Адаптивно настройте усиление для постоянного уровня сигнала вывод
Система comm.AGC object™ создает автоматический контроллер усиления (AGC), который адаптивно настраивает ее усиление, чтобы достигнуть постоянного уровня сигнала при выводе.
Адаптивно настраивать усиление для постоянного уровня сигнала вывод:
Задайте и настройте свой автоматический контроллер усиления объект. Смотрите Конструкцию.
Вызовите step, чтобы адаптивно настроить усиление и достигнуть постоянного уровня сигнала при выводе согласно свойствам comm.AGC. Поведение step характерно для каждого объекта в тулбоксе.
При запуске в R2016b, вместо того, чтобы использовать метод step, чтобы выполнить операцию, заданную Системным объектом, можно вызвать объект с аргументами, как будто это была функция. Например, y = step(obj,x) и y = obj(x) выполняют эквивалентные операции.
H = comm.AGC создает Системный объект AGC, H, который адаптивно настраивает его усиление, чтобы достигнуть постоянного уровня сигнала при выводе.
H = comm.AGC( создает объект AGC, Name,Value)H, с заданным набором свойства Name к заданному Value. Можно задать дополнительные аргументы пары "имя-значение" в любом порядке как (Name1, Value1..., NameN, ValueN).
|
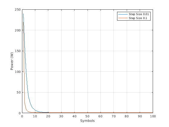
Размер шага для обновлений усиления Задайте размер шага как действительную положительную скалярную величину. Значением по умолчанию является |
|
Целевой уровень выходной мощности Задайте желаемый уровень выходной мощности как действительную положительную скалярную величину. Степень измеряется в Уоттсе, на которого ссылаются к 1 Ому. Значением по умолчанию является |
|
Длина окна усреднения Задайте длину окна усреднения в выборках как положительный целочисленный скаляр. Значением по умолчанию является ПримечаниеЕсли вы используете AGC с сигналами QAM высшего порядка, осматриваете график рассеивания при выводе AGC во время установившейся операции и увеличиваете продолжительность усреднения, если вы видите частые корректировки усиления. Увеличение |
|
Усиление максимальной мощности в децибелах Задайте максимальное усиление AGC в децибелах как положительная скалярная величина. Значением по умолчанию является Большие корректировки усиления могут вызвать усечение, когда маленькая степень входного сигнала внезапно увеличивается. Используйте |
| сброс | Сбросьте внутренние состояния автоматического контроллера усиления |
| шаг | Примените адаптивное усиление к входному сигналу |
| Характерный для всех системных объектов | |
|---|---|
release | Позвольте изменения значения свойства Системного объекта |
Для логарифмического AGC цикла выходной сигнал является продуктом входного сигнала и экспоненциалом усиления цикла. Сигнал ошибки является различием между контрольным уровнем и продуктом логарифма детектора вывод и экспоненциал усиления цикла. После умножения на размер шага AGC передает сигнал ошибки интегратору.
Логарифмический AGC цикла обеспечивает хорошую производительность для множества типов сигнала, включая амплитудную модуляцию. В отличие от предыдущего AGC (R2015a и ранее), детектор применяется к входному сигналу, который приводит к более быстрому времени сходимости и увеличил изменение степени сигнала во входе детектора. Большее изменение не является проблемой для систем с плавающей точкой. Блок-схему алгоритма показывают.

Математически, алгоритм получен в итоге как
где
x представляет входной сигнал.
y представляет выходной сигнал.
g представляет усиление цикла.
D(•) представляет функцию детектора.
z представляет детектор вывод.
A представляет ссылочное значение.
e представляет сигнал ошибки.
K представляет размер шага.
Детектор AGC вывод, z, вычисляет квадратичный детектор:
где N представляет период обновления.
Время атаки — длительность это берет AGC, чтобы ответить на увеличение входной амплитуды.
Время затухания — длительность это берет AGC, чтобы ответить на уменьшение во входной амплитуде.
Получите нагнетание — изменение в значении усиления во время установившейся операции.
Увеличение размера шага уменьшает время атаки и времена затухания, но это также увеличивает нагнетание усиления.