exponenta event banner

berawgn

Вероятность битовой ошибки (BER) для незакодированных каналов AWGN

Синтаксис

ber = berawgn(EbNo,'pam',M)
ber = berawgn(EbNo,'qam',M)
ber = berawgn(EbNo,'psk',M,dataenc)
ber = berawgn(EbNo,'oqpsk',dataenc)
ber = berawgn(EbNo,'dpsk',M)
ber = berawgn(EbNo,'fsk',M,coherence)
ber = berawgn(EbNo,'fsk',2,coherence,rho)
ber = berawgn(EbNo,'msk',precoding)
ber = berawgn(EbNo,'msk',precoding,coherence)
berlb = berawgn(EbNo,'cpfsk',M,modindex,kmin)
[BER,SER] = berawgn(EbNo, ...)

Описание

Для всех синтаксисов

berawgn функция возвращает BER различных схем модуляции по каналу аддитивного белого Гауссова шума (AWGN). Первый входной параметр, EbNo, отношение энергии, подведенной к долоту к шумовой степени спектральная плотность, в дБ. Если EbNo вектор, выход ber вектор, одного размера, чьи элементы соответствуют различным уровням Eb/N0. Поддерживаемые схемы модуляции, которые соответствуют второму входному параметру к функции, находятся в следующей таблице.

Схема модуляцииВторой входной параметр
Манипулирование сдвига фазы (PSK) 'psk'
Квадратурное манипулирование сдвига фазы смещения (OQPSK)'oqpsk'
Дифференциальное манипулирование сдвига фазы (DPSK) 'dpsk'
Импульсная амплитудная модуляция (PAM) 'pam'
Квадратурная амплитудная модуляция (QAM) 'qam'
Манипулирование сдвига частоты (FSK) 'fsk'
Минимальное манипулирование сдвига (MSK) 'msk'
Непрерывное манипулирование сдвига частоты фазы (CPFSK) 'cpfsk'

Большинство синтаксисов также имеет M введите, который задает размер алфавита для модуляции. M должен иметь форму 2k для некоторого положительного целочисленного k. Для всех случаев функция принимает использование серо-закодированного сигнального созвездия.

Для определенных синтаксисов

ber = berawgn(EbNo,'pam',M) возвращает BER незакодированного PAM по каналу AWGN с когерентной демодуляцией.

ber = berawgn(EbNo,'qam',M) возвращает BER незакодированного QAM по каналу AWGN с когерентной демодуляцией. Размер алфавита, M, должны быть по крайней мере 4. Когда k=журнал2M нечетно, прямоугольное созвездие размера M=I×J используется, где I=2k12 и J=2k+12. Когда k даже, квадратное созвездие размера2k2×2k2 используется.

ber = berawgn(EbNo,'psk',M,dataenc) возвращает BER когерентно обнаруженного незакодированного PSK по каналу AWGN. dataenc любой 'diff' для дифференциального кодирования данных или 'nondiff' для недифференциального кодирования данных. Если dataenc 'diff'M должно быть не больше, чем 4.

ber = berawgn(EbNo,'oqpsk',dataenc) возвращает BER когерентно обнаруженного QPSK смещения по незакодированному каналу AWGN.

ber = berawgn(EbNo,'dpsk',M) возвращает BER незакодированной модуляции DPSK по каналу AWGN.

ber = berawgn(EbNo,'fsk',M,coherence) возвращает BER ортогональной незакодированной модуляции FSK по каналу AWGN. coherence любой 'coherent' для когерентной демодуляции или 'noncoherent' для некогерентной демодуляции. M должно быть не больше, чем 64 для 'noncoherent'.

ber = berawgn(EbNo,'fsk',2,coherence,rho) возвращает BER для бинарного неортогонального FSK по незакодированному каналу AWGN, где rho комплексный коэффициент корреляции. Смотрите Неортогональный 2-FSK с Когерентным Обнаружением для определения комплексного коэффициента корреляции и как вычислить его для неортогонального BFSK.

ber = berawgn(EbNo,'msk',precoding) возвращает BER когерентно обнаруженной модуляции MSK по незакодированному каналу AWGN. Установка precoding к 'off' возвращает результаты для обычного MSK в то время как установка precoding к 'on' возвращает результаты для предварительно закодированного MSK.

ber = berawgn(EbNo,'msk',precoding,coherence) задает, является ли обнаружение когерентным или некогерентным.

berlb = berawgn(EbNo,'cpfsk',M,modindex,kmin) возвращает нижнюю границу на BER незакодированной модуляции CPFSK по каналу AWGN. modindex индекс модуляции, положительное вещественное число. kmin количество путей, имеющих минимальное расстояние; если этот номер неизвестен, можно принять значение 1.

[BER,SER] = berawgn(EbNo, ...) возвращает и BER и SER.

Примеры

свернуть все

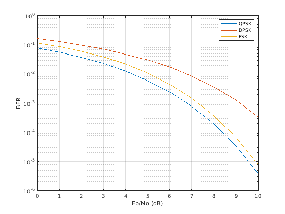
В этом примере показано, как сгенерировать теоретические данные о частоте ошибок по битам для нескольких схем модуляции, принимающих канал AWGN.

Создайте вектор значений Eb/No и установите порядок модуляции, M.

EbNo = (0:10)';
M = 4;

Сгенерируйте теоретические данные о BER для модуляции QPSK при помощи berawgn функция.

berQ = berawgn(EbNo,'psk',M,'nondiff');

Сгенерируйте эквивалентные данные для DPSK и FSK.

berD = berawgn(EbNo,'dpsk',M);
berF = berawgn(EbNo,'fsk',M,'coherent');

Постройте график результатов.

semilogy(EbNo,[berQ berD berF])
xlabel('Eb/No (dB)')
ylabel('BER')
legend('QPSK','DPSK','FSK')
grid

Ограничения

Числовая точность выхода этой функции ограничивается приближениями, связанными с числовой реализацией выражений.

Можно обычно использовать первые две значительных цифры выхода функции.

Альтернативы

Как альтернатива berawgn функционируйте, вызовите BERTool GUI (bertool), и использование вкладка Theoretical.

Ссылки

[1] Андерсон, Джон Б., скалистая вершина Олин, и Карл-Эрик Зундберг, цифровая фазовая модуляция, Нью-Йорк, нажатие пленума, 1986.

[2] Чо, K. и Yoon, D., “По общему выражению BER одного - и двумерные амплитудные модуляции”, Сделка IEEE Commun., Издание 50, Номер 7, стр 1074-1080, 2002.

[3] Ли, P. J. “Расчет частоты ошибок по битам когерентного M-арного PSK с побитовым отображением Кода Грея”, Сделка IEEE Commun., Издание COM-34, Номер 5, стр 488-491, 1986.

[4] Proakis, J. G. Цифровая связь, 4-й редактор, McGraw-Hill, 2001.

[5] Саймон, M. K, Hinedi, S. M. и Линдси, W. C. методы цифровой связи – проект сигнала и обнаружение, Prentice Hall, 1995.

[6] Саймон, M. K, “На вероятности ошибки в двоичном разряде дифференцированно закодированного QPSK и QPSK смещения в присутствии синхронизации поставщика услуг”, Сделка IEEE Commun., Издание 54, стр 806-812, 2006.

[7] Линдси, W. C. и Саймон, M. K, разработка телекоммуникационных систем, Englewood Cliffs, Нью-Джерси, Prentice Hall, 1973.

Представлено до R2006a