В этом примере вы используете интерфейс командной строки RF Toolbox™, чтобы смоделировать усиление и шумовую фигуру каскадной сети. Вы анализируете сеть в частотном диапазоне и строите результаты.
Чтобы изучить, как использовать Проект РФ и Аналитическое приложение, чтобы выполнить эти задачи, см. Модель Сеть РФ.
Сеть, которую вы используете в этом примере, состоит из усилителя и двух линий передачи. Тулбокс представляет компоненты РФ и сети РФ с помощью объектов схемы РФ. Вы изучаете, как создать и управлять этими объектами анализировать каскадную сеть усилителя.
Введите следующий набор команд в подсказке MATLAB®, чтобы создать три схемы (rfckt) объекты со значениями свойств по умолчанию. Эти объекты схемы представляют эти две линии передачи и усилитель:
FirstCkt = rfckt.txline; SecondCkt = rfckt.amplifier; ThirdCkt = rfckt.txline;
В этой части примера вы задаете следующие свойства компонентов:
Введите следующую команду в посдказке MATLAB, чтобы изменить длину строки первой линии передачи, FirstCkt, к 12:
FirstCkt.LineLength = 12;
Введите следующую команду в посдказке MATLAB, чтобы изменить длину строки второй линии передачи, ThirdCkt, к 0.025 и изменить фазовую скорость на 2.0e8:
ThirdCkt.LineLength = 0.025; ThirdCkt.PV = 2.0e8;
Введите следующую команду в посдказке MATLAB, чтобы импортировать сетевые параметры, шумовые данные и данные о степени из файла default.amp в усилитель, SecondCkt:
read(SecondCkt, 'default.amp');Введите следующую команду в посдказке MATLAB, чтобы изменить метод интерполяции усилителя, SecondCkt, к cubic:
SecondCkt.IntpType = 'cubic';Свойство IntpType говорит тулбокс, как интерполировать сетевые параметры, шумовые данные и данные о степени, когда вы анализируете усилитель на частотах кроме заданных в файле.
В этой части примера вы строите сетевые параметры и данные о степени (выходная мощность по сравнению с входной мощностью), чтобы подтвердить поведение усилителя.
Введите следующий набор команд в посдказке MATLAB, чтобы использовать команду smithplot, чтобы построить исходные S11 и S22 параметры усилителя (SecondCkt) на Графике Z Smith®:
figure lineseries1 = smith(SecondCkt,'S11','S22'); lineseries1(1).LineStyle = '-'; lineseries1(1).LineWidth = 1; lineseries1(2).LineStyle = ':'; lineseries1(2).LineWidth = 1;

legend showГрафик показывает S-параметры по частотному диапазону, для которого сетевые данные заданы в файле default.amp — от 1 ГГц до 2,9 ГГц.
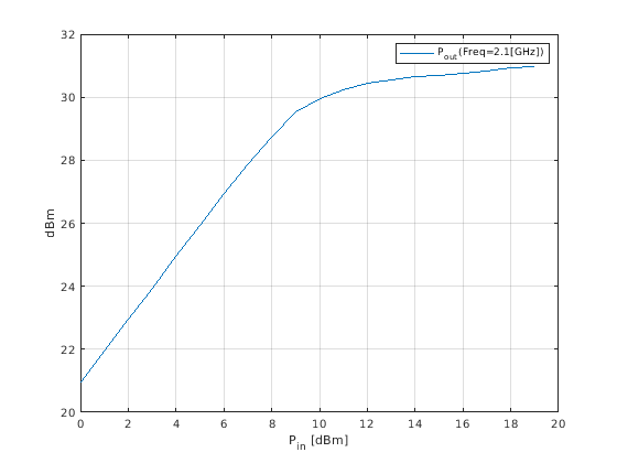
Введите следующий набор команд в посдказке MATLAB, чтобы использовать RF Toolbox команда plot, чтобы построить усилитель (SecondCkt) выходная мощность (Выпячивание) как функция входной мощности (Контакт), оба в децибелах, на которые ссылаются к одному милливатту (dBm), на плоском графике X-Y:
figure plot(SecondCkt,'Pout','dBm')

legend showГрафик показывает данные о степени на уровне 2,1 ГГц, потому что эта частота является той, для которой данные о степени заданы в файле default.amp.
В этой части примера вы создаете объект схемы представлять каскадный усилитель и анализировать объект в частотном диапазоне.
Введите следующую команду в посдказке MATLAB, чтобы расположить каскадом три объекта схемы сформировать новый каскадный объект схемы, CascadedCkt:
FirstCkt = rfckt.txline; SecondCkt = rfckt.amplifier; ThirdCkt = rfckt.txline;
CascadedCkt = rfckt.cascade('Ckts',{FirstCkt,SecondCkt,... ThirdCkt});
Введите следующий набор команд в посдказке MATLAB, чтобы задать область значений частот, по которым можно анализировать каскадную схему, и затем запустить анализ:
f = (1.0e9:1e7:2.9e9); analyze(CascadedCkt,f);
В этой части примера вы анализируете результаты симуляции путем отображения данных на графике для объекта схемы, который представляет каскадную сеть усилителя.
Введите следующий набор команд в посдказке MATLAB, чтобы использовать команду smithplot, чтобы построить S11 и параметры S22 каскадной сети усилителя на Графике З Смита:
figure lineseries2 = smith(CascadedCkt,'S11','S22','z'); lineseries2(1).LineStyle ='-'; lineseries2(1).LineWidth =1; lineseries2(2).LineStyle = ':'; lineseries2(2).LineWidth = 1;

legend showВведите следующий набор команд в посдказке MATLAB, чтобы использовать команду plot, чтобы построить параметр S21 каскадной сети, которая представляет сетевое усиление на плоскости X-Y:
figure plot(CascadedCkt,'S21','dB')

legend showВведите следующий набор команд в посдказке MATLAB, чтобы использовать команду plot, чтобы создать бюджетный график параметра S21 и шумовую фигуру сети усилителя:
figure plot(CascadedCkt,'budget', 'S21','NF')

legend showБюджетный график показывает параметры функцией частоты индексом схемы. Компоненты индексируются на основе их положения в сети. В этом примере:
Индекс схемы каждый соответствует FirstCkt.
Индекс схемы два соответствует SecondCkt.
Индекс схемы три соответствует ThirdCkt.
Кривая для каждого индекса представляет вклады компонентов РФ до и включая компонент в том индексе.