Оптимизация точек останова изменяет положение табличных нормализаторов так, чтобы общая квадратная ошибка между моделью и таблицей уменьшалась.
Эта стандартная программа улучшает подгонку между вашей стратегией и вашей моделью. Следующий рисунок показывает, как оптимизация положений точки останова может уменьшать различие между моделью и таблицей. Точки останова перемещены, чтобы уменьшать пиковую ошибку между точками останова. В CAGE это происходит в двух измерениях через таблицу.

Методы для разрядки точек останова ваших нормализаторов в CAGE:
Для одномерных таблиц
ReduceError
ShareAveCurv
Для двумерных таблиц
ShareAveCurv
ShareCurvThenAve
Разрядка точек останова с помощью ReduceError использует жадный алгоритм. CAGE:
Блокировки две точки останова в оконечностях области значений значений.
Интерполирует функцию между этими двумя точками останова.
Вычисляет максимальную погрешность между моделью и интерполированной функцией.
Помещает точку останова, где ошибка максимальна.
Шаги 2, 3 повторений, и 4.
Определяет местоположение всех точек останова, заканчивая алгоритм.
Рассмотрите калибровку нормализаторов для скорости, N, и относительного воздушного заряда, L, в предыдущей модели MBT.
В обоих случаях CAGE аппроксимирует MBTAV (N, L) модель, в этом случае, с помощью мелкой сетки.
Точки останова каждого нормализатора калибруются в свою очередь. В этом примере эти стандартные программы калибруют нормализатор в N сначала.
Разрядка точек останова с помощью ShareAveCurv или ShareCurvThenAve вычисляет искривление, K, модели MBTAV (N, L):
![]()
как приближение для
![]()
Обе стандартных программы вычисляют искривление для многих срезов модели в различных значениях L. Например, у показанной фигуры есть много срезов модели в различных значениях L.

ShareAveCurv составляет в среднем искривление в области значений L, затем располагает точки останова с интервалами путем размещения точки останова ith согласно следующему правилу.
ShareCurvThenAve помещает точку останова ith согласно правилу, затем находит среднее положение каждой точки останова.
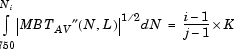
Если точки останова j должны быть помещены, точка останова ith, Ni, помещается, где среднее искривление [1]:
![]()
Это условие растягивает точки останова так, чтобы равная сумма искривления (в соответствующей метрике) произошла в каждом интервале точки останова. Размещение точки останова оптимально в том смысле, что максимальная погрешность между оценкой интерполяционной таблицы и моделью уменьшается с оптимальным уровнем сходимости O (N-2). Для ссылки полагайте, что равномерно распределенные точки останова имеют порядок O (N-1/2).
Мастер Заливки Функции оптимизирует табличные значения, чтобы минимизировать текущую общую квадратную ошибку между значениями функции и моделью.
Эта стандартная программа оптимизирует подгонку между вашей стратегией и вашей моделью. Используя Fill помещает значения в вашу таблицу. Процесс оптимизации переключает значения ячеек вверх и вниз, чтобы минимизировать полную ошибку между интерполяцией между моделью и стратегией.
В этом примере зеленые заштрихованные области показывают ошибку между моделью mesh (оцененный в количестве узлов решетки, которые вы выбираете), и табличные значения.

CAGE оценивает модель по количеству узлов решетки, заданных в Мастере Заливки Функции, затем вычисляет общую квадратную ошибку между этой моделью mesh и значениями функции. CAGE настраивает табличные значения, пока эта ошибка не минимизирована, с помощью lsqnonlin при отсутствии ограничений градиента. В противном случае CAGE использует fmincon с линейными ограничениями, чтобы задать градиент таблицы в каждой ячейке.
[1] Хам, Карл де. Практическое Руководство по Сплайнам. Нью-Йорк: Springer-Verlag, 1978, стр 46.