Этот пример показывает, как использовать модель Simulink, чтобы сгенерировать отказ и здоровые данные. Данные используются, чтобы разработать классификатор мультикласса, чтобы обнаружить различные комбинации отказов. Пример использует тройную модель поршневого насоса и включает утечку, блокирование и перенос отказов.
Этот пример использует много вспомогательных файлов, которые хранятся в zip-файле. Разархивируйте файл, чтобы получить доступ к вспомогательным файлам, загрузить параметры модели и создать библиотеку поршневого насоса.
if ~exist('+mech_hydro_forcesPS','dir') unzip('pdmRecipPump_supportingfiles.zip') end % Load Parameters pdmRecipPump_Parameters %Pump CAT_Pump_1051_DataFile_imported %CAD % Create Simscape library if needed if exist('mech_hydro_forcesPS_Lib','file')~=4 ssc_build mech_hydro_forcesPS end
Поршневой насос состоит из электродвигателя, корпуса насоса, кривошипа насоса и поршней насоса.
mdl = 'pdmRecipPump';
open_system(mdl)
open_system([mdl,'/Pump'])
Модель насоса сконфигурирована, чтобы смоделировать три типа отказов; цилиндрические утечки, блокированное входное отверстие и увеличенное трение переноса. Эти отказы параметризованы как переменные рабочей области и сконфигурированы через диалоговое окно блока насоса.

Поскольку каждый из трех типов отказа создает массив значений, которые представляют серьезность отказа, в пределах ни от какого отказа к значительному отказу.
% Define fault parameter variations numParValues = 10; leak_area_set_factor = linspace(0.00,0.036,numParValues); leak_area_set = leak_area_set_factor*TRP_Par.Check_Valve.In.Max_Area; leak_area_set = max(leak_area_set,1e-9); % Leakage area cannot be 0 blockinfactor_set = linspace(0.8,0.53,numParValues); bearingfactor_set = linspace(0,6e-4,numParValues);
Модель насоса сконфигурирована, чтобы включать шум, таким образом запущение модели с теми же значениями параметров отказа приведет к различной симуляции выходные параметры. Это полезно для разработки классификатора, когда это означает, что может быть несколько результатов симуляции для того же условия отказа и серьезности. Чтобы конфигурировать моделирование для таких результатов, создайте векторы значений параметров отказа, где значения не представляют отказов, одиночного отказа, комбинаций двух отказов и комбинаций трех отказов. Для каждой группы (никакой отказ, одиночный отказ, и т.д.) создают 125 комбинаций значений отказа от значений параметров отказа, заданных выше. Это дает в общей сложности 1 000 комбинаций значений параметров отказа.
nPerGroup = 125; % Number of elements in each fault group % No fault simulations leakArea = repmat(leak_area_set(1),nPerGroup,1); blockingFactor = repmat(blockinfactor_set(1),nPerGroup,1); bearingFactor = repmat(bearingfactor_set(1),nPerGroup,1); % Single fault simulations idx = ceil(10*rand(nPerGroup,1)); leakArea = [leakArea; leak_area_set(idx)']; blockingFactor = [blockingFactor;repmat(blockinfactor_set(1),nPerGroup,1)]; bearingFactor = [bearingFactor;repmat(bearingfactor_set(1),nPerGroup,1)]; idx = ceil(10*rand(nPerGroup,1)); leakArea = [leakArea; repmat(leak_area_set(1),nPerGroup,1)]; blockingFactor = [blockingFactor;blockinfactor_set(idx)']; bearingFactor = [bearingFactor;repmat(bearingfactor_set(1),nPerGroup,1)]; idx = ceil(10*rand(nPerGroup,1)); leakArea = [leakArea; repmat(leak_area_set(1),nPerGroup,1)]; blockingFactor = [blockingFactor;repmat(blockinfactor_set(1),nPerGroup,1)]; bearingFactor = [bearingFactor;bearingfactor_set(idx)']; % Double fault simulations idxA = ceil(10*rand(nPerGroup,1)); idxB = ceil(10*rand(nPerGroup,1)); leakArea = [leakArea; leak_area_set(idxA)']; blockingFactor = [blockingFactor;blockinfactor_set(idxB)']; bearingFactor = [bearingFactor;repmat(bearingfactor_set(1),nPerGroup,1)]; idxA = ceil(10*rand(nPerGroup,1)); idxB = ceil(10*rand(nPerGroup,1)); leakArea = [leakArea; leak_area_set(idxA)']; blockingFactor = [blockingFactor;repmat(blockinfactor_set(1),nPerGroup,1)]; bearingFactor = [bearingFactor;bearingfactor_set(idxB)']; idxA = ceil(10*rand(nPerGroup,1)); idxB = ceil(10*rand(nPerGroup,1)); leakArea = [leakArea; repmat(leak_area_set(1),nPerGroup,1)]; blockingFactor = [blockingFactor;blockinfactor_set(idxA)']; bearingFactor = [bearingFactor;bearingfactor_set(idxB)']; % Triple fault simulations idxA = ceil(10*rand(nPerGroup,1)); idxB = ceil(10*rand(nPerGroup,1)); idxC = ceil(10*rand(nPerGroup,1)); leakArea = [leakArea; leak_area_set(idxA)']; blockingFactor = [blockingFactor;blockinfactor_set(idxB)']; bearingFactor = [bearingFactor;bearingfactor_set(idxC)'];
Используйте комбинации параметра отказа, чтобы создать объекты Simulink.SimulationInput. Для каждой симуляции вход гарантирует, что случайный seed собирается по-другому сгенерировать различные результаты.
for ct = numel(leakArea):-1:1 simInput(ct) = Simulink.SimulationInput(mdl); simInput(ct) = setVariable(simInput(ct),'leak_cyl_area_WKSP',leakArea(ct)); simInput(ct) = setVariable(simInput(ct),'block_in_factor_WKSP',blockingFactor(ct)); simInput(ct) = setVariable(simInput(ct),'bearing_fault_frict_WKSP',bearingFactor(ct)); simInput(ct) = setVariable(simInput(ct),'noise_seed_offset_WKSP',ct-1); end
Используйте функцию generateSimulationEnsemble, чтобы запустить симуляции, заданные объектами Simulink.SimulationInput, заданными выше и сохранить результаты в локальной подпапке. Затем создайте simulationEnsembleDatastore из сохраненных результатов.
Обратите внимание на то, что выполнение этих 1 000 симуляций в параллельных взятиях приблизительно час на стандартном рабочем столе и генерирует приблизительно 620 МБ данных. Возможность, чтобы только запустить первые 10 симуляций предоставляется для удобства.
% Run the simulation and create an ensemble to manage the simulation results runAll = true; if runAll [ok,e] = generateSimulationEnsemble(simInput,fullfile('.','Data'),'UseParallel',true); else [ok,e] = generateSimulationEnsemble(simInput(1:10),fullfile('.','Data')); %#ok<UNRCH> end
[09-Apr-2018 09:01:38] Checking for availability of parallel pool... [09-Apr-2018 09:01:38] Loading Simulink on parallel workers... Analyzing and transferring files to the workers ...done. [09-Apr-2018 09:01:38] Configuring simulation cache folder on parallel workers... [09-Apr-2018 09:01:38] Running SetupFcn on parallel workers... [09-Apr-2018 09:01:39] Loading model on parallel workers... [09-Apr-2018 09:01:39] Transferring base workspace variables used in the model to parallel workers... [09-Apr-2018 09:01:41] Running simulations... [09-Apr-2018 09:02:28] Completed 1 of 1000 simulation runs [09-Apr-2018 09:02:33] Completed 2 of 1000 simulation runs [09-Apr-2018 09:02:37] Completed 3 of 1000 simulation runs [09-Apr-2018 09:02:41] Completed 4 of 1000 simulation runs [09-Apr-2018 09:02:46] Completed 5 of 1000 simulation runs [09-Apr-2018 09:02:49] Completed 6 of 1000 simulation runs [09-Apr-2018 09:02:54] Completed 7 of 1000 simulation runs [09-Apr-2018 09:02:58] Completed 8 of 1000 simulation runs [09-Apr-2018 09:03:01] Completed 9 of 1000 simulation runs...
ens = simulationEnsembleDatastore(fullfile('.','Data'));
Модель сконфигурирована, чтобы регистрировать давление выхода насоса, вывести поток, частоту вращения двигателя и моторный ток.
ens.DataVariables
ans = 8×1 string array
"SimulationInput"
"SimulationMetadata"
"iMotor_meas"
"pIn_meas"
"pOut_meas"
"qIn_meas"
"qOut_meas"
"wMotor_meas"
Поскольку каждый участник в ансамбле предварительно обрабатывает выход насоса, текут и вычисляют индикаторы состояния на основе потока выхода насоса. Индикаторы состояния позже используются для классификации отказов. Поскольку предварительная обработка удаляет первые 0,8 секунды выходного потока, когда это содержит переходные процессы от запуска насоса и симуляции. Как часть предварительной обработки вычисляют спектр мощности выходного потока и используют SimulationInput, чтобы возвратить значения переменных отказа.
Сконфигурируйте ансамбль так, чтобы возвраты только для чтения, переменные интереса и вызывают функцию preprocess, которая задана в конце этого примера.
ens.SelectedVariables = ["qOut_meas", "SimulationInput"]; reset(ens) data = read(ens)
data=1×2 table
qOut_meas SimulationInput
__________________ ______________________________
[2001×1 timetable] [1×1 Simulink.SimulationInput]
[flow,flowP,flowF,faultValues] = preprocess(data);
Постройте спектр потока и поток. Отображенные на графике данные являются для отказа свободным условием.
% Figure with nominal subplot(211); plot(flow.Time,flow.Data); subplot(212); semilogx(flowF,pow2db(flowP)); xlabel('Hz')

Спектр потока показывает резонирующий peaks на ожидаемых частотах. А именно, скорость электродвигателя насоса составляет 950 об/мин или 15,833 Гц, и поскольку насос имеет 3 цилиндра, поток, как ожидают, будет иметь основной принцип на уровне 3*15.833 Гц или 47,5 Гц, а также гармоники во множителях 47,5 Гц. Спектр потока ясно показывает ожидаемый резонирующий peaks. Отказы в одном цилиндре насоса приведут к резонансам на скорости электродвигателя насоса, 15,833 Гц и ее гармониках.
Спектр потока и медленный сигнал дают некоторое представление о возможных индикаторах состояния. А именно, общая статистика сигнала, такая как среднее значение, отклонение, и т.д. а также характеристики спектра. Вычисляются индикаторы состояния спектра, относящиеся к ожидаемым гармоникам, таким как частота с пиковым значением, энергия приблизительно 15,833 Гц, энергия приблизительно 47,5 Гц, энергия выше 100 Гц. Частота спектрального пика эксцесса также вычисляется.
Сконфигурируйте ансамбль с переменными данных для индикаторов состояния и условными переменными для значений переменных отказа. Затем вызовите функцию extractCI, чтобы вычислить функции и использовать команду writeToLastMemberRead, чтобы добавить опцию и дать сбой значения переменных ансамблю. Функция extractCI задана в конце этого примера.
ens.DataVariables = [ens.DataVariables; ... "fPeak"; "pLow"; "pMid"; "pHigh"; "pKurtosis"; ... "qMean"; "qVar"; "qSkewness"; "qKurtosis"; ... "qPeak2Peak"; "qCrest"; "qRMS"; "qMAD"; "qCSRange"]; ens.ConditionVariables = ["LeakFault","BlockingFault","BearingFault"]; feat = extractCI(flow,flowP,flowF); dataToWrite = [faultValues, feat]; writeToLastMemberRead(ens,dataToWrite{:})
Вышеупомянутый код предварительно обрабатывает и вычисляет индикаторы состояния для первого члена ансамбля симуляции. Повторите это для всех участников в ансамбле, использующем ансамбль команда hasdata. Чтобы понять результаты симуляции при различных условиях отказа строят каждый сотый элемент ансамбля.
%Figure with nominal and faults figure, subplot(211); lFlow = plot(flow.Time,flow.Data,'LineWidth',2); subplot(212); lFlowP = semilogx(flowF,pow2db(flowP),'LineWidth',2); xlabel('Hz') ct = 1; lColors = get(lFlow.Parent,'ColorOrder'); lIdx = 2; % Loop over all members in the ensemble, preprocess % and compute the features for each member while hasdata(ens) % Read member data data = read(ens); % Preprocess and extract features from the member data [flow,flowP,flowF,faultValues] = preprocess(data); feat = extractCI(flow,flowP,flowF); % Add the extracted feature values to the member data dataToWrite = [faultValues, feat]; writeToLastMemberRead(ens,dataToWrite{:}) % Plot member signal and spectrum for every 100th member if mod(ct,100) == 0 line('Parent',lFlow.Parent,'XData',flow.Time,'YData',flow.Data, ... 'Color', lColors(lIdx,:)); line('Parent',lFlowP.Parent,'XData',flowF,'YData',pow2db(flowP), ... 'Color', lColors(lIdx,:)); if lIdx == size(lColors,1) lIdx = 1; else lIdx = lIdx+1; end end ct = ct + 1; end

Обратите внимание на то, что при различных условиях отказа и строгом обращении спектр содержит гармоники на ожидаемых частотах.
Предварительно обработанные и вычисленные индикаторы состояния предыдущего раздела от потока сигнализируют для всех членов ансамбля симуляции, которые соответствуют результатам симуляции для различных комбинаций отказа и строгого обращения. Индикаторы состояния могут использоваться, чтобы обнаружить и классифицировать отказы насоса от сигнала потока насоса.
Сконфигурируйте ансамбль симуляции, чтобы считать индикаторы состояния, и использовать высокое и собрать команды, чтобы загрузить все индикаторы состояния и дать сбой значения переменных в память
% Get data to design a classifier. reset(ens) ens.SelectedVariables = [... "fPeak","pLow","pMid","pHigh","pKurtosis",... "qMean","qVar","qSkewness","qKurtosis",... "qPeak2Peak","qCrest","qRMS","qMAD","qCSRange",... "LeakFault","BlockingFault","BearingFault"]; idxLastFeature = 14; % Load the condition indicator data into memory data = gather(tall(ens));
Starting parallel pool (parpool) using the 'local' profile ...
Preserving jobs with IDs: 1 2 because they contain crash dump files.
You can use 'delete(myCluster.Jobs)' to remove all jobs created with profile local. To create 'myCluster' use 'myCluster = parcluster('local')'.
connected to 6 workers.
Evaluating tall expression using the Parallel Pool 'local':
- Pass 1 of 1: Completed in 45 sec
Evaluation completed in 45 sec
data(1:10,:)
ans=10×17 table
fPeak pLow pMid pHigh pKurtosis qMean qVar qSkewness qKurtosis qPeak2Peak qCrest qRMS qMAD qCSRange LeakFault BlockingFault BearingFault
______ _______ ______ ______ _________ ______ ______ _________ _________ __________ ______ ______ ______ ________ _________ _____________ ____________
43.909 0.86472 117.63 18.874 276.49 35.572 7.5242 -0.72832 2.7738 13.835 1.1494 35.677 2.2326 42690 1e-09 0.8 0
43.909 0.44477 125.92 18.899 12.417 35.576 7.869 -0.7094 2.6338 13.335 1.1449 35.686 2.3204 42697 1e-09 0.8 0
43.909 1.1782 137.99 17.526 11.589 35.573 7.4367 -0.72208 2.7136 12.641 1.1395 35.678 2.2407 42695 1e-09 0.8 0
44.151 156.74 173.84 21.073 199.5 33.768 12.466 -0.30256 2.4782 17.446 1.2138 33.952 2.8582 40518 2.4e-06 0.8 0
43.848 0.71756 110.92 18.579 197.02 35.563 7.5781 -0.72377 2.793 14.14 1.1504 35.669 2.2671 42682 1e-09 0.8 0
43.909 0.43673 119.56 20.003 11.589 35.57 7.5028 -0.74797 2.7913 13.833 1.1551 35.676 2.2442 42689 1e-09 0.8 0
43.788 0.31617 135.3 19.724 476.82 35.568 7.4406 -0.70964 2.6884 14.685 1.1473 35.673 2.2392 42687 1e-09 0.8 0
43.848 0.72747 121.63 19.733 11.589 35.523 7.791 -0.72736 2.7864 14.043 1.1469 35.633 2.2722 42633 1e-09 0.8 0
43.848 0.62777 128.85 19.244 11.589 35.541 7.5698 -0.6953 2.6942 13.451 1.1415 35.647 2.2603 42654 1e-09 0.8 0
43.848 0.4631 134.83 18.918 12.417 35.561 7.8607 -0.68417 2.6664 13.885 1.1504 35.671 2.3078 42681 1e-09 0.8 0
Значения переменных отказа для каждого члена ансамбля (строка в таблице данных) могут быть преобразованы во флаги отказа и флаги отказа, объединенные к одному флагу, который получает различное состояние отказа каждого участника.
% Convert the fault variable values to flags
data.LeakFlag = data.LeakFault > 1e-6;
data.BlockingFlag = data.BlockingFault < 0.8;
data.BearingFlag = data.BearingFault > 0;
data.CombinedFlag = data.LeakFlag+2*data.BlockingFlag+4*data.BearingFlag;Создайте классификатор, который берет в качестве входа индикаторы состояния и возвращает объединенный флаг отказа. Обучите машину вектора поддержки, которая использует 2-е ядро полинома порядка. Используйте команду cvpartition, чтобы разделить членов ансамбля в набор для обучения и набор для валидации.
rng('default') % for reproducibility predictors = data(:,1:idxLastFeature); response = data.CombinedFlag; cvp = cvpartition(size(predictors,1),'KFold',5); % Create and train the classifier template = templateSVM(... 'KernelFunction', 'polynomial', ... 'PolynomialOrder', 2, ... 'KernelScale', 'auto', ... 'BoxConstraint', 1, ... 'Standardize', true); combinedClassifier = fitcecoc(... predictors(cvp.training(1),:), ... response(cvp.training(1),:), ... 'Learners', template, ... 'Coding', 'onevsone', ... 'ClassNames', [0; 1; 2; 3; 4; 5; 6; 7]);
Проверяйте производительность обученного классификатора с помощью данных о валидации и постройте результаты на графике беспорядка.
% Check performance by computing and plotting the confusion matrix actualValue = response(cvp.test(1),:); predictedValue = predict(combinedClassifier, predictors(cvp.test(1),:)); confdata = confusionmat(actualValue,predictedValue); figure, labels = {'None', 'Leak','Blocking', 'Leak & Blocking', 'Bearing', ... 'Bearing & Leak', 'Bearing & Blocking', 'All'}; h = heatmap(confdata, ... 'YLabel', 'Actual leak fault', ... 'YDisplayLabels', labels, ... 'XLabel', 'Predicted fault', ... 'XDisplayLabels', labels, ... 'ColorbarVisible','off');

График беспорядка показывает для каждой комбинации отказов число раз, комбинация отказа была правильно предсказана (диагональные элементы графика) и число раз, комбинация отказа была неправильно предсказана (недиагональные записи).
График беспорядка показывает, что классификатор правильно не классифицировал некоторые условия отказа (от диагональных терминов). Однако никакое условие отказа не было правильно предсказано. В нескольких местах не было предсказано никакое условие отказа, когда был отказ (первый столбец), в противном случае отказ был предсказан несмотря на то, что это не может быть точно правильное условие отказа. В целом точность валидации составляла 84% и точность при предсказании, что существует отказ 98%.
% Compute the overall accuracy of the classifier
sum(diag(confdata))/sum(confdata(:))ans = 0.6150
% Compute the accuracy of the classifier at predicting % that there is a fault 1-sum(confdata(2:end,1))/sum(confdata(:))
ans = 0.9450
Исследуйте случаи, где никакой отказ не был предсказан, но отказ действительно существовал. Сначала найдите случаи в данных о валидации, где фактический отказ был блокирующимся отказом, но никакой отказ не был предсказан.
vData = data(cvp.test(1),:); b1 = (actualValue==2) & (predictedValue==0); fData = vData(b1,15:17)
fData=11×3 table
LeakFault BlockingFault BearingFault
_________ _____________ ____________
1e-09 0.77 0
1e-09 0.77 0
1e-09 0.71 0
1e-09 0.77 0
1e-09 0.77 0
1e-09 0.62 0
1e-09 0.77 0
1e-09 0.77 0
1e-09 0.71 0
8e-07 0.74 0
1e-09 0.74 0
Найдите случаи в данных о валидации, где фактический отказ был отказом переноса, но никакой отказ не был предсказан.
b2 = (actualValue==4) & (predictedValue==0); vData(b2,15:17)
ans = 0×3 empty table
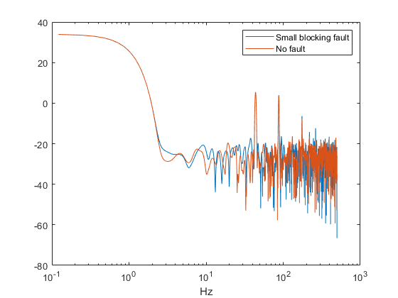
При исследовании случаев, где никакой отказ не был прогнозирующим, но действительно существовал отказ, показывает, что они происходят, когда блокирующееся значение отказа 0,77 близко к его номинальной стоимости 0,8, или значение отказа переноса 6.6e-5 близко к его номинальной стоимости 0. Графический вывод спектра для случая с маленьким значением отказа блокирования и сравнения с отказом, свободное условие показывает, что спектры являются очень похожим трудным обнаружением создания. Переквалификация классификатора, но включая блокирующееся значение 0,77 как не дает сбой, условие значительно улучшало бы производительность детектора отказа. Также использование дополнительных измерений насоса могло предоставить больше информации и улучшить способность обнаружить маленькие отказы блокирования.
% Configure the ensemble to only read the flow and fault variable values ens.SelectedVariables = ["qOut_meas","LeakFault","BlockingFault","BearingFault"]; reset(ens) % Load the ensemble member data into memory data = gather(tall(ens));
Evaluating tall expression using the Parallel Pool 'local': - Pass 1 of 1: Completed in 38 sec Evaluation completed in 38 sec
% Look for the member that was incorrectly predicted, and % compute its power spectrum idx = ... data.BlockingFault == fData.BlockingFault(1) & ... data.LeakFault == fData.LeakFault(1) & ... data.BearingFault == fData.BearingFault(1); flow1 = data(idx,1); flow1 = flow1.qOut_meas{1}; [flow1P,flow1F] = pspectrum(flow1); % Look for a member that does not have any faults idx = ... data.BlockingFault == 0.8 & ... data.LeakFault == 1e-9 & ... data.BearingFault == 0; flow2 = data(idx,1); flow2 = flow2.qOut_meas{1}; [flow2P,flow2F] = pspectrum(flow2); % Plot the power spectra semilogx(... flow1F,pow2db(flow1P),... flow2F,pow2db(flow2P)); xlabel('Hz') legend('Small blocking fault','No fault')

Этот пример показал, как использовать модель Simulink для образцовых отказов в поршневом насосе, моделировать модель под различными комбинациями отказа и строгим обращением, индикаторы состояния извлечения от выхода насоса текут и используют индикаторы состояния, чтобы обучить классификатор обнаруживать отказы насоса. Пример исследовал производительность обнаружения отказа с помощью классификатора и отметил, что маленькие отказы блокирования не очень похожи ни на какое условие отказа и не могут быть надежно обнаружены.
function [flow,flowSpectrum,flowFrequencies,faultValues] = preprocess(data) % Helper function to preprocess the logged reciprocating pump data. % Remove the 1st 0.8 seconds of the flow signal tMin = seconds(0.8); flow = data.qOut_meas{1}; flow = flow(flow.Time >= tMin,:); flow.Time = flow.Time - flow.Time(1); % Ensure the flow is sampled at a uniform sample rate flow = retime(flow,'regular','linear','TimeStep',seconds(1e-3)); % Remove the mean from the flow and compute the flow spectrum fA = flow; fA.Data = fA.Data - mean(fA.Data); [flowSpectrum,flowFrequencies] = pspectrum(fA,'FrequencyLimits',[2 250]); % Find the values of the fault variables from the SimulationInput simin = data.SimulationInput{1}; vars = {simin.Variables.Name}; idx = strcmp(vars,'leak_cyl_area_WKSP'); LeakFault = simin.Variables(idx).Value; idx = strcmp(vars,'block_in_factor_WKSP'); BlockingFault = simin.Variables(idx).Value; idx = strcmp(vars,'bearing_fault_frict_WKSP'); BearingFault = simin.Variables(idx).Value; % Collect the fault values in a cell array faultValues = {... 'LeakFault', LeakFault, ... 'BlockingFault', BlockingFault, ... 'BearingFault', BearingFault}; end function ci = extractCI(flow,flowP,flowF) % Helper function to extract condition indicators from the flow signal % and spectrum. % Find the frequency of the peak magnitude in the power spectrum. pMax = max(flowP); fPeak = flowF(flowP==pMax); % Compute the power in the low frequency range 10-20 Hz. fRange = flowF >= 10 & flowF <= 20; pLow = sum(flowP(fRange)); % Compute the power in the mid frequency range 40-60 Hz. fRange = flowF >= 40 & flowF <= 60; pMid = sum(flowP(fRange)); % Compute the power in the high frequency range >100 Hz. fRange = flowF >= 100; pHigh = sum(flowP(fRange)); % Find the frequency of the spectral kurtosis peak [pKur,fKur] = pkurtosis(flow); pKur = fKur(pKur == max(pKur)); % Compute the flow cumulative sum range. csFlow = cumsum(flow.Data); csFlowRange = max(csFlow)-min(csFlow); % Collect the feature and feature values in a cell array. % Add flow statistic (mean, variance, etc.) and common signal % characteristics (rms, peak2peak, etc.) to the cell array. ci = {... 'qMean', mean(flow.Data), ... 'qVar', var(flow.Data), ... 'qSkewness', skewness(flow.Data), ... 'qKurtosis', kurtosis(flow.Data), ... 'qPeak2Peak', peak2peak(flow.Data), ... 'qCrest', peak2rms(flow.Data), ... 'qRMS', rms(flow.Data), ... 'qMAD', mad(flow.Data), ... 'qCSRange',csFlowRange, ... 'fPeak', fPeak, ... 'pLow', pLow, ... 'pMid', pMid, ... 'pHigh', pHigh, ... 'pKurtosis', pKur(1)}; end