Симулируйте и оцените подбиравшую модель SimBiology
[ynew,parameterEstimates]=
predict(resultsObj)
[ynew,parameterEstimates]=
predict(resultsObj,data,dosing)
[ возвращает результаты симуляции ynew,parameterEstimates]=
predict(resultsObj)ynew и параметр оценивает parameterEstimates из подбиравшей модели SimBiology®.
[ возвращает результаты симуляции ynew,parameterEstimates]=
predict(resultsObj,data,dosing)ynew и оцененные значения параметров parameterEstimates от оценки подбиравшей модели SimBiology с помощью заданного data и dosing информация.
Во время симуляций, predict использует значения параметров в resultsObj.ParameterEstimates свойство. Используйте этот метод, когда это необходимо, чтобы оценить подобранную модель и предсказать ответы с помощью новых данных и/или дозируя информацию.
resultsObj — Результаты оценкиOptimResults возразите | NLINResults объектРезультаты оценки, заданные как OptimResults object или NLINResults object, который содержит результаты оценки, возвращенные sbiofit. Это должен быть скалярный объект.
data — Выведите времена или сгруппированные данныеgroupedData объектВыведите времена или сгруппированные данные, заданные как вектор, или массив ячеек векторов выходных времен или groupedData object.
Если это - вектор моментов времени, predict симулирует модель с новыми моментами времени с помощью оценок параметра от объекта resultsObj результатов.
Если это - массив ячеек векторов моментов времени, predict симулирует времена модели n с помощью выходных времен от каждого временного вектора, где n является длиной data.
Если это - groupedData объект, это должно иметь независимую переменную, такую как Время. Это должно также иметь переменную группы, если обучающие данные, используемые в подборе кривой, имеют такую переменную. Можно использовать groupedData возразите, чтобы запросить различные комбинации категорий если resultsObj содержит оценки параметра для каждой категории. predict симулирует модель для каждой группы с заданными категориями. Например, предположите, что у вас есть набор оценок параметра для сексуальной категории (штекеры по сравнению с розетками) и категории возраста (молодой по сравнению со старым) в ваших обучающих данных. Можно использовать predict симулировать ответы старого штекера (или любая другая комбинация) несмотря на то, что такой пациент не может существовать в обучающих данных.
Если resultsObj от оценки специфичных для категории параметров, data должен быть groupedData объект.
Если UnitConversion включен для базовой модели SimBiology, которая использовалась в подборе кривой и data groupedData объект, data должен задать модули действительной переменной через data.Properties.VariableUnits свойство. Если это - числовой векторный массив или массив ячеек векторов моментов времени, predict использует TimeUnits модели.
dosing — Дозирование информации[] | 2D матрица объектов дозы SimBiologyДозирование информации, указанной как пустой массив [] или 2D матрица объектов дозы SimBiology (ScheduleDose object или RepeatDose object). Если dosing матрица объектов дозы, матрица должна содержать дозы по умолчанию или быть сопоставима с исходными данными о дозировании, используемыми с sbiofit. Таким образом, доза возражает в dosing должен иметь те же значения для свойств дозы (таких как TargetName) или должен быть параметризован таким же образом как исходные данные о дозировании. Например, предположите, что исходная матрица дозирования имеет два столбца доз, где дозы в первом столбце предназначаются для разновидностей x и тех во вторых целевых разновидностях y столбца. Затем dosing должен иметь дозы в первом столбце, предназначающемся для разновидностей x и тех во втором столбце, предназначающемся для разновидностей y.
Если пустой, никакие дозы не применяются в процессе моделирования, даже если модель имеет активные дозы.
Если не пустой, матрица должна иметь одну строку или одну строку на группу во входных данных. Если это имеет одну строку, те же дозы применяются ко всем группам в процессе моделирования. Если это имеет несколько строк, каждая строка применяется к отдельной группе в том же порядке, как группы появляются во входных данных. Если некоторые группы (или временные векторы) требуют большего количества доз, чем другие, то заполняют матрицу с (фиктивными) дозами по умолчанию.
Несколько столбцов позволены так, чтобы можно было применить несколько объектов дозы к каждой группе или временному вектору. Все дозы в столбце должны быть дозами по умолчанию или должны сослаться на те же компоненты в модели (например, дозы должны иметь ту же цель дозы TargetName) и должен иметь сопоставимые параметризованные свойства как в исходных данных о дозировании, используемых с sbiofit. Например, если Amount свойство дозы используется в исходном sbiofit вызов параметризован к ограниченному по объему моделью параметру 'A', все дозы для соответствующей группы (столбец) в dosing должен иметь Amount свойство параметризовано к 'A'.
Доза по умолчанию имеет значения по умолчанию для всех свойств, за исключением Name свойство. Создайте дозу по умолчанию можно следующим образом.
d1 = sbiodose('d1');В дополнение к ручному построению объектов дозы с помощью sbiodose, если входными данными является groupedData возразите и имеет информацию о дозировании, можно использовать createDoses метод, чтобы создать дозы из него.
Количество строк в dosing матрица и количество групп или выходных временных векторов в data определите общее количество результатов симуляции в выходе ynew. Для получения дополнительной информации см. таблицу в ynew описание аргумента.
Если UnitConversion включен для базовой модели SimBiology, которая использовалась в подборе кривой, dosing должен задать допустимую сумму и единицы измерения времени.
ynew — Результаты симуляцииSimData объектыРезультаты симуляции, возвращенные как вектор SimData объекты. О состояниях сообщают в ynew состояния, которые были включены в responseMap входной параметр sbiofit а также любые другие состояния перечислены в StatesToLog свойство опций во время выполнения (RuntimeOptions) из модели SimBiology.
Общее количество результатов симуляции в ynew зависит от количества групп или выходных временных векторов в data и количество строк в dosing матрица.
Количество групп или выходных временных векторов в data | Количество строк в dosing матрица | Результаты симуляции |
|---|---|---|
1 | 0 | Общее количество Никакие дозы не применяются в процессе моделирования. |
1 | 1 | Общее количество Данная строка доз применяется во время симуляции. |
1 | N | Общее количество Каждая строка |
N | 0 | Общее количество Никакие дозы не применяются в процессе моделирования. |
N | 1 | Общее количество Та же строка доз применяется к каждой симуляции. |
| N | N | Общее количество Каждая строка |
| M | N | Функция выдает ошибку когда M ≠ N. |
parameterEstimates — Предполагаемые значения параметровПредполагаемые значения параметров, возвращенные как таблица. Это идентично resultsObj.ParameterEstimates свойство. predict метод использует эти значения параметров в процессе моделирования.
Этот пример использует дрожжи гетеротримерные данные модели белка G и экспериментальные данные, о которых сообщают [1]. Для получения дополнительной информации о модели, смотрите раздел Background в Сканировании Параметра, Оценке Параметра и Анализе чувствительности в Дрожжах Гетеротримерный Цикл Белка G.
Загрузите модель белка G.
sbioloadproject gproteinВведите экспериментальные данные, содержащие курс времени для части активного белка G, как сообщается в ссылочной газете [1].
time = [0;10;30;60;110;210;300;450;600]; GaFracExpt = [0;0.35;0.4;0.36;0.39;0.33;0.24;0.17;0.2];
Создайте groupedData основанный на объектах на экспериментальных данных.
tbl = table(time,GaFracExpt); grpData = groupedData(tbl);
Сопоставьте соответствующий компонент модели с экспериментальными данными. Другими словами, укажите, которому разновидность в модели соответствует который переменная отклика в данных. В этом примере сопоставьте параметр модели GaFrac к переменной GaFracExpt экспериментальных данных от grpData.
responseMap = 'GaFrac = GaFracExpt'; Используйте estimatedInfo объект задать параметр модели kGd в качестве параметра быть оцененным.
estimatedParam = estimatedInfo('kGd');Выполните оценку параметра.
fitResult = sbiofit(m1,grpData,responseMap,estimatedParam);
Просмотрите предполагаемое значение параметров kGd.
fitResult.ParameterEstimates
ans =
Name Estimate StandardError
_____ ________ _____________
'kGd' 0.11 3.683e-05
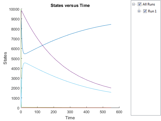
Предположим, что вы хотите симулировать подобранную модель с помощью различных выходных времен, чем те в обучающих данных. Можно использовать predict метод, чтобы сделать так.
Создайте новую переменную T с различными выходными временами.
T = [0;10;50;80;100;150;300;350;400;450;500;550];
Используйте predict метод, чтобы симулировать подобранную модель на новых моментах времени. Никакое дозирование не было задано, когда вы сначала запустили sbiofit. Следовательно, вы не можете использовать информацию о дозировании с predict метод и пустой массив должны быть заданы как третий входной параметр.
ynew = predict(fitResult,T,[]);
Отобразите симулированные данные на графике с новыми выходными временами.
sbioplot(ynew)

Расширьте Run1 и только выберите GaFrac, чтобы отобразить его симулированные данные.

В этом примере показано, как оценить специфичный для категории (такой как молодой по сравнению со старым, штекерным по сравнению с розеткой) параметры PK с помощью данных о профиле от нескольких индивидуумов, использующих модель 2D отсека. Параметры, чтобы оценить являются объемами центрального и периферийного отсека, разрешения и межразделенного на отсеки разрешения.
Синтетические данные, используемые в этом примере, содержат ход времени плазменных концентраций нескольких индивидуумов после дозы шарика (100 мг), измеренных в разное время и для центральных и для периферийных отсеков. Это также содержит категориальные переменные, а именно, Sex и Age.
clear load(fullfile(matlabroot,'examples','simbio','sd5_302RAgeSex.mat'));
Преобразуйте набор данных в groupedData объект, который является необходимым форматом данных для подходящего функционального sbiofit. groupedData объект позволяет вам устанавливать независимую переменную и имена переменных группы (если они существуют). Установите модули IDВремя, CentralConc, PeripheralConc, Age, и Sex переменные. Модули являются дополнительными и только необходимыми для UnitConversion покажите, который автоматически преобразует соответствие с физическими количествами в одну сопоставимую модульную систему.
gData = groupedData(data);
gData.Properties.VariableUnits = {'','hour','milligram/liter','milligram/liter','',''};
IndependentVariableName и GroupVariableName свойства были автоматически установлены в Time и ID переменные данных.
gData.Properties
ans =
Description: ''
VariableDescriptions: {}
VariableUnits: {'' 'hour' 'milligram/liter' 'milligram/liter' '' ''}
DimensionNames: {'Row' 'Variable'}
UserData: []
RowNames: {}
VariableNames: {'ID' 'Time' 'CentralConc' 'PeripheralConc' 'Sex' 'Age'}
GroupVariableName: 'ID'
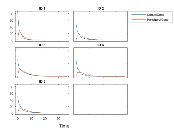
IndependentVariableName: 'Time'В целях рисунка используйте первые пять отдельных данных в обучении и 6-е отдельные данные для тестирования.
trainData = gData([gData.ID < 6],:); testData = gData([gData.ID == 6],:);
Отобразите данные об ответе для каждого индивидуума в наборе обучающих данных.
sbiotrellis(trainData,'ID','Time',{'CentralConc','PeripheralConc'});

Пользуйтесь встроенной библиотекой PK, чтобы создать модель 2D отсека с дозированием вливания и устранением первого порядка, где уровень устранения зависит от разрешения и объема центрального отсека. Используйте configset объект включить модульное преобразование.
pkmd = PKModelDesign; pkc1 = addCompartment(pkmd,'Central'); pkc1.DosingType = 'Bolus'; pkc1.EliminationType = 'linear-clearance'; pkc1.HasResponseVariable = true; pkc2 = addCompartment(pkmd,'Peripheral'); model = construct(pkmd); configset = getconfigset(model); configset.CompileOptions.UnitConversion = true;
Примите, что каждый индивидуум получает дозу шарика 100 мг во время = 0.
dose = sbiodose('dose','TargetName','Drug_Central'); dose.StartTime = 0; dose.Amount = 100; dose.AmountUnits = 'milligram'; dose.TimeUnits = 'hour';
Данные содержат измеренную плазменную концентрацию в центральных и периферийных отсеках. Сопоставьте эти переменные с соответствующими компонентами модели, которые являются Drug_Central и Drug_Peripheral.
responseMap = {'Drug_Central = CentralConc','Drug_Peripheral = PeripheralConc'};Задайте объемы центральных и периферийных отсеков Central и Peripheral, межразделенное на отсеки разрешение Q12, и разрешение Cl_Central как параметры, чтобы оценить. estimatedInfo объект позволяет вам опционально указать, что параметр преобразовывает, начальные значения и границы параметра. С тех пор и Центральный и Периферийный ограничиваются быть положительным, задать логарифмическое преобразование для каждого параметра.
paramsToEstimate = {'log(Central)', 'log(Peripheral)', 'Q12', 'Cl_Central'};
estimatedParam = estimatedInfo(paramsToEstimate,'InitialValue',[1 1 1 1]);Используйте 'CategoryVariableName' свойство estimatedInfo объект задать, который категория использовать во время подбора кривой. Используйте 'Sex' как группа к пригодному для разрешения Cl_Central и Q12 параметры. Используйте 'Age' как группа к пригодному для Central и Peripheral параметры.
estimatedParam(1).CategoryVariableName = 'Age'; estimatedParam(2).CategoryVariableName = 'Age'; estimatedParam(3).CategoryVariableName = 'Sex'; estimatedParam(4).CategoryVariableName = 'Sex'; categoryFit = sbiofit(model,trainData,responseMap,estimatedParam,dose)
При подборе кривой по категориям (или группа), sbiofit всегда возвращается, каждый заканчивается объект, не один для каждого уровня категории. Это вызвано тем, что и штекерные и розеточные индивидуумы считаются частью той же оптимизации с помощью тех же ошибочных параметров модели и параметров ошибок, так же для молодых и старых индивидуумов.
categoryFit =
OptimResults with properties:
ExitFlag: 3
Output: [1x1 struct]
GroupName: []
Beta: [8x5 table]
ParameterEstimates: [20x6 table]
J: [40x8x2 double]
COVB: [8x8 double]
CovarianceMatrix: [8x8 double]
R: [40x2 double]
MSE: 0.1240
SSE: 8.9269
Weights: []
EstimatedParameterNames: {'Central' 'Peripheral' 'Q12' 'Cl_Central'}
ErrorModelInfo: [1x3 table]
EstimationFunction: 'lsqnonlin'
ErrorModel: 'constant'
ErrorParameters: [1x1 table]Постройте специфичные для категории предполагаемые результаты. Для Cl_Central и Q12 параметры, все штекеры имели те же оценки, и так же для розеток. Для Central и Peripheral параметры, у всех молодых индивидуумов были те же оценки, и так же для старых индивидуумов.
plot(categoryFit);

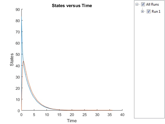
Что касается тестирования целей, симулируйте ответы 6-го индивидуума, который является старым штекером. Поскольку вы оценили один набор параметров для Age категория (молодой по сравнению со старым), и другой набор для Sex категория (штекер по сравнению с розеткой), можно симулировать ответы старого штекера даже при том, что нет такого индивидуума в обучающих данных.
Используйте predict метод, чтобы симулировать ответы. ynew содержит данные моделирования и paramestim содержит оценки параметра, используемые в процессе моделирования.
[ynew,paramestim] = predict(categoryFit,testData,dose);
Постройте симулированные ответы старого штекера.
sbioplot(ynew);

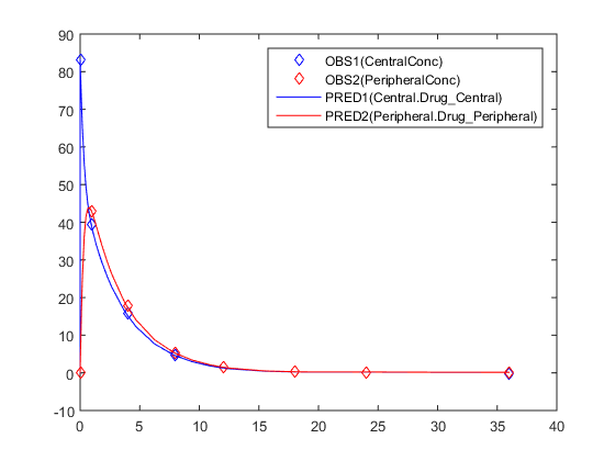
paramestim переменная содержит предполагаемые параметры, используемые predict метод. Оценки параметра для соответствующих категорий были получены из categoryFit.ParameterEstimates свойство. А именно, Central и Peripheral оценки параметра получены из Old группа и Q12 и Cl_Central оценки параметра получены из Male группа.
paramestim
paramestim =
Name Estimate StandardError Group CategoryVariableName CategoryValue
____________ ________ _____________ _____ ____________________ _____________
'Central' 1.1993 0.0050591 6 'Age' Old
'Peripheral' 0.5627 0.02908 6 'Age' Old
'Q12' 1.3119 0.062733 6 'Sex' Male
'Cl_Central' 0.56631 0.0079784 6 'Sex' Male Наложите результаты эксперимента на симулированных данных.
figure; plot(testData.Time,testData.CentralConc,'LineStyle','none','Marker','d','MarkerEdgeColor','b'); hold on plot(testData.Time,testData.PeripheralConc,'LineStyle','none','Marker','d','MarkerEdgeColor','r'); plot(ynew.Time,ynew.Data(:,1),'b'); plot(ynew.Time,ynew.Data(:,2),'r'); hold off legend({'OBS1(CentralConc)','OBS2(PeripheralConc)',... 'PRED1(Central.Drug\_Central)','PRED2(Peripheral.Drug\_Peripheral)'});

[1] И, T-M., Kitano, H. и Саймон, M. (2003). Количественная характеристика дрожжей гетеротримерный цикл белка G. PNAS. 100, 10764–10769.
1. Если смысл перевода понятен, то лучше оставьте как есть и не придирайтесь к словам, синонимам и тому подобному. О вкусах не спорим.
2. Не дополняйте перевод комментариями “от себя”. В исправлении не должно появляться дополнительных смыслов и комментариев, отсутствующих в оригинале. Такие правки не получится интегрировать в алгоритме автоматического перевода.
3. Сохраняйте структуру оригинального текста - например, не разбивайте одно предложение на два.
4. Не имеет смысла однотипное исправление перевода какого-то термина во всех предложениях. Исправляйте только в одном месте. Когда Вашу правку одобрят, это исправление будет алгоритмически распространено и на другие части документации.
5. По иным вопросам, например если надо исправить заблокированное для перевода слово, обратитесь к редакторам через форму технической поддержки.