Распределение t Студента является семейством кривых в зависимости от одного параметра ν (степени свободы).
Распределение t Студента использует следующий параметр.
| Параметр | Описание |
|---|---|
ν = 1, 2, 3,... | Степени свободы |
Функция плотности вероятности (PDF) распределения t Студента
где ν является степенями свободы и Γ (·) Гамма функция. Результатом y является вероятность наблюдения особого значения x от распределения t Студента со степенями свободы ν.
Этот график показывает, как, изменяя значение параметра степеней свободы ν изменяет форму PDF. Используйте tpdf чтобы вычислить PDF для значений, x равняется 0 до 10 для трех различных значений ν. Затем постройте все три pdfs на той же фигуре для визуального сравнения.
x = [0:.1:10]; y1 = tpdf(x,5); % For nu = 5 y2 = tpdf(x,25); % For nu = 25 y3 = tpdf(x,50); % For nu = 50 figure; plot(x,y1,'Color','black','LineStyle','-') hold on plot(x,y2,'Color','red','LineStyle','-.') plot(x,y3,'Color','blue','LineStyle','--') legend({'nu = 5','nu = 25','nu = 50'}) hold off

Используйте trnd сгенерировать случайные числа от распределения t Студента. Например, следующее генерирует случайное число от распределения t Студента со степенями свободы ν, равный 10.
nu = 10; r = trnd(nu)
r = 1.0585
Как степени свободы ν переходит к бесконечности, распределение t приближается к стандартному нормальному распределению.
Если x является случайной выборкой размера n от нормального распределения со средним μ, то статистическая величина
где демонстрационное среднее значение, и s является демонстрационным стандартным отклонением, имеет распределение t Студента с n – 1 степень свободы.
Распределение Коши является распределением t Студента со степенями свободы ν, равный 1. Распределение Коши имеет неопределенное среднее значение и отклонение.
Кумулятивная функция распределения (cdf) распределения t Студента
где ν является степенями свободы и Γ (·) Гамма функция. p результата является вероятностью, что одно наблюдение от распределения t со степенями свободы ν упадет в интервале [– ∞, x].
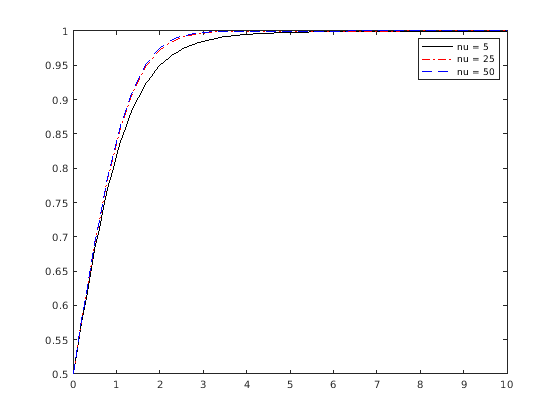
Этот график показывает, как, изменяя значение параметра ν изменяет форму cdf. Используйте tcdf чтобы вычислить cdf для значений, x равняется 0 до 10 для трех различных значений ν. Затем постройте все три cdfs на той же фигуре для визуального сравнения.
x = [0:.1:10]; y1 = tcdf(x,5); % For nu = 5 y2 = tcdf(x,25); % For nu = 25 y3 = tcdf(x,50); % For nu = 50 figure; plot(x,y1,'Color','black','LineStyle','-') hold on plot(x,y2,'Color','red','LineStyle','-.') plot(x,y3,'Color','blue','LineStyle','--') legend({'nu = 5','nu = 25','nu = 50'}) hold off

Используйте tinv вычислить инверсию cdf распределения t Студента.
p = .95; nu = 50; x = tinv(p,nu)
x = 1.6759
Среднее значение распределения t Студента
для степеней свободы ν, больше, чем 1. Если ν равняется 1, то среднее значение не определено.
Отклонение распределения t Студента
для степеней свободы ν, больше, чем 2. Если ν меньше чем или равен 2, то отклонение не определено.
Используйте tstat вычислить среднее значение и отклонение распределения t Студента. Например, следующее вычисляет среднее значение и отклонение распределения t Студента со степенями свободы ν, равный 10.
nu = 10; [m,v] = tstat(nu)
m = 0
v = 1.2500
T распределение Студента является семейством кривых в зависимости от одного параметра ν (степени свободы). Как степени свободы ν переходит к бесконечности, t распределение приближается к стандартному нормальному распределению. Вычислите pdfs для t распределения Студента параметром nu = 5 и t распределение Студента параметром nu = 25. Вычислите PDF для стандартного нормального распределения.
x = -5:0.1:5; y1 = tpdf(x,5); y2 = tpdf(x,15); z = normpdf(x,0,1);
Постройте t Студента pdfs и стандартный нормальный PDF на той же фигуре. Стандартный нормальный PDF имеет более короткие хвосты, чем t Студента pdfs.
plot(x,y1,'-.',x,y2,'--',x,z,'-') legend('Student''s t Distribution with \nu=5', ... 'Student''s t Distribution with \nu=25', ... 'Standard Normal Distribution','Location','best') title('Student''s t and Standard Normal pdfs')

random | tcdf | tinv | tpdf | trnd | tstat