Этот пример показывает, как сгенерировать сценарий управления воздушным движением, моделировать радарные обнаружения от радара наблюдения аэропорта (ASR) и сконфигурировать средство отслеживания глобального самого близкого соседа (GNN), чтобы отследить моделируемые цели с помощью радарных обнаружений. Это позволяет вам оценить различные целевые сценарии, радарные требования и настройки средства отслеживания, не нуждаясь в доступе к дорогостоящему самолету или оборудованию. Этот пример покрывает целый синтетический рабочий процесс данных.
Моделируйте башню управления воздушным движением (ATC) и движение целей в сценарии как платформы. Симуляция движения платформ в сценарии управляема trackingScenario.
Создайте trackingScenario и добавьте башню ATC в сценарий.
% Create tracking scenario scenario = trackingScenario; % Add a stationary platform to model the ATC tower tower = platform(scenario);
Добавьте радар наблюдения аэропорта (ASR) в башню ATC. Типичная башня ATC имеет смонтированные 15 метров радара над землей. Этот радар сканирует механически в азимуте по фиксированной процентной ставке, чтобы предоставить 360 страховых защит степени около башни ATC. Перечислены общие спецификации для ASR:
Чувствительность: 0 dBsm 111 км
Механическое Сканирование: Азимут только
Механическая частота развертки: 12,5 об/мин
Электронное сканирование: 'none'
Поле зрения: азимут на 1,4 градуса, повышение на 10 градусов
Разрешение азимута: 1,4 градуса
Разрешение области значений: 135 м
Смоделируйте ASR с указанными выше техническими условиями с помощью monostaticRadarSensor.
rpm = 12.5; fov = [1.4;10]; scanrate = rpm*360/60; % deg/s updaterate = scanrate/fov(1); % Hz radar = monostaticRadarSensor(1, 'Rotator', ... 'UpdateRate', updaterate, ... % Hz 'FieldOfView', fov, ... % [az;el] deg 'MaxMechanicalScanRate', scanrate, ... % deg/sec 'AzimuthResolution', fov(1), ... % deg 'ReferenceRange', 111e3, ... % m 'ReferenceRCS', 0, ... % dBsm 'RangeResolution', 135, ... % m 'HasINS', true, ... 'DetectionCoordinates', 'Scenario'); % Mount radar at the top of the tower radar.MountingLocation = [0 0 -15]; tower.Sensors = radar;
Наклоните радар так, чтобы он рассмотрел область, начинающуюся в 2 градусах выше горизонта. Для этого включите повышение и установите механические пределы сканирования, чтобы охватить поле зрения повышения радара, начинающееся в 2 градусах выше горизонта. Поскольку trackingScenario использует Северо-восток вниз (NED) координатный кадр, отрицательные повышения соответствуют точкам выше горизонта.
% Enable elevation scanning radar.HasElevation = true; % Set mechanical elevation scan to begin at 2 degrees above the horizon elFov = fov(2); tilt = 2; % deg radar.MechanicalScanLimits(2,:) = [-fov(2) 0]-tilt; % deg
Установите поле зрения повышения быть немного больше, чем повышение, заполненное пределами сканирования. Это предотвращает растровое сканирование в повышении и наклоняет радар, чтобы указать посреди пределов сканирования повышения.
radar.FieldOfView(2) = elFov+1e-3;
Область значений моделей monostaticRadarSensor и повышение смещают из-за атмосферного преломления. Эти смещения становятся более явными на более низких высотах и для целей в больших расстояниях. Поскольку индекс изменений преломления (уменьшения) с высотой, радарные сигналы распространяют вдоль изогнутого контура. Это приводит к радарным целям наблюдения на высотах, которые выше, чем их истинная высота и в областях значений вне их области значений угла обзора.
Добавьте три авиалайнера в секторе управления ATC. Один авиалайнер приближается к ATC с большого расстояния, другой отбывает, и третье летит тангенциальный в башню. Смоделируйте движение этих авиалайнеров на 60-секундном интервале.
trackingScenario использует Северо-восток вниз (NED) координатный кадр. При определении waypoints для авиалайнеров ниже, z-координата соответствует вниз, таким образом, высоты над землей установлены в отрицательные величины.
% Duration of scenario sceneDuration = 60; % s % Inbound airliner ht = 3e3; spd = 900*1e3/3600; % m/s wp = [-5e3 -40e3 -ht;-5e3 -40e3+spd*sceneDuration -ht]; traj = waypointTrajectory('Waypoints',wp,'TimeOfArrival',[0 sceneDuration]); platform(scenario,'Trajectory', traj); % Outbound airliner ht = 4e3; spd = 700*1e3/3600; % m/s wp = [20e3 10e3 -ht;20e3+spd*sceneDuration 10e3 -ht]; traj = waypointTrajectory('Waypoints',wp,'TimeOfArrival',[0 sceneDuration]); platform(scenario,'Trajectory', traj); % Tangential airliner ht = 4e3; spd = 300*1e3/3600; % m/s wp = [-20e3 -spd*sceneDuration/2 -ht;-20e3 spd*sceneDuration/2 -ht]; traj = waypointTrajectory('Waypoints',wp,'TimeOfArrival',[0 sceneDuration]); platform(scenario,'Trajectory', traj); % Create a display to show the true, measured, and tracked positions of the % airliners. [theater,fig] = helperATCExample('Create Display',scenario,tower,radar); helperATCExample('Update Display',theater,scenario,tower,radar);

Создайте trackerGNN, чтобы сформировать дорожки из радарных обнаружений, сгенерированных от этих трех авиалайнеров. Обновите средство отслеживания с обнаружениями, сгенерированными после завершения полных 360 сканирований степени в азимуте.
Средство отслеживания использует функцию поддерживающего initFilter, чтобы инициализировать расширенный Фильтр Калмана постоянной скорости для каждого нового трека. initFilter изменяет фильтр, возвращенный initcvekf, чтобы совпадать с целевыми скоростями и интервалом обновления средства отслеживания.
tracker = trackerGNN( ... 'Assignment', 'Auction', ... 'AssignmentThreshold',50, ... 'FilterInitializationFcn',@initFilter);
Следующий цикл совершенствует положения платформы, пока конец сценария не был достигнут. Для каждого шага вперед в сценарии радар генерирует обнаружения от целей в его поле зрения. Средство отслеживания обновляется с этими обнаружениями после того, как радар завершил 360 сканирований степени в азимуте.
% Set simulation to advance at the update rate of the radar scenario.UpdateRate = radar.UpdateRate; % Create a buffer to collect the detections from a full scan of the radar scanBuffer = {}; % Initialize the track array tracks = []; % Set random seed for repeatable results rng(2018) while advance(scenario) && ishghandle(fig) % Current simulation time simTime = scenario.SimulationTime; % Target poses in the ATC's coordinate frame targets = targetPoses(tower); % Use the tower's true position as its INS measurement ins = pose(tower, 'true'); % Generate detections on target's in the radar's current field of view [dets,~,config] = radar(targets,ins,simTime); scanBuffer = [scanBuffer;dets]; %#ok<AGROW> % Update tracks when a 360 degree scan is complete if config.IsScanDone % Update tracker tracks = tracker(scanBuffer,simTime); % Clear scan buffer for next scan scanBuffer = {}; elseif isLocked(tracker) % Predict tracks to the current simulation time tracks = predictTracksToTime(tracker,'confirmed',simTime); end % Update display with current beam position, buffered detections, and % track positions helperATCExample('Take Snapshots',fig,scenario,config); helperATCExample('Update Display',theater,scenario,tower,radar,scanBuffer,tracks); helperATCExample('Take Snapshots',fig,scenario,config); end helperATCExample('Take Snapshots',fig,scenario,config);

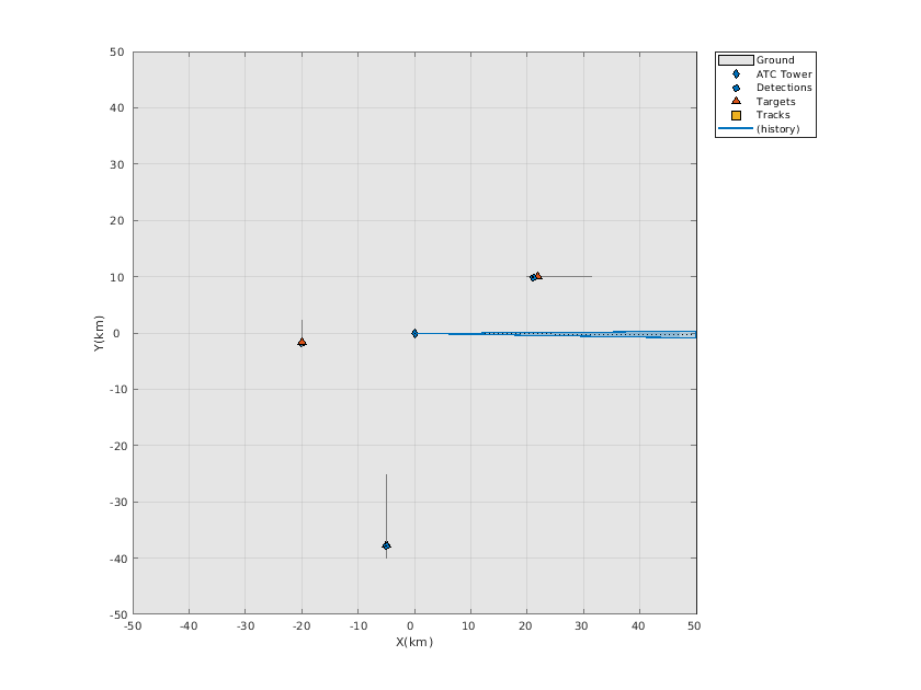
Используйте helperATCExample, чтобы показать первый снимок состояния, взятый при завершении второго сканирования радара.
helperATCExample('Show Snapshots',1);

Предыдущие данные показывают сценарий в конце вторых 360 сканирований степени радара. Радарные обнаружения, показавшие синими точками, присутствуют для каждого из моделируемых авиалайнеров. На данном этапе средство отслеживания было уже обновлено одним полным сканированием радара. Внутренне, средство отслеживания инициализировало дорожки для каждого из авиалайнеров. Эти дорожки покажут после обновления после этого сканирования, когда дорожки будут продвинуты на подтвержденный, удовлетворяя требование подтверждения средства отслеживания 2 хитов из 3 обновлений.
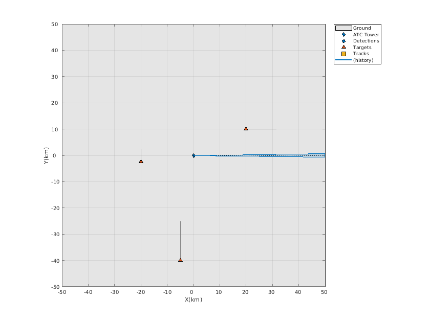
Следующие два снимка состояния показывают отслеживание исходящего авиалайнера.
helperATCExample('Show Snapshots',[2 3]);


Предыдущие данные показывают изображение дорожки прежде (слева) и сразу после (справа) обновления средства отслеживания после второго сканирования радара. Обнаружение в фигуре слева используется, чтобы обновить и подтвердить инициализированную дорожку от обнаружения предыдущего сканирования для этого авиалайнера. Данные справа показывают положение и скорость подтвержденной дорожки. Предполагаемая скорость дорожки обозначается расширением черной линии от местоположения дорожки. Неуверенность в оценке положения дорожки показывается серым эллипсом. Только после двух обнаружений средство отслеживания установило точную оценку положения и скорости исходящего авиалайнера. Истинная высота авиалайнера составляет 4 км, и она перемещается на восток на уровне 700 км/час.
helperATCExample('Show Snapshots',[4 5]);


Состояние дорожки исходящего авиалайнера курсируется в конец третьего сканирования и показывается в фигуре выше слева наряду с новым обнаружением для авиалайнера. Заметьте, как неуверенность дорожки выросла, поскольку она была обновлена в предыдущей фигуре. Дорожку после того, как это было обновлено с обнаружением, показывают в фигуре справа. Вы замечаете, что неуверенность в положении дорожки уменьшается после обновления. Неуверенность дорожки растет между обновлениями и уменьшается каждый раз, когда она обновляется с новым измерением. Вы также замечаете, что после третьего обновления, дорожка находится сверх истинного положения авиалайнера.
helperATCExample('Show Snapshots',6);

Итоговые данные показывают состояние дорожек всех трех авиалайнеров в конце сценария. Существует точно одна дорожка для каждого из этих трех авиалайнеров. Те же номера дорожек присвоены каждому из авиалайнеров на целое время сценария, указав, что ни одна из этих дорожек не была пропущена во время сценария. Предполагаемые дорожки тесно совпадают с истинным положением и скоростью авиалайнеров.
truthTrackTable = tabulateData(scenario, tracks) %#ok<NOPTS>
truthTrackTable =
3x4 table
TrackID Altitude Heading Speed
True Estimated True Estimated True Estimated
_______ _________________ _________________ _________________
"T1" 4000 4119 90 90 700 701
"T2" 4000 4029 0 359 300 285
"T3" 3000 3082 0 359 900 890
Визуализируйте дорожки в 3D, чтобы получить лучший смысл предполагаемых высот.
axis square
view(50,10)
xlim([-25 35])
ylim([-40 20])
zlim([-6 0])

Постройте долготу широты каждого положения дорожки в географические оси с помощью geoplot. Можно использовать функцию ned2geodetic от Mapping Toolbox™, чтобы преобразовать положения дорожки от Декартовых координат NED до геодезических координат. Широта и долгота всех дорожек хранятся в файле ATCExample.mat.
helperATCExample('geoPlotTracks','ATCExample.mat');

Этот пример показывает, как сгенерировать сценарий управления воздушным движением, моделировать радарные обнаружения от радара наблюдения аэропорта (ASR) и сконфигурировать средство отслеживания глобального самого близкого соседа (GNN), чтобы отследить моделируемые цели с помощью радарных обнаружений. В этом примере вы изучили, как основанная на истории логика средства отслеживания продвигает дорожки. Вы также изучили, как неуверенность дорожки растет, когда дорожка курсируется и уменьшается, когда дорожка обновляется новым обнаружением.
initFilter
Эта функция изменяет функциональный initcvekf, чтобы обработать более высокие скоростные цели, такие как авиалайнеры в сценарии ATC.
function filter = initFilter(detection) filter = initcvekf(detection); classToUse = class(filter.StateCovariance); % Airliners can move at speeds around 900 km/h. The velocity is % initialized to 0, but will need to be able to quickly adapt to % aircraft moving at these speeds. Use 900 km/h as 1 standard deviation % for the initialized track's velocity noise. spd = 900*1e3/3600; % m/s velCov = cast(spd^2,classToUse); cov = filter.StateCovariance; cov(2,2) = velCov; cov(4,4) = velCov; filter.StateCovariance = cov; % Set filter's process noise to match filter's update rate scaleAccelHorz = cast(1,classToUse); scaleAccelVert = cast(1,classToUse); Q = blkdiag(scaleAccelHorz^2, scaleAccelHorz^2, scaleAccelVert^2); filter.ProcessNoise = Q; end
tabulateData
Эта функция возвращает таблицу, сравнивающую наземную истину и дорожки
function truthTrackTable = tabulateData(scenario, tracks) % Process truth data platforms = scenario.Platforms(2:end); % Platform 1 is the radar numPlats = numel(platforms); trueAlt = zeros(numPlats,1); trueSpd = zeros(numPlats,1); trueHea = zeros(numPlats,1); for i = 1:numPlats traj = platforms{i}.Trajectory; waypoints = waypointInfo(traj); times = waypoints.TimeOfArrival; waypoints = waypoints.Waypoints; trueAlt(i) = -waypoints(end,3); trueVel = (waypoints(end,:) - waypoints(end-1,:)) / (times(end)-times(end-1)); trueSpd(i) = norm(trueVel) * 3600 / 1000; % Convert to km/h trueHea(i) = atan2d(trueVel(1),trueVel(2)); end trueHea = mod(trueHea,360); % Associate tracks with targets atts = [tracks.ObjectAttributes]; tgtInds = [atts.TargetIndex]; % Process tracks assuming a constant velocity model numTrks = numel(tracks); estAlt = zeros(numTrks,1); estSpd = zeros(numTrks,1); estHea = zeros(numTrks,1); truthTrack = zeros(numTrks,7); for i = 1:numTrks estAlt(i) = -round(tracks(i).State(5)); estSpd(i) = round(norm(tracks(i).State(2:2:6)) * 3600 / 1000); % Convert to km/h; estHea(i) = round(atan2d(tracks(i).State(2),tracks(i).State(4))); estHea(i) = mod(estHea(i),360); platID = tgtInds(i); platInd = platID - 1; truthTrack(i,:) = [tracks(i).TrackID, trueAlt(platInd), estAlt(i), trueHea(platInd), estHea(i), ... trueSpd(platInd), estSpd(i)]; end % Organize the data in a table names = {'TrackID','TrueAlt','EstimatedAlt','TrueHea','EstimatedHea','TrueSpd','EstimatedSpd'}; truthTrackTable = array2table(truthTrack,'VariableNames',names); truthTrackTable = mergevars(truthTrackTable, (6:7), 'NewVariableName', 'Speed', 'MergeAsTable', true); truthTrackTable.(6).Properties.VariableNames = {'True','Estimated'}; truthTrackTable = mergevars(truthTrackTable, (4:5), 'NewVariableName', 'Heading', 'MergeAsTable', true); truthTrackTable.(4).Properties.VariableNames = {'True','Estimated'}; truthTrackTable = mergevars(truthTrackTable, (2:3), 'NewVariableName', 'Altitude', 'MergeAsTable', true); truthTrackTable.(2).Properties.VariableNames = {'True','Estimated'}; truthTrackTable.TrackID = "T" + string(truthTrackTable.TrackID); end