exponenta event banner

rfplot

Отобразите данные S-параметра на графике

Описание

пример

rfplot(s_obj) строит величину в дБ по сравнению с частотой всех S-параметров (S11, S12... SNN) на текущей оси. s_obj должен быть s-объект-параметра.

rfplot(s_obj,i,j) строит величину Si, j, в децибелах, по сравнению с частотой на текущей оси.

rfplot(___,lineSpec) S-параметры графиков с помощью дополнительных типов линии, символов и цветов заданы linespec.

rfplot(___,plotflag) позволяет задавать тип графика при помощи plotflag.

пример

hline = rfplot(___) строит S-параметры и возвращает вектор-столбец указателей на объекты линии, hline.

Примеры

свернуть все

Используйте sparameters создать набор S-параметры.

hs = sparameters('default.s2p');

Постройте все S-параметры.

rfplot(hs)

Постройте S21.

rfplot(hs,2,1)

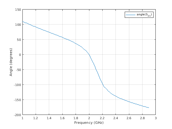
Постройте угол S21 в градусах.

rfplot(hs,2,1,'angle')

Постройте действительную часть S21.

rfplot(hs,2,1,'real')

Входные параметры

свернуть все

S-параметры, заданные как объект параметра сети RF Toolbox™. Чтобы создать этот тип объекта, используйте sparameters функция.

Индекс строки данных, чтобы построить, заданный как положительное целое число.

Индекс столбца данных, чтобы построить, заданный как положительное целое число.

Спецификация линии, заданная как ввод текста, который изменяет типы линии, символы и цвета графика. Функция берет вводы текста в том же формате как plot команда. Для получения дополнительной информации о значениях спецификации линии смотрите linespec.

Пример: '-or'

Постройте типы, заданные как следующие значения: 'db'действительныйimagabs\angle.

Пример: 'angle'

Выходные аргументы

свернуть все

Линия, содержащая график S-параметра, возвращенный как указатель линии.

Смотрите также

| | |

Представлено до R2006a