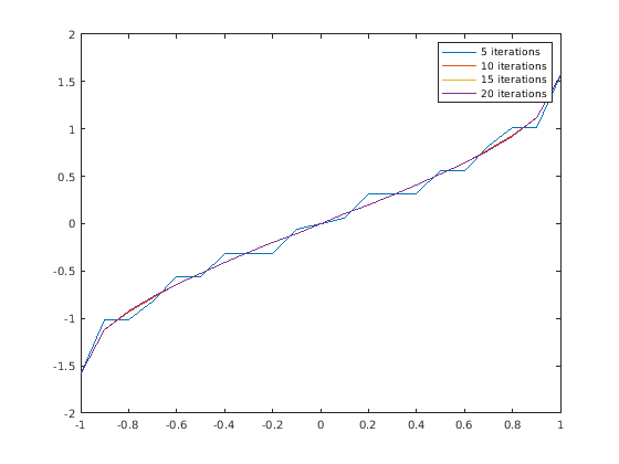
Найдите обратный синус fi объект с помощью реализации CORDIC и задает количество итераций, которые должно выполнить ядро CORDIC. Постройте приближение CORDIC обратного синуса с различными количествами итераций.
a = fi(-1:.1:1, 1, 16);
for i = 5:5:20
b = cordicasin(a,i);
plot(a,b);
hold on;
end
legend('5 iterations', '10 iterations', '15 iterations', '20 iterations')
Числовой вход, заданный как скаляр, вектор, матрица или многомерный массив.
Типы данных: single | double | int8 | int16 | int32 | int64 | uint8 | uint16 | uint32 | uint64 | fi Поддержка комплексного числа: Да
niters — Количество итераций скаляр
Количество итераций, которые алгоритм CORDIC выполняет, заданный как положительный, скаляр с целочисленным знаком. Если вы не задаете niters, алгоритм использует значение по умолчанию. Для входных параметров фиксированной точки, значения по умолчанию niters тот меньше, чем размер слова входного массива, theta. Для входных параметров с двойной точностью, значения по умолчанию niters 52. Для входных параметров с одинарной точностью значение по умолчанию равняется 23.
1. Если смысл перевода понятен, то лучше оставьте как есть и не придирайтесь к словам, синонимам и тому подобному. О вкусах не спорим.
2. Не дополняйте перевод комментариями “от себя”. В исправлении не должно появляться дополнительных смыслов и комментариев, отсутствующих в оригинале. Такие правки не получится интегрировать в алгоритме автоматического перевода.
3. Сохраняйте структуру оригинального текста - например, не разбивайте одно предложение на два.
4. Не имеет смысла однотипное исправление перевода какого-то термина во всех предложениях. Исправляйте только в одном месте. Когда Вашу правку одобрят, это исправление будет алгоритмически распространено и на другие части документации.
5. По иным вопросам, например если надо исправить заблокированное для перевода слово, обратитесь к редакторам через форму технической поддержки.