exponenta event banner

gaspl

Затухание сигнала РФ из-за атмосферных газов

Синтаксис

L = gaspl(range,freq,T,P,den)

Описание

пример

L = gaspl(range,freq,T,P,den) возвращает затухание, L, когда сигналы распространяют через атмосферу. range представляет длину пути прохождения сигнала, и freq представляет несущую частоту сигнала. T представляет температуру окружающей среды, P представляет атмосферное давление, и den представляет атмосферную плотность водяного пара.

Функция gaspl применяет Международный союз электросвязи (ITU) атмосферная газовая модель [1] затухания, чтобы вычислить потерю пути для сигналов, в основном, из-за кислорода и водяного пара. Модель вычисляет затухание как функцию температуры окружающей среды, давления, плотности водяного пара и частоты сигнала. Функция требует, чтобы путь прохождения сигнала содержался полностью в универсальной среде. Атмосферные параметры не отличаются вдоль пути прохождения сигнала. Модель затухания применяется только для частот на уровне 1-1000 ГГц.

Примеры

свернуть все

Вычислите спектр затухания из 1 до 1 000 ГГц для атмосферного давления 101 300 кПа и температуры 15C. Постройте спектр для плотности водяного пара 7,5 g/m3 и затем постройте спектр для сухого воздуха (нулевая плотность водяного пара).

Установите частоты затухания.

freq = [1:1000]*1e9;

Примите 1-километровое расстояние пути.

R = 1000.0;

Вычислите затухание для воздуха, содержащего водяной пар.

T = 15;
P = 101300.0;
W = 7.5;
L = gaspl(R,freq,T,P,W);

Вычислите затухание для сухого воздуха.

L0 = gaspl(R,freq,T,P,0.0);

Постройте затухания.

semilogy(freq/1e9,L)
hold on
semilogy(freq/1e9,L0)
grid
xlabel('Frequency (GHz)')
ylabel('Specific Attenuation (dB)')
hold off

Во-первых, постройте определенное затухание атмосферных газов для частот от 1 ГГц до 1 000 ГГц. Примите уровень моря сухое давление воздуха 101.325e5 кПа и плотность водяного пара 7,5 g/m3. Температура воздуха 20C. Определенное затухание задано как потеря дБ на километр. Затем постройте фактическое затухание на уровне 10 ГГц для промежутка областей значений.

Постройте определенное атмосферное газовое затухание

Установите температуру атмосферы, давление, плотность водяного пара.

T = 20.0;
Patm = 101.325e3;
rho_wv = 7.5;

Установите расстояние распространения, скорость света и частоты.

km = 1000.0;
c = physconst('LightSpeed');
freqs = [1:1000]*1e9;

Вычислите и постройте атмосферную газовую потерю.

loss = gaspl(km,freqs,T,Patm,rho_wv);
semilogy(freqs/1e9,loss)
grid on
xlabel('Frequency (GHz)')
ylabel('Specific Attenuation (dB/km)')

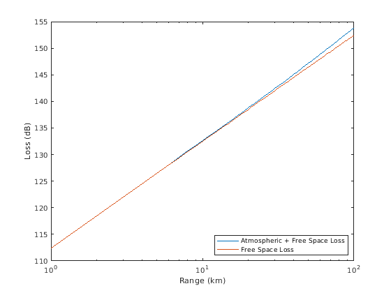
Постройте фактическое затухание атмосферного и свободного пространства

Вычислите и потерю свободного пространства и атмосферную газовую потерю на уровне 10 ГГц для диапазонов от 1 до 100 км. Частота соответствует радару X-полосы. Затем постройте потерю свободного пространства и общее количество (атмосферный + свободное пространство) потеря.

ranges = [1:100]*1000;
freq_xband = 10e9;
loss_gas = gaspl(ranges,freq_xband,T,Patm,rho_wv);
lambda = c/freq_xband;
loss_fsp = fspl(ranges,lambda);
semilogx(ranges/1000,loss_gas + loss_fsp.',ranges/1000,loss_fsp)
legend('Atmospheric + Free Space Loss','Free Space Loss','Location','SouthEast')
xlabel('Range (km)')
ylabel('Loss (dB)')

Входные параметры

свернуть все

Длина пути прохождения сигнала раньше вычисляла затухание, заданное как неотрицательный скаляр с действительным знаком или вектор. Можно задать длины разнообразного пути одновременно. Модули исчисляются в метрах.

Пример: [13000.0,14000.0]

Частота сигнала, заданная как положительный скаляр с действительным знаком, или как N-by-1 неотрицательный вектор с действительным знаком или 1 N неотрицательным вектором с действительным знаком. Можно задать несколько частот одновременно. Частоты должны лечь в области значений 1-1000 ГГц. Модули находятся в герц.

Пример: [1.4e9,2.0e9]

Температура окружающей среды, заданная как скаляр с действительным знаком. Модули в градусах Цельсия.

Пример: -10.0

Сухое давление воздуха, заданное как положительный скаляр с действительным знаком. Модули находятся в Pa. Одна стандартная атмосфера на уровне моря составляет 101 325 Па.

Пример: 101300.0

Плотность водяного пара или абсолютная влажность, заданная как неотрицательный скаляр с действительным знаком. Модули являются g/m3. Максимальная плотность водяного пара воздуха на уровне 30 ° C является приблизительно 30,0 g/m3. Максимальная плотность водяного пара воздуха в 0°C является приблизительно 5,0 g/m3.

Пример: 4.0

Выходные аргументы

свернуть все

Затухание сигнала, возвращенное как M с действительным знаком-by-N матрица. Каждая строка матрицы представляет различный путь, где M является количеством путей. Каждый столбец представляет различную частоту, где N является количеством частот. Модули находятся в дБ.

Больше о

свернуть все

Атмосферная газовая модель затухания

Эта модель вычисляет затухание сигналов, которые распространяют через атмосферные газы.

Электромагнитные сигналы затухают, когда они распространяют через атмосферу. Этот эффект должен, в основном, к строкам резонанса поглощения кислорода и водяного пара с меньшими вкладами, поступающими из газа азота. Модель также включает непрерывный спектр поглощения ниже 10 ГГц. Рекомендация модели ITU ITU-R P.676-10: Затухание атмосферными газами используется. Модель вычисляет определенное затухание (затухание на километр) как функция температуры, давления, плотности водяного пара и частоты сигнала. Атмосферная газовая модель допустима для частот от 1-1000 ГГц и применяется к поляризованным и неполяризованным полям.

Формула для определенного затухания на каждой частоте

γ=γo(f)+γw(f)=0.1820fN(f).

Количество N"() является мнимой частью комплексного атмосферного явления преломления и состоит из спектрального компонента строки и непрерывного компонента:

N(f)=iSiFi+ND(f)

Спектральный компонент состоит из суммы дискретных условий спектра, состоявших из локализованной функции пропускной способности частоты, F(f) i, умноженный на спектральную силу строки, S i. Для атмосферного кислорода каждая спектральная сила строки

Si=a1×107(300T)3exp[a2(1(300T)]P.

Для атмосферного водяного пара каждая спектральная сила строки

Si=b1×101(300T)3.5exp[b2(1(300T)]W.

P является сухим давлением воздуха, W является парциальным давлением водяного пара, и T является температурой окружающей среды. Единицы давления находятся в гектопаскалях (гПа), и температурой является в градусах Келвин. Парциальное давление водяного пара, W, связано с плотностью водяного пара, ρ,

W=ρT216.7.

Общим атмосферным давлением является P + W.

Для каждой кислородной строки Si зависит от двух параметров, a1 и a2. Точно так же каждая строка водяного пара зависит от двух параметров, b1 и b2. Документация ITU, процитированная в конце этого раздела, содержит табулирование этих параметров как функции частоты.

Локализованные функции пропускной способности частоты Fi(f) являются сложными функциями частоты, описанной в ссылках ITU, процитированных ниже. Функции зависят от эмпирических параметров модели, которые также сведены в таблицу в ссылке.

Чтобы вычислить общее затухание для узкополосных сигналов вдоль пути, функция умножает определенное затухание на длину пути, R. Затем общим затуханием является Lg= R(γo + γw).

Можно применить модель затухания к широкополосным сигналам. Во-первых, разделите широкополосный сигнал на поддиапазоны частоты и примените затухание к каждому поддиапазону. Затем суммируйте все ослабленные сигналы поддиапазона в общий ослабленный сигнал.

Ссылки

[1] Сектор радиосвязи Международного союза электросвязи. Рекомендация ITU-R P.676-10: Затухание атмосферными газами 2013.

Расширенные возможности

Смотрите также

| | | |

Введенный в R2016a