfplot(spar);

Как существует 16 кривых в результате, позволяют нам анализировать результат в трех различных частях.
figure; rfplot(spar,1,1); hold on; rfplot(spar,2,2); hold on; rfplot(spar,3,3); hold on; rfplot(spar,4,4); hold off;

Результат показывает, что все порты являются хорошим соответствием на уровне 3 ГГц и значениями S11, S22, S33, и S44 выше, чем-30 дБ.
Анализируйте значения S21, S31 и S41, чтобы изучить поведение разветвителя Ratrace, когда введенный будет применен, чтобы портировать 1.
figure; rfplot(spar,2,1); hold on; rfplot(spar,3,1); hold on; rfplot(spar,4,1); hold off;

Результат показывает, что степень одинаково разделена между Портом 2 и Портом 4. Порт 3 изолируется, когда вход применяется, чтобы Портировать 1.
Постройте фазу S21 и S41, чтобы изучить разность фаз между выходными портами.
figure,rfplot(spar,2,1,'angle'); hold on rfplot(spar,4,1,'angle'); hold off;

Результат показывает, что разность фаз между выходными портами близко к 180 градусам на частоте проекта. Следовательно, когда вход применяется в Порте 1, выход в Порте 2 и Порте 4 не совпадает 180 градусами.
Анализируйте значения S23, S43 и S13, чтобы изучить поведение разветвителя Ratrace, когда введенный будет применен, чтобы Портировать 3.
figure; rfplot(spar,2,3); hold on; rfplot(spar,4,3); hold on; rfplot(spar,1,3); hold off;

Результат показывает, что степень одинаково разделена между Портом 2 и Портом 4. Порт 1 изолируется, когда вход применяется, чтобы Портировать 3.
Постройте фазу S23 и S43, чтобы изучить разность фаз между выходными портами.
figure,rfplot(spar,2,3,'angle'); hold on rfplot(spar,4,3,'angle'); hold off;

Результат показывает, что разность фаз между выходными портами близко к 0 градусам на частоте проекта 3 ГГц. Следовательно, когда вход применяется в Порте 3, выход в Порте 2 и Порте 4 находится в фазе.
Используйте current метод, чтобы визуализировать распределение тока на разветвителе Ratrace
figure; current(coupler,3e9);
