Увеличьте аудиоданные
Увеличьте свой аудио набор данных с помощью аудио специфичных методов увеличения как перемена подачи, модификация масштаба времени, смещение во времени, шумовое сложение и регулятор громкости. Можно создать расположенный каскадом или найти что-либо подобное конвейерам увеличения, чтобы применить несколько алгоритмов детерминировано или вероятностно.
создает объект увеличения аудиоданных со значениями свойств по умолчанию.aug = audioDataAugmenter()
задает свойства не по умолчанию для aug = audioDataAugmenter(Name,Value)aug использование одного или нескольких аргументов пары "имя-значение".
AugmentationMode — Режим Augmentation'sequential' (значение по умолчанию) | 'independent'Режим Augmentation, заданный как 'sequential' или 'independent'.
'sequential' – Алгоритмы увеличения применяются последовательно (последовательно).
'independent' – Алгоритмы увеличения применяются независимо (параллельно).
Типы данных: char | string
AugmentationParameterSource — Источник параметров увеличения'random' (значение по умолчанию) | 'specify'Источник параметров увеличения, заданных как 'random' или 'specify'.
'random' – Алгоритмы увеличения применяются вероятностно с помощью параметра вероятности и параметра области значений.
Например, чтобы создать audioDataAugmenter это применяет растягивающее во времени использование фактора ускорения между 0.5 и 1.5 с 60%-й вероятностью введите следующее в Командном окне:
aug = audioDataAugmenter('AugmentationParameterSource','random', ... 'TimeStretchProbability',0.6, ... 'SpeedupFactorRange',[0.5,1.5]);
0.5 и максимум 1.5.'specify' – Алгоритмы увеличения применяются детерминировано с помощью логического параметра и заданного значения параметров. Например, чтобы создать audioDataAugmenter это применяет растягивающее во времени использование 1.5 фактор ускорения с 100%-й вероятностью, введите следующее в Командном окне:
aug = audioDataAugmenter('AugmentationParameterSource','specify', ... 'ApplyTimeStretch',true, ... 'SpeedupFactor',1.5);
Типы данных: char | string
NumAugmentations — Количество увеличенных сигналов вывести (значение по умолчанию) | положительное целое числоКоличество увеличенных сигналов вывести, заданный как положительное целое число.
Чтобы включить это свойство, установите AugmentationParameterSource на 'random'.
Типы данных: single | double | int8 | int16 | int32 | int64 | uint8 | uint16 | uint32 | uint64
TimeStretchProbability — Вероятность применения фрагмента времени (значение по умолчанию) | скаляр в области значений [0, 1]Вероятность применения фрагмента времени, заданного как скаляр в области значений [0, 1]. Установите вероятность на 1 чтобы применить время, простираясь каждый раз, вы вызываете augment. Установите вероятность на 0 чтобы пропустить время, простираясь каждый раз, вы вызываете augment.
Чтобы включить это свойство, установите AugmentationParameterSource на 'random' и AugmentationMode к 'sequential'.
Типы данных: single | double
SpeedupFactorRange — Область значений времени расширяет фактор ускорения (значение по умолчанию) | двухэлементный вектор-строка из положительных неуменьшающихся значенийОбласть значений времени расширяет фактор ускорения, заданный как двухэлементный вектор-строка из положительных неуменьшающихся значений.
Чтобы включить это свойство, установите AugmentationParameterSource на 'random'.
Типы данных: single | double | int8 | int16 | int32 | int64 | uint8 | uint16 | uint32 | uint64
ApplyTimeStretch — Примените фрагмент времениtrue (значение по умолчанию) | falseПримените фрагмент времени, заданный как true или false.
Чтобы включить это свойство, установите AugmentationParameterSource на 'specify'.
Типы данных: логический
SpeedupFactor — Фактор ускорения фрагмента времени (значение по умолчанию) | действительная положительная скалярная величина | действительный положительный векторФактор ускорения фрагмента времени, заданный как скаляр или вектор действительных положительных значений.
Чтобы включить это свойство, установите AugmentationParameterSource на 'specify'.
Типы данных: single | double | int8 | int16 | int32 | int64 | uint8 | uint16 | uint32 | uint64
PitchShiftProbability — Вероятность применения сдвига подачи (значение по умолчанию) | скаляр в области значений [0, 1]Вероятность применения сдвига подачи, заданного как скаляр в области значений [0, 1]. Установите вероятность на 1 чтобы применить подачу, переключающую каждый раз, вы вызываете augment. Установите вероятность на 0 чтобы пропустить подачу, переключающую каждый раз, вы вызываете augment.
Чтобы включить это свойство, установите AugmentationParameterSource на 'random' и AugmentationMode к 'sequential'.
Типы данных: single | double
SemitoneShiftRange — Область значений сдвига подачи (полутоны) (значение по умолчанию) | двухэлементный вектор-строка из неуменьшающихся значенийОбласть значений подачи переключает на нижний регистр полутоны, заданные как двухэлементный вектор-строка из неуменьшающихся значений.
Чтобы включить это свойство, установите AugmentationParameterSource на 'random'.
Типы данных: single | double | int8 | int16 | int32 | int64 | uint8 | uint16 | uint32 | uint64
ApplyPitchShift — Примените сдвиг подачиtrue (значение по умолчанию) | falseПримените сдвиг подачи, заданный как true или false.
Чтобы включить это свойство, установите AugmentationParameterSource на 'specify'.
Типы данных: логический
SemitoneShift — Передайте сдвиг (полутоны) (значение по умолчанию) | действительный скаляр | вектор действительных чиселПодача переключает на нижний регистр полутоны, заданные как действительный скаляр или вектор.
Чтобы включить это свойство, установите AugmentationParameterSource на 'specify'.
Типы данных: single | double | int8 | int16 | int32 | int64 | uint8 | uint16 | uint32 | uint64
VolumeControlProbability — Вероятность применения регулятора громкости (значение по умолчанию) | скаляр в области значений [0, 1]Вероятность применения регулятора громкости, заданного как скаляр в области значений [0, 1]. Установите вероятность на 1 чтобы применить регулятор громкости каждый раз, вы вызываете augment. Установите вероятность на 0 чтобы пропустить регулятор громкости каждый раз, вы вызываете augment.
Чтобы включить это свойство, установите AugmentationParameterSource на 'random' и AugmentationMode к 'sequential'.
Типы данных: single | double
VolumeGainRange — Область значений усиления объема (дБ) (значение по умолчанию) | двухэлементный вектор-строка из неуменьшающихся значенийОбласть значений объема получает в дБ, заданном как двухэлементный вектор-строка из неуменьшающихся значений.
Чтобы включить это свойство, установите AugmentationParameterSource на 'random'.
Типы данных: single | double | int8 | int16 | int32 | int64 | uint8 | uint16 | uint32 | uint64
ApplyVolumeControl — Примените усиление объемаtrue (значение по умолчанию) | falseПримените усиление объема, заданное как true или false.
Чтобы включить это свойство, установите AugmentationParameterSource на 'specify'.
Типы данных: логический
VolumeGain — Усиление объема (дБ) (значение по умолчанию) | скаляр | векторУсиление объема в дБ, заданном как скаляр или вектор.
Типы данных: single | double | int8 | int16 | int32 | int64 | uint8 | uint16 | uint32 | uint64
AddNoiseProbability — Вероятность применения шумового сложения (значение по умолчанию) | скаляр в области значений [0, 1]Вероятность применения Гауссова белого шумового сложения, заданного как скаляр в области значений [0, 1]. Установите вероятность на 1 чтобы добавить шум каждый раз, вы вызываете augment. Установите вероятность на 0 чтобы пропустить добавляющий шум каждый раз, вы вызываете augment.
Чтобы включить это свойство, установите AugmentationParameterSource на 'random' и AugmentationMode к 'sequential'.
Типы данных: single | double
SNRRange — Область значений шумового ОСШ сложения (дБ) (значение по умолчанию) | двухэлементный вектор-строка из неуменьшающихся значенийОбласть значений шумового ОСШ сложения в дБ, заданном как двухэлементный вектор-строка из неуменьшающихся значений.
Чтобы включить это свойство, установите AugmentationParameterSource на 'range'.
Типы данных: single | double | int8 | int16 | int32 | int64 | uint8 | uint16 | uint32 | uint64
ApplyAddNoise — Примените шумовое сложениеtrue (значение по умолчанию) | falseПримените Гауссово белое шумовое сложение, заданное как true или false.
Чтобы включить это свойство, установите AugmentationParameterSource на 'specify'.
Типы данных: логический
SNR — Шумовой ОСШ сложения (дБ) (значение по умолчанию) | скаляр | векторШумовой ОСШ сложения в дБ, заданном как скаляр или вектор.
Типы данных: single | double | int8 | int16 | int32 | int64 | uint8 | uint16 | uint32 | uint64
TimeShiftProbability — Вероятность применения временного сдвига (значение по умолчанию) | скаляр в области значений [0, 1]Вероятность применения временного сдвига, заданного как скаляр в области значений [0, 1]. Установите вероятность на 1 чтобы применить смещение во времени каждый раз, вы вызываете augment. Установите свойство на 0 чтобы пропустить смещение во времени каждый раз, вы вызываете augment.
Сдвиг времени применяет циклический сдвиг на аудиоданные временного интервала.
Чтобы включить это свойство, установите AugmentationParameterSource на 'random' и AugmentationMode к 'sequential'.
Типы данных: single | double
TimeShiftRange — Область значений временного сдвига (сдвигов)[-5e-3,5e3] (значение по умолчанию) | двухэлементный вектор-строка из неуменьшающихся значений.Область значений временного сдвига в секундах, заданных как двухэлементный вектор-строка из неуменьшающихся значений.
Чтобы включить это свойство, установите AugmentationParameterSource на 'random'.
Типы данных: single | double | int8 | int16 | int32 | int64 | uint8 | uint16 | uint32 | uint64
ApplyTimeShift — Примените временной сдвигtrue (значение по умолчанию) | falseПримените временной сдвиг, заданный как true или false.
Чтобы включить это свойство, установите AugmentationParameterSource на 'specify'.
Сдвиг времени применяет циклический сдвиг на аудиоданные временного интервала.
Типы данных: логический
TimeShift — Временной сдвиг (сдвиги)5e-3 (значение по умолчанию) | скаляр | векторВременной сдвиг в секундах, заданных как скаляр или вектор.
Чтобы включить это свойство, установите AugmentationParameterSource на 'specify'.
Типы данных: single | double | int8 | int16 | int32 | int64 | uint8 | uint16 | uint32 | uint64
addAugmentationMethod | Добавьте пользовательский метод увеличения |
removeAugmentationMethod | Удалите пользовательский метод увеличения |
augment | Увеличьте аудиоданные |
Читайте в звуковом сигнале и слушайте его.
[audioIn,fs] = audioread("Counting-16-44p1-mono-15secs.wav");
sound(audioIn,fs)Создайте audioDataAugmenter объект, который применяет время, простираясь, регулятор громкости и смещение во времени в каскаде. Примените каждое из увеличений с 80%-й вероятностью. Установите NumAugmentations к 5 выводить пять независимо увеличенных сигналов. Чтобы пропустить перемену подачи и шумовое сложение для каждого увеличения, установите соответствующие вероятности на 0. Задайте области значений параметра для каждого соответствующего алгоритма увеличения.
augmenter = audioDataAugmenter( ... "AugmentationMode","sequential", ... "NumAugmentations",5, ... ... "TimeStretchProbability",0.8, ... "SpeedupFactorRange", [1.3,1.4], ... ... "PitchShiftProbability",0, ... ... "VolumeControlProbability",0.8, ... "VolumeGainRange",[-5,5], ... ... "AddNoiseProbability",0, ... ... "TimeShiftProbability",0.8, ... "TimeShiftRange", [-500e-3,500e-3])
augmenter =
audioDataAugmenter with properties:
AugmentationMode: "sequential"
AugmentationParameterSource: 'random'
NumAugmentations: 5
TimeStretchProbability: 0.8000
SpeedupFactorRange: [1.3000 1.4000]
PitchShiftProbability: 0
VolumeControlProbability: 0.8000
VolumeGainRange: [-5 5]
AddNoiseProbability: 0
TimeShiftProbability: 0.8000
TimeShiftRange: [-0.5000 0.5000]
Вызовите augment на аудио, чтобы создать 5 увеличений. Увеличенное аудио возвращено в таблице с переменными Audio и AugmentationInfo. Количество строк в таблице задано NumAugmentations.
data = augment(augmenter,audioIn,fs)
data=5×2 table
Audio AugmentationInfo
_________________ ________________
{685056x1 double} [1x1 struct]
{685056x1 double} [1x1 struct]
{505183x1 double} [1x1 struct]
{685056x1 double} [1x1 struct]
{490728x1 double} [1x1 struct]
В текущем конвейере увеличения параметры увеличения присвоены случайным образом из заданных областей. Чтобы определить точные параметры, используемые в увеличении, смотрите AugmentationInfo.
augmentationToInspect =
4;
данные. (augmentationToInspect)ans = struct with fields:
SpeedupFactor: 1
VolumeGain: 4.3399
TimeShift: 0.4502
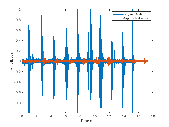
Слушайте увеличение, которое вы смотрите. Постройте представление времени исходных и увеличенных сигналов.
augmentation = data.Audio{augmentationToInspect};
sound(augmentation,fs)
t = (0:(numel(audioIn)-1))/fs;
taug = (0:(numel(augmentation)-1))/fs;
plot(t,audioIn,taug,augmentation)
legend("Original Audio","Augmented Audio")
ylabel("Amplitude")
xlabel("Time (s)")
Читайте в звуковом сигнале и слушайте его.
[audioIn,fs] = audioread("Counting-16-44p1-mono-15secs.wav");
sound(audioIn,fs)Создайте audioDataAugmenter объект, который применяет время, простираясь, перемену подачи и шумовое повреждение в каскаде. Задайте факторы ускорения фрагмента времени как 0.9, 1.1, и 1.2. Задайте полутоны переключающегося на нижний регистр подачи как -2, -1, 1, и 2. Задайте шумовой ОСШ повреждения как 10 дБ и 15 дБ.
augmenter = audioDataAugmenter( ... "AugmentationMode","sequential", ... "AugmentationParameterSource","specify", ... "SpeedupFactor",[0.9,1.1,1.2], ... "ApplyTimeStretch",true, ... "ApplyPitchShift",true, ... "SemitoneShift",[-2,-1,1,2], ... "SNR",[10,15], ... "ApplyVolumeControl",false, ... "ApplyTimeShift",false)
augmenter =
audioDataAugmenter with properties:
AugmentationMode: "sequential"
AugmentationParameterSource: "specify"
ApplyTimeStretch: 1
SpeedupFactor: [0.9000 1.1000 1.2000]
ApplyPitchShift: 1
SemitoneShift: [-2 -1 1 2]
ApplyVolumeControl: 0
ApplyAddNoise: 1
SNR: [10 15]
ApplyTimeShift: 0
Вызовите augment на аудио, чтобы создать 24 увеличения. Увеличения представляют каждую комбинацию заданных параметров увеличения ().
data = augment(augmenter,audioIn,fs)
data=24×2 table
Audio AugmentationInfo
_________________ ________________
{761243x1 double} [1x1 struct]
{622888x1 double} [1x1 struct]
{571263x1 double} [1x1 struct]
{761243x1 double} [1x1 struct]
{622888x1 double} [1x1 struct]
{571263x1 double} [1x1 struct]
{761243x1 double} [1x1 struct]
{622888x1 double} [1x1 struct]
{571263x1 double} [1x1 struct]
{761243x1 double} [1x1 struct]
{622888x1 double} [1x1 struct]
{571263x1 double} [1x1 struct]
{761243x1 double} [1x1 struct]
{622888x1 double} [1x1 struct]
{571263x1 double} [1x1 struct]
{761243x1 double} [1x1 struct]
⋮
Можно проверять настройку параметра каждого увеличения с помощью AugmentationInfo табличная переменная.
augmentationToInspect =
1;
данные. (augmentationToInspect)ans = struct with fields:
SpeedupFactor: 0.9000
SemitoneShift: -2
SNR: 10
Слушайте увеличение, которое вы смотрите. Постройте представление временного интервала исходных и увеличенных сигналов.
augmentation = data.Audio{augmentationToInspect};
sound(augmentation,fs)
t = (0:(numel(audioIn)-1))/fs;
taug = (0:(numel(augmentation)-1))/fs;
plot(t,audioIn,taug,augmentation)
legend("Original Audio","Augmented Audio")
ylabel("Amplitude")
xlabel("Time (s)")
Читайте в звуковом сигнале и слушайте его.
[audioIn,fs] = audioread("Counting-16-44p1-mono-15secs.wav");Создайте audioDataAugmenter объект, который применяет шумовое повреждение и смещение во времени в параллельных ветвях. Для шумовой ветви повреждения случайным образом примените шум с ОСШ в области значений 0 дБ к 20 дБ. Для ветви смещения во времени случайным образом примените смещение во времени в области значений-300 мс к 300 мс. Примените увеличение 2 раза для каждой ветви для 4 общих увеличений.
augmenter = audioDataAugmenter( ... "AugmentationMode","independent", ... "AugmentationParameterSource","random", ... "NumAugmentations",2, ... "ApplyTimeStretch",false, ... "ApplyPitchShift",false, ... "ApplyVolumeControl",false, ... "SNRRange",[0,20], ... "TimeShiftRange",[-300e-3,300e-3])
augmenter =
audioDataAugmenter with properties:
AugmentationMode: "independent"
AugmentationParameterSource: "random"
NumAugmentations: 2
ApplyTimeStretch: 0
ApplyPitchShift: 0
ApplyVolumeControl: 0
ApplyAddNoise: 1
SNRRange: [0 20]
ApplyTimeShift: 1
TimeShiftRange: [-0.3000 0.3000]
Вызовите augment на аудио, чтобы создать 3 увеличения.
data = augment(augmenter,audioIn,fs);
Можно проверять настройку параметра каждого увеличения с помощью AugmentatioInfo табличная переменная.
augmentationToInspect =
4;
данные.ans = struct with fields:
TimeShift: 0.0016
Слушайте аудио, которое вы смотрите. Постройте представление временного интервала исходных и увеличенных сигналов.
augmentation = data.Audio{augmentationToInspect};
sound(augmentation,fs)
t = (0:(numel(audioIn)-1))/fs;
taug = (0:(numel(augmentation)-1))/fs;
plot(t,audioIn,taug,augmentation)
legend("Original Audio","Augmented Audio")
ylabel("Amplitude")
xlabel("Time (s)")
Читайте в звуковом сигнале и слушайте его.
[audioIn,fs] = audioread("Counting-16-44p1-mono-15secs.wav");Создайте audioDataAugmenter объект, который применяет регулятор громкости, шумовое повреждение и смещение во времени в параллельных ветвях.
augmenter = audioDataAugmenter( ... "AugmentationMode","independent", ... "AugmentationParameterSource","specify", ... "ApplyTimeStretch",false, ... "ApplyPitchShift",false, ... "VolumeGain",2, ... "SNR",0, ... "TimeShift",2)
augmenter =
audioDataAugmenter with properties:
AugmentationMode: "independent"
AugmentationParameterSource: "specify"
ApplyTimeStretch: 0
ApplyPitchShift: 0
ApplyVolumeControl: 1
VolumeGain: 2
ApplyAddNoise: 1
SNR: 0
ApplyTimeShift: 1
TimeShift: 2
Вызовите augment на аудио, чтобы создать 3 увеличения.
data = augment(augmenter,audioIn,fs)
data=3×2 table
Audio AugmentationInfo
_________________ ________________
{685056x1 double} {1x1 struct}
{685056x1 double} {1x1 struct}
{685056x1 double} {1x1 struct}
Можно проверять настройку параметра каждого увеличения с помощью AugmentatioInfo табличная переменная.
augmentationToInspect =
3;
данные.ans = struct with fields:
TimeShift: 2
Слушайте аудио, которое вы смотрите. Постройте представления временного интервала исходных и увеличенных сигналов.
augmentation = data.Audio{augmentationToInspect};
sound(augmentation,fs)
t = (0:(numel(audioIn)-1))/fs;
taug = (0:(numel(augmentation)-1))/fs;
plot(t,audioIn,taug,augmentation)
legend("Original Audio","Augmented Audio")
ylabel("Amplitude")
xlabel("Time (s)")
audioDataAugmenter поддержки несколько рабочих процессов для увеличения вашего datastore, включая:
Оффлайновое увеличение
Увеличение с помощью длинных массивов
Увеличение с помощью преобразовывает хранилища данных
В каждом рабочем процессе начните путем создания аудио datastore, чтобы указать на аудиоданные. В этом примере вы создаете аудио datastore, который указывает на аудиосэмплы, включенные с Audio Toolbox™. Считайте количество файлов в наборе данных.
folder = fullfile(matlabroot,"toolbox","audio","samples"); ADS = audioDatastore(folder)
ADS =
audioDatastore with properties:
Files: {
' ...\matlab\toolbox\audio\samples\Ambiance-16-44p1-mono-12secs.wav';
' ...\matlab\toolbox\audio\samples\AudioArray-16-16-4channels-20secs.wav';
' ...\toolbox\audio\samples\ChurchImpulseResponse-16-44p1-mono-5secs.wav'
... and 26 more
}
AlternateFileSystemRoots: {}
OutputDataType: 'double'
Labels: {}
numFilesInDataset = numel(ADS.Files)
numFilesInDataset = 29
Создайте audioDataAugmenter это применяет случайные последовательные увеличения. Установите NumAugmentations к 2.
aug = audioDataAugmenter('NumAugmentations',2)aug =
audioDataAugmenter with properties:
AugmentationMode: 'sequential'
AugmentationParameterSource: 'random'
NumAugmentations: 2
TimeStretchProbability: 0.5000
SpeedupFactorRange: [0.8000 1.2000]
PitchShiftProbability: 0.5000
SemitoneShiftRange: [-2 2]
VolumeControlProbability: 0.5000
VolumeGainRange: [-3 3]
AddNoiseProbability: 0.5000
SNRRange: [0 10]
TimeShiftProbability: 0.5000
TimeShiftRange: [-0.0050 0.0050]
Оффлайновое увеличение
Чтобы увеличить аудио набор данных, создайте два увеличения каждого файла и затем запишите увеличения как файлы WAV.
while hasdata(ADS) [audioIn,info] = read(ADS); data = augment(aug,audioIn,info.SampleRate); [~,fn] = fileparts(info.FileName); for i = 1:size(data,1) augmentedAudio = data.Audio{i}; % If augmentation caused an audio signal to have values outside of -1 and 1, % normalize the audio signal to avoid clipping when writing. if max(abs(augmentedAudio),[],'all')>1 augmentedAudio = augmentedAudio/max(abs(augmentedAudio),[],'all'); end audiowrite(sprintf('%s_aug%d.wav',fn,i),augmentedAudio,info.SampleRate) end end
Создайте audioDatastore это указывает на увеличенный набор данных, и подтвердите, что количество файлов в наборе данных удваивает исходное количество файлов.
augmentedADS = audioDatastore(pwd)
augmentedADS =
audioDatastore with properties:
Files: {
' ...\Examples\audio-ex28074079\Ambiance-16-44p1-mono-12secs_aug1.wav';
' ...\Examples\audio-ex28074079\Ambiance-16-44p1-mono-12secs_aug2.wav';
' ...\Examples\audio-ex28074079\AudioArray-16-16-4channels-20secs_aug1.wav'
... and 55 more
}
AlternateFileSystemRoots: {}
OutputDataType: 'double'
Labels: {}
numFilesInAugmentedDataset = numel(augmentedADS.Files)
numFilesInAugmentedDataset = 58
Увеличьтесь Используя длинные массивы
При увеличении набора данных с помощью длинных массивов входные данные к увеличению должны быть произведены на сопоставимом уровне. Подмножество исходный аудио набор данных, чтобы только включать файлы с частотой дискретизации 44,1 кГц. Большинство наборов данных уже убрано, чтобы иметь сопоставимую частоту дискретизации.
keepFile = cellfun(@(x)contains(x,'44p1'),ADS.Files);
ads44p1 = subset(ADS,keepFile);
fs = 44.1e3;Преобразуйте аудио datastore в длинный массив. tall массивы оценены только, когда вы запрашиваете их явным образом использование gather. MATLAB® автоматически оптимизирует вычисления в очереди путем минимизации количества проходов через данные. Если у вас есть Parallel Computing Toolbox™, можно распространить вычисления через несколько машин. Аудиоданные представлены как высокий массив ячеек M-1, где M является количеством файлов в аудио datastore.
adsTall = tall(ads44p1)
Starting parallel pool (parpool) using the 'local' profile ...
Connected to the parallel pool (number of workers: 6).
adsTall =
M×1 tall cell array
{ 539648×1 double}
{ 227497×1 double}
{ 8000×1 double}
{ 685056×1 double}
{ 882688×2 double}
{1115760×2 double}
{ 505200×2 double}
{3195904×2 double}
: :
: :
Задайте cellfun функционируйте так, чтобы увеличение было применено к каждой ячейке длинного массива. Вызовите gather оценивать длинный массив.
augTall = cellfun(@(x)augment(aug,x,fs),adsTall,"UniformOutput",false);
augmentedDataset = gather(augTall)Evaluating tall expression using the Parallel Pool 'local': - Pass 1 of 1: Completed in 1 min 34 sec Evaluation completed in 1 min 34 sec
augmentedDataset=12×1 cell
{2×2 table}
{2×2 table}
{2×2 table}
{2×2 table}
{2×2 table}
{2×2 table}
{2×2 table}
{2×2 table}
{2×2 table}
{2×2 table}
{2×2 table}
{2×2 table}
Увеличенный набор данных возвращен как numFiles-1 массив ячеек, где numFiles является количеством файлов в datastore. Каждый элемент массива ячеек является numAugmentationsPerFile-2 таблицей, где numAugmentationsPerFile является количеством увеличений, возвращенных на файл.
numFiles = numel(augmentedDataset)
numFiles = 12
numAugmentationsPerFile = size(augmentedDataset{1},1)numAugmentationsPerFile = 2
Увеличьтесь Используя, преобразовывают Datastore
Можно выполнить онлайновое увеличение данных, в то время как вы обучаете свое приложение машинного обучения с помощью datastore преобразования. Вызовите transform создать новый datastore, который применяет увеличение данных при чтении.
transformADS = transform(ADS,@(x,info)augment(aug,x,info),'IncludeInfo',true)transformADS =
TransformedDatastore with properties:
UnderlyingDatastore: [1×1 audioDatastore]
Transforms: {@(x,info)augment(aug,x,info)}
IncludeInfo: 1
Вызовите read возвратить увеличенный первый файл в datastore преобразования.
augmentedRead = read(transformADS)
augmentedRead=2×2 table
Audio AugmentationInfo
_________________ ________________
{539648×1 double} [1×1 struct]
{586683×1 double} [1×1 struct]
Можно расширить возможности audioDataAugmenter путем добавления пользовательских методов увеличения.
Читайте в звуковом сигнале и слушайте его.
[audioIn,fs] = audioread('Counting-16-44p1-mono-15secs.wav');
sound(audioIn,fs)Создайте audioDataAugmenter объект. Установите вероятность применения белого шума к 0.
augmenter = audioDataAugmenter('AddNoiseProbability',0)augmenter =
audioDataAugmenter with properties:
AugmentationMode: 'sequential'
AugmentationParameterSource: 'random'
NumAugmentations: 1
TimeStretchProbability: 0.5000
SpeedupFactorRange: [0.8000 1.2000]
PitchShiftProbability: 0.5000
SemitoneShiftRange: [-2 2]
VolumeControlProbability: 0.5000
VolumeGainRange: [-3 3]
AddNoiseProbability: 0
TimeShiftProbability: 0.5000
TimeShiftRange: [-0.0050 0.0050]
Задайте пользовательский алгоритм увеличения, который применяет розовый шум. AddPinkNoise алгоритм добавляется к augmenter свойства.
algorithmName = 'AddPinkNoise'; algorithmHandle = @(x)x+pinknoise(size(x),'like',x); addAugmentationMethod(augmenter,algorithmName,algorithmHandle) augmenter
augmenter =
audioDataAugmenter with properties:
AugmentationMode: 'sequential'
AugmentationParameterSource: 'random'
NumAugmentations: 1
TimeStretchProbability: 0.5000
SpeedupFactorRange: [0.8000 1.2000]
PitchShiftProbability: 0.5000
SemitoneShiftRange: [-2 2]
VolumeControlProbability: 0.5000
VolumeGainRange: [-3 3]
AddNoiseProbability: 0
TimeShiftProbability: 0.5000
TimeShiftRange: [-0.0050 0.0050]
AddPinkNoiseProbability: 0.5000
Установите вероятность добавления розового шума к 1.
augmenter.AddPinkNoiseProbability = 1
augmenter =
audioDataAugmenter with properties:
AugmentationMode: 'sequential'
AugmentationParameterSource: 'random'
NumAugmentations: 1
TimeStretchProbability: 0.5000
SpeedupFactorRange: [0.8000 1.2000]
PitchShiftProbability: 0.5000
SemitoneShiftRange: [-2 2]
VolumeControlProbability: 0.5000
VolumeGainRange: [-3 3]
AddNoiseProbability: 0
TimeShiftProbability: 0.5000
TimeShiftRange: [-0.0050 0.0050]
AddPinkNoiseProbability: 1
Увеличьте исходный сигнал и слушайте результат. Смотрите параметры примененных алгоритмов увеличения.
data = augment(augmenter,audioIn,fs);
sound(data.Audio{1},fs)
data.AugmentationInfo(1)ans = struct with fields:
SpeedupFactor: 1
SemitoneShift: 0
VolumeGain: 2.4803
TimeShift: -0.0022
AddPinkNoise: 'Applied'
Постройте mel спектрограммы исходных и увеличенных сигналов.
melSpectrogram(audioIn,fs)
title('Original Signal')
melSpectrogram(data.Audio{1},fs)
title('Augmented Signal')
audioDataAugmenter объект позволяет вам сконфигурировать свой конвейер увеличения как детерминированное или вероятностное использование свойства AugmentationParameterSource. Можно также принять решение применить увеличения последовательно или в параллели с помощью свойства AugmentationMode. Следующие разделы описывают конвейеры, которые можно создать и применимые свойства для каждой архитектуры.
Чтобы задать ваше увеличение как последовательность вероятностно прикладных увеличений, установите AugmentationParameterSource на 'random' и AugmentationMode к 'sequential'.
Порядок, что увеличения применяются, всегда является тем же самым. Если вы задаете пользовательские алгоритмы, они применяются в конце последовательности в порядке, вы задали их.

В этой конвейерной настройке применяются эти параметры:
| Метод увеличения | Параметры |
|---|---|
| Расширьте время | |
| Переключите подачу | |
| Управляйте объемом | |
| Добавьте шум | |
| Переключите время |
Если вы задаете NumAugmentations как больше, чем 1, то объект применяет NumAugmentations найдите что-либо подобное случайным последовательным увеличениям. Вероятность применения увеличения и значения любых параметров, которые вероятностно определяются, независима.

Чтобы задать ваше увеличение как последовательность детерминировано прикладных увеличений, установите AugmentationParameterSource на 'specify' и AugmentationMode к 'sequential'.
Порядок, что увеличения применяются, всегда является тем же самым. Если вы задаете пользовательские алгоритмы, они применяются в конце последовательности в порядке, вы задали их.

В этой конвейерной настройке применяются эти параметры:
| Метод увеличения | Параметры |
|---|---|
| Расширьте время | |
| Переключите подачу | |
| Управляйте объемом | |
| Добавьте шум | |
| Переключите время |
Если вы задаете метод увеличения как вектор, то каждый элемент вектора создает отдельную ветвь в конвейере увеличения. Например, следующий объект создает конвейер увеличения, который приводит к четырем отдельным увеличениям:
aug = audioDataAugmenter("AugmentationMode","sequential", ... "AugmentationParameterSource","specify", ... "SpeedupFactor",[0.8,1.2], ... "VolumeGain",[-3,-1])
aug =
audioDataAugmenter with properties:
AugmentationMode: "sequential"
AugmentationParameterSource: "specify"
ApplyTimeStretch: 1
SpeedupFactor: [0.8000 1.2000]
ApplyPitchShift: 1
SemitoneShift: -3
ApplyVolumeControl: 1
VolumeGain: [-3 -1]
ApplyAddNoise: 1
SNR: 5
ApplyTimeShift: 1
TimeShift: 0.0050
Чтобы задать ваше увеличение как независимо примененные увеличения случайным образом решительными параметрами, установите AugmentationParameterSource на 'random' и AugmentationMode к 'independent'.

В этой конвейерной настройке применяются эти параметры:
| Метод увеличения | Параметры |
|---|---|
| Расширьте время | |
| Переключите подачу | |
| Управляйте объемом | |
| Добавьте шум | |
| Переключите время |
Если вы задаете NumAugmentations как больше, чем 1, то объект применяет NumAugmentations найдите что-либо подобное случайным независимым увеличениям. Значение любых параметров, которые вероятностно определяются, независимо.

Чтобы задать ваше увеличение как детерминировано примененные независимые увеличения детерминированными параметрами, установите AugmentationParameterSource на 'specify' и AugmentationMode к 'independent'.

В этой конвейерной настройке применяются эти параметры:
| Метод увеличения | Параметры |
|---|---|
| Расширьте время | |
| Переключите подачу | |
| Управляйте объемом | |
| Добавьте шум | |
| Переключите время |
Если вы задаете метод увеличения как вектор, то каждый элемент вектора создает отдельную ветвь в конвейере увеличения. Например, следующий объект создает конвейер увеличения, который приводит к семи отдельным увеличениям:
aug = audioDataAugmenter("AugmentationMode","independent", ... "AugmentationParameterSource","specify", ... "SpeedupFactor",[0.8,1.2], ... "VolumeGain",[-3,-1])
aug =
audioDataAugmenter with properties:
AugmentationMode: "independent"
AugmentationParameterSource: "specify"
ApplyTimeStretch: 1
SpeedupFactor: [0.8000 1.2000]
ApplyPitchShift: 1
SemitoneShift: -3
ApplyVolumeControl: 1
VolumeGain: [-3 -1]
ApplyAddNoise: 1
SNR: 5
ApplyTimeShift: 1
TimeShift: 0.0050
[1] Salamon, Джастин и Хуан Пабло Белло. "Глубокие сверточные нейронные сети и увеличение данных для экологической звуковой классификации". Буквы обработки сигналов IEEE. Издание 24, выпуск 3, 2017.
audioFeatureExtractor | audioTimeScaler | shiftPitch | stretchAudio
У вас есть модифицированная версия этого примера. Вы хотите открыть этот пример со своими редактированиями?
1. Если смысл перевода понятен, то лучше оставьте как есть и не придирайтесь к словам, синонимам и тому подобному. О вкусах не спорим.
2. Не дополняйте перевод комментариями “от себя”. В исправлении не должно появляться дополнительных смыслов и комментариев, отсутствующих в оригинале. Такие правки не получится интегрировать в алгоритме автоматического перевода.
3. Сохраняйте структуру оригинального текста - например, не разбивайте одно предложение на два.
4. Не имеет смысла однотипное исправление перевода какого-то термина во всех предложениях. Исправляйте только в одном месте. Когда Вашу правку одобрят, это исправление будет алгоритмически распространено и на другие части документации.
5. По иным вопросам, например если надо исправить заблокированное для перевода слово, обратитесь к редакторам через форму технической поддержки.